Suppr超能文献

利用内转录间隔区(ITS)区域和叶片形态评估印度尼西亚面包果(波罗蜜属)的多样性和系统发育。

Assessing diversity and phylogeny of Indonesian breadfruit (Artocarpus spp.) using internal transcribed spacer (ITS) region and leaf morphology.

作者信息

Mursyidin Dindin Hidayatul, Setiawan Akbar

机构信息

Laboratory of Genetics and Molecular Biology, Faculty of Mathematics and Natural Sciences, University of Lambung Mangkurat, Jl. A. Yani Km. 36, Banjarbaru, South Kalimantan, 70714, Indonesia.

出版信息

J Genet Eng Biotechnol. 2023 Feb 9;21(1):15. doi: 10.1186/s43141-023-00476-y.

Abstract

BACKGROUND

Breadfruit (Artocarpus spp.) is the main genus of Moraceae with multipurpose benefits, both ecologically and economically important, e.g., food ingredients, building materials, traditional medicine, and natural insecticides. However, most endemic Artocarpus have been threatened due to natural disasters and habitat degradation. The objective of our study was to determine the genetic diversity and relationships of endemic Artocarpus from South Borneo, Indonesia, using an internal transcribed spacer (ITS) region and leaf morphology.

RESULTS

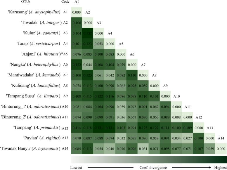
Morphologically, endemic Artocarpus endemic to South Borneo, Indonesia, has a different leaf shape, i.e., narrow-obovate to broad-elliptic, from simple to deeply dissected. Following the ITS region, this germplasm has a moderate level of nucleotide diversity (0.069). The phylogenetic analysis revealed Artocarpus into four (4) main clades, where the nearest is shown by the 'Puyian' (Artocarpus rigidus) and 'Binturung' (Artocarpus odoratissimus) at a coefficient divergence of 0.027, whereas the furthest by 'Kulur' (A. camansi) and 'Tiwadak' (A. integer) at a coefficient of 0.132.

CONCLUSION

In brief, although an endemic Artocarpus of South Borneo, Indonesia, has a moderate level of nucleotide diversity, this germplasm also shows a unique phylogenetic relationship. Thus, this information is urgent in supporting the future Artocarpus breeding and preservation programs, mainly to save this germplasm from being threatened.

摘要

背景

面包果(波罗蜜属)是桑科的主要属,具有多种用途,在生态和经济方面都很重要,例如食品原料、建筑材料、传统药物和天然杀虫剂。然而,由于自然灾害和栖息地退化,大多数地方性波罗蜜属植物受到了威胁。我们研究的目的是利用内部转录间隔区(ITS)区域和叶片形态来确定印度尼西亚南婆罗洲地方性波罗蜜属植物的遗传多样性和亲缘关系。

结果

在形态上,印度尼西亚南婆罗洲特有的波罗蜜属植物具有不同的叶形,即从窄倒卵形到宽椭圆形,从简单到深度分裂。根据ITS区域,这种种质具有中等水平的核苷酸多样性(0.069)。系统发育分析显示波罗蜜属植物分为四个主要分支,其中亲缘关系最近的是“Puyian”(硬叶波罗蜜)和“Binturung”(香波罗蜜),系数差异为0.027,而亲缘关系最远的是“Kulur”(卡曼波罗蜜)和“Tiwadak”(尖叶波罗蜜),系数为0.132。

结论

简而言之,尽管印度尼西亚南婆罗洲特有的波罗蜜属植物具有中等水平的核苷酸多样性,但这种种质也显示出独特的系统发育关系。因此,这些信息对于支持未来的波罗蜜属植物育种和保护计划至关重要,主要是为了保护这种种质不受到威胁。

https://cdn.ncbi.nlm.nih.gov/pmc/blobs/ca22/9911577/29ac66273445/43141_2023_476_Fig1_HTML.jpg

文献AI研究员

20分钟写一篇综述,助力文献阅读效率提升50倍。

立即体验

用中文搜PubMed

大模型驱动的PubMed中文搜索引擎

马上搜索

文档翻译

学术文献翻译模型,支持多种主流文档格式。

立即体验