Suppr超能文献

树皮提取物的植物化学特征及其在RAW 264.7细胞中的体外抗炎评价

Phytochemical Characterization and In Vitro Anti-Inflammatory Evaluation in RAW 264.7 Cells of Bark Extracts.

作者信息

Jiménez-Nevárez Yazmín B, Angulo-Escalante Miguel Angel, Montes-Avila Julio, Guerrero-Alonso Araceli, Christen Judith González, Hurtado-Díaz Israel, Heredia J Basilio, Quintana-Obregón Eber Addí, Alvarez Laura

机构信息

Centro de Investigación en Alimentación y Desarrollo A.C. Carretera Eldorado km 5.5, Campo El Diez, Culiacán 80110, Mexico.

Programa de Posgrado en Ciencias Biomédicas, Facultad de Ciencias Químico-Biológicas, Universidad Autónoma de Sinaloa, Ciudad Universitaria s/n, Culiacán 80010, Mexico.

出版信息

Plants (Basel). 2023 Jan 26;12(3):560. doi: 10.3390/plants12030560.

Abstract

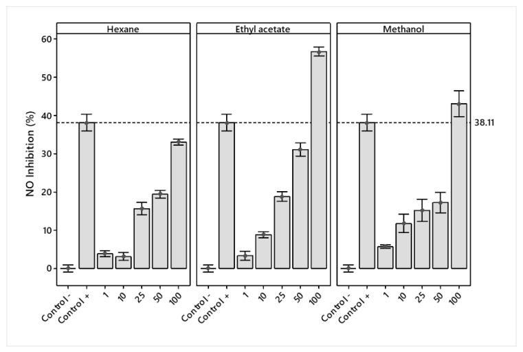
The inflammatory process, although beneficial, can produce tissue damage and systemic damage when uncontrolled. Effective therapeutic alternatives with little or no side effects are of great therapeutic interest. This study aimed to determine the phytochemical composition of bark extracts from , an endemic plant from México, and evaluate their in vitro anti-inflammatory activity. Hexane, ethyl acetate, and methanol extracts were characterized by qualitative phytochemical tests, and their bioactive groups were identified by H NMR and gas chromatography coupled to mass spectrometry (GC-MS). The extract's anti-inflammatory activity was evaluated as nitric oxide (NO) production and their cytotoxicity by an MTS cell proliferation assay in lipopolysaccharide (LPS)-activated RAW 264.7 cells at concentrations of 1-100 μg/mL. The hexane extract contained fatty acids, fatty esters, phytosterols, alkanes, vitamin E, and terpenoids; the ethyl acetate extract showed fatty acids, fatty esters, aromatic aldehyde, phytosterols, vitamin E, and terpenoids, while the methanolic extract showed fatty esters, fatty acid, aromatics aldehydes, and alcohol. The ethyl acetate extract showed the highest inhibition of NO production, followed by the methanolic extract and the hexane extract, without affecting the viability of RAW 264.7 macrophage cells. The results suggest that extracts are a potential source of bioactive compounds with anti-inflammatory potential.

摘要

炎症过程虽然有益,但如果不受控制,会导致组织损伤和全身损害。具有很少或没有副作用的有效治疗方法具有极大的治疗意义。本研究旨在确定墨西哥本土植物 的树皮提取物的植物化学成分,并评估其体外抗炎活性。通过定性植物化学测试对己烷、乙酸乙酯和甲醇提取物进行表征,并通过核磁共振氢谱(H NMR)和气相色谱-质谱联用(GC-MS)鉴定其生物活性基团。在浓度为1-100μg/mL的脂多糖(LPS)激活的RAW 264.7细胞中,通过MTS细胞增殖试验评估提取物的抗炎活性为一氧化氮(NO)生成及其细胞毒性。己烷提取物含有脂肪酸、脂肪酸酯、植物甾醇、烷烃、维生素E和萜类化合物;乙酸乙酯提取物含有脂肪酸、脂肪酸酯、芳香醛、植物甾醇、维生素E和萜类化合物,而甲醇提取物含有脂肪酸酯、脂肪酸、芳香醛和醇类。乙酸乙酯提取物对NO生成的抑制作用最强,其次是甲醇提取物和己烷提取物,且不影响RAW 264.7巨噬细胞的活力。结果表明, 提取物是具有抗炎潜力的生物活性化合物的潜在来源。

https://cdn.ncbi.nlm.nih.gov/pmc/blobs/89d9/9921666/bd03c0028d44/plants-12-00560-g001.jpg

文献AI研究员

20分钟写一篇综述,助力文献阅读效率提升50倍。

立即体验

用中文搜PubMed

大模型驱动的PubMed中文搜索引擎

马上搜索

文档翻译

学术文献翻译模型,支持多种主流文档格式。

立即体验