• 文献检索
  • 文档翻译
  • 深度研究
  • 学术资讯
  • Suppr Zotero 插件Zotero 插件
  • 邀请有礼
  • 套餐&价格
  • 历史记录
应用&插件
Suppr Zotero 插件Zotero 插件浏览器插件Mac 客户端Windows 客户端微信小程序
定价
高级版会员购买积分包购买API积分包
服务
文献检索文档翻译深度研究API 文档MCP 服务
关于我们
关于 Suppr公司介绍联系我们用户协议隐私条款
关注我们

Suppr 超能文献

核心技术专利:CN118964589B侵权必究
粤ICP备2023148730 号-1Suppr @ 2026

文献检索

告别复杂PubMed语法,用中文像聊天一样搜索,搜遍4000万医学文献。AI智能推荐,让科研检索更轻松。

立即免费搜索

文件翻译

保留排版,准确专业,支持PDF/Word/PPT等文件格式,支持 12+语言互译。

免费翻译文档

深度研究

AI帮你快速写综述,25分钟生成高质量综述,智能提取关键信息,辅助科研写作。

立即免费体验

炎症与认知的关系:基于人群队列的证据三角分析和孟德尔随机化分析。

Association between inflammation and cognition: Triangulation of evidence using a population-based cohort and Mendelian randomization analyses.

机构信息

MRC Integrative Epidemiology Unit at the University of Bristol, UK; School of Psychological Science, University of Bristol, 12a Priory Road, Bristol, UK; Centre for Academic Mental Health, Population Health Sciences, Bristol Medical School, University of Bristol, UK.

MRC Integrative Epidemiology Unit at the University of Bristol, UK; School of Psychological Science, University of Bristol, 12a Priory Road, Bristol, UK; Centre for Academic Mental Health, Population Health Sciences, Bristol Medical School, University of Bristol, UK; Population Health Sciences, Bristol Medical School, University of Bristol, Bristol, UK.

出版信息

Brain Behav Immun. 2023 May;110:30-42. doi: 10.1016/j.bbi.2023.02.010. Epub 2023 Feb 13.

DOI:10.1016/j.bbi.2023.02.010
PMID:36791891
原文链接:https://pmc.ncbi.nlm.nih.gov/articles/PMC10728829/
Abstract

BACKGROUND

Inflammation is associated with cognitive functioning and dementia in older adults, but whether inflammation is related to cognitive functioning in youth and whether these associations are causal remains unclear.

METHODS

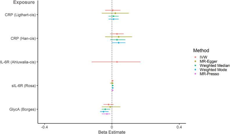
In a population-based cohort (Avon Longitudinal Study of Parents and Children; ALSPAC), we investigated cross-sectional associations of inflammatory markers (C-reactive protein [CRP], Interleukin-6 [IL-6] and Glycoprotein acetyls [GlycA]) with measures of cold (working memory, response inhibition) and hot (emotion recognition) cognition at age 24 (N = 3,305 in multiple imputation models). Furthermore, we conducted one-sample and two-sample bidirectional Mendelian randomization (MR) analyses to examine potential causal effects of genetically-proxied inflammatory markers (CRP, GlycA, IL-6, IL-6 receptor, soluble IL-6 receptor) on cognitive measures (above) and on general cognitive ability.

RESULTS

In the ALSPAC cohort, there was limited evidence of an association between standardised inflammatory markers and standardised cognitive measures at age 24 after adjusting for potential confounders (N = 3,305; beta range, -0.02 [95 % confidence interval (CI) -0.06 to 0.02, p = 0.27] to 0.02 [95 % CI -0.02 to 0.05, p = 0.33]). Similarly, we found limited evidence of potential effects of 1-unit increase in genetically-proxied inflammatory markers on standardised working memory, emotion recognition or response inhibition in one-sample MR using ALSPAC data (beta range, -0.73 [95 % CI -2.47 to 1.01, p = 0.41] to 0.21 [95 % CI -1.42 to 1.84, p = 0.80]; or on standardised general cognitive ability in two-sample MR using the latest Genome-Wide Association Study (GWAS) datasets (inverse-variance weighted beta range, -0.02 [95 % CI -0.05 to 0.01, p = 0.12] to 0.03 [95 % CI -0.01 to 0.07, p = 0.19]).

CONCLUSIONS

Our MR findings do not provide strong evidence of a potential causal effect of inflammatory markers (CRP, IL-6, IL-6 receptor, GlycA) on the cognitive functions examined here. Given the large confidence intervals in the one-sample MR, larger GWAS of specific cognitive measures are needed to enable well-powered MR analyses to investigate whether inflammation causally influences specific cognitive domains.

摘要

背景

炎症与老年人的认知功能和痴呆有关,但炎症是否与年轻人的认知功能有关,以及这些关联是否具有因果关系尚不清楚。

方法

在一项基于人群的队列研究(阿冯纵向研究父母和孩子;ALSPAC)中,我们调查了炎症标志物(C 反应蛋白[CRP]、白细胞介素 6[IL-6]和糖蛋白乙酰基[GlycA])与 24 岁时冷(工作记忆、反应抑制)和热(情绪识别)认知的横断面关联(在多个插补模型中,N=3305)。此外,我们进行了单样本和双样本双向 Mendelian 随机化(MR)分析,以检查遗传上接近的炎症标志物(CRP、GlycA、IL-6、IL-6 受体、可溶性 IL-6 受体)对认知测量(上述)和一般认知能力的潜在因果影响。

结果

在 ALSPAC 队列中,在校正潜在混杂因素后,标准化炎症标志物与 24 岁时的标准化认知测量之间的关联证据有限(N=3305;β范围,-0.02[95%置信区间(CI)-0.06 至 0.02,p=0.27]至 0.02[95%CI-0.02 至 0.05,p=0.33])。同样,我们发现使用 ALSPAC 数据进行单样本 MR 时,遗传上接近的炎症标志物增加 1 个单位对标准化工作记忆、情绪识别或反应抑制的潜在影响证据有限(β范围,-0.73[95%CI-2.47 至 1.01,p=0.41]至 0.21[95%CI-1.42 至 1.84,p=0.80]);或在使用最新全基因组关联研究(GWAS)数据集进行双样本 MR 时,对标准化一般认知能力的潜在影响(逆方差加权β范围,-0.02[95%CI-0.05 至 0.01,p=0.12]至 0.03[95%CI-0.01 至 0.07,p=0.19])。

结论

我们的 MR 研究结果并未提供炎症标志物(CRP、IL-6、IL-6 受体、GlycA)对我们在此处检查的认知功能具有潜在因果影响的有力证据。鉴于单样本 MR 的置信区间较大,需要进行更大规模的特定认知措施的 GWAS,以便能够进行具有足够效力的 MR 分析,以调查炎症是否会因果影响特定的认知领域。

https://cdn.ncbi.nlm.nih.gov/pmc/blobs/4b8c/10728829/f545b32e8bb2/gr5.jpg
https://cdn.ncbi.nlm.nih.gov/pmc/blobs/4b8c/10728829/3695b9189144/gr1.jpg
https://cdn.ncbi.nlm.nih.gov/pmc/blobs/4b8c/10728829/2ff654130bbe/gr2.jpg
https://cdn.ncbi.nlm.nih.gov/pmc/blobs/4b8c/10728829/00b4ce1251ef/gr3.jpg
https://cdn.ncbi.nlm.nih.gov/pmc/blobs/4b8c/10728829/202bceea2d15/gr4.jpg
https://cdn.ncbi.nlm.nih.gov/pmc/blobs/4b8c/10728829/f545b32e8bb2/gr5.jpg
https://cdn.ncbi.nlm.nih.gov/pmc/blobs/4b8c/10728829/3695b9189144/gr1.jpg
https://cdn.ncbi.nlm.nih.gov/pmc/blobs/4b8c/10728829/2ff654130bbe/gr2.jpg
https://cdn.ncbi.nlm.nih.gov/pmc/blobs/4b8c/10728829/00b4ce1251ef/gr3.jpg
https://cdn.ncbi.nlm.nih.gov/pmc/blobs/4b8c/10728829/202bceea2d15/gr4.jpg
https://cdn.ncbi.nlm.nih.gov/pmc/blobs/4b8c/10728829/f545b32e8bb2/gr5.jpg

相似文献

1
Association between inflammation and cognition: Triangulation of evidence using a population-based cohort and Mendelian randomization analyses.炎症与认知的关系:基于人群队列的证据三角分析和孟德尔随机化分析。
Brain Behav Immun. 2023 May;110:30-42. doi: 10.1016/j.bbi.2023.02.010. Epub 2023 Feb 13.
2
Alcohol use and cognitive functioning in young adults: improving causal inference.年轻人的饮酒与认知功能:改善因果推断
Addiction. 2021 Feb;116(2):292-302. doi: 10.1111/add.15100. Epub 2020 Jun 10.
3
Glycoprotein acetyls and depression: Testing for directionality and potential causality using longitudinal data and Mendelian randomization analyses.糖蛋白乙酰化与抑郁:使用纵向数据和孟德尔随机化分析检验方向和潜在因果关系。
J Affect Disord. 2023 Aug 15;335:431-439. doi: 10.1016/j.jad.2023.05.033. Epub 2023 May 15.
4
Sedentary behavior from television watching elevates GlycA levels: A bidirectional Mendelian randomization study.看电视导致的久坐行为会升高糖基化终末产物前体(GlycA)水平:一项双向孟德尔随机化研究。
PLoS One. 2024 Aug 1;19(8):e0308301. doi: 10.1371/journal.pone.0308301. eCollection 2024.
5
Role of Inflammation in Depressive and Anxiety Disorders, Affect, and Cognition: Genetic and Non-Genetic Findings in the Lifelines Cohort Study.炎症在抑郁和焦虑症、情感及认知中的作用:生命线队列研究中的遗传和非遗传研究结果
medRxiv. 2024 Apr 19:2024.04.17.24305950. doi: 10.1101/2024.04.17.24305950.
6
Role of inflammation in depressive and anxiety disorders, affect, and cognition: genetic and non-genetic findings in the lifelines cohort study.炎症在抑郁和焦虑障碍、情感及认知中的作用:生命线队列研究中的遗传与非遗传发现
Transl Psychiatry. 2025 May 10;15(1):164. doi: 10.1038/s41398-025-03372-w.
7
C-reactive protein and cognitive impairment: A bidirectional Mendelian randomization study.C-反应蛋白与认知障碍:一项双向孟德尔随机化研究。
Arch Gerontol Geriatr. 2024 Jun;121:105359. doi: 10.1016/j.archger.2024.105359. Epub 2024 Feb 1.
8
Assessing the causal relationship between CRP, IL-1α, IL-1β, and IL-6 levels and intervertebral disc degeneration: a two-sample Mendelian randomization study.评估 CRP、IL-1α、IL-1β 和 IL-6 水平与椎间盘退变之间的因果关系:一项两样本 Mendelian 随机研究。
Sci Rep. 2024 Oct 10;14(1):23716. doi: 10.1038/s41598-024-73205-1.
9
Applying Mendelian randomization to appraise causality in relationships between smoking, depression and inflammation.应用孟德尔随机化评估吸烟、抑郁和炎症之间关系中的因果关系。
Sci Rep. 2022 Sep 3;12(1):15041. doi: 10.1038/s41598-022-19214-4.
10
Testing the association between tobacco and cannabis use and cognitive functioning: Findings from an observational and Mendelian randomization study.测试烟草和大麻使用与认知功能之间的关联:来自观察性和孟德尔随机化研究的发现。
Drug Alcohol Depend. 2021 Apr 1;221:108591. doi: 10.1016/j.drugalcdep.2021.108591. Epub 2021 Feb 12.

引用本文的文献

1
A Review of Chronic Wounds and Their Impact on Negative Affect, Cognition, and Quality of Life.慢性伤口及其对负面影响、认知和生活质量的影响综述
Int Wound J. 2025 Aug;22(8):e70748. doi: 10.1111/iwj.70748.
2
Lead-induced hypertension and cognitive dysfunction: brain amyloid pathology.铅诱导的高血压与认知功能障碍:脑淀粉样病变
Eur J Med Res. 2025 Aug 6;30(1):720. doi: 10.1186/s40001-025-02965-x.
3
Associations between vitamin K and systemic immune and inflammation biomarkers: a population-based study from the NHANES (2007-2020).

本文引用的文献

1
Mendelian randomization.孟德尔随机化
Nat Rev Methods Primers. 2022 Feb 10;2. doi: 10.1038/s43586-021-00092-5.
2
Peripheral inflammation marker relationships to cognition in healthy older adults - A systematic review.健康老年人外周炎症标志物与认知的关系——一项系统综述
Psychoneuroendocrinology. 2022 Oct;144:105870. doi: 10.1016/j.psyneuen.2022.105870. Epub 2022 Jul 13.
3
Exploring and mitigating potential bias when genetic instrumental variables are associated with multiple non-exposure traits in Mendelian randomization.
维生素K与全身免疫及炎症生物标志物之间的关联:一项基于美国国家健康与营养检查调查(2007 - 2020年)的人群研究。
Front Nutr. 2025 Jul 11;12:1625209. doi: 10.3389/fnut.2025.1625209. eCollection 2025.
4
Role of inflammation in depressive and anxiety disorders, affect, and cognition: genetic and non-genetic findings in the lifelines cohort study.炎症在抑郁和焦虑障碍、情感及认知中的作用:生命线队列研究中的遗传与非遗传发现
Transl Psychiatry. 2025 May 10;15(1):164. doi: 10.1038/s41398-025-03372-w.
5
Low-dose proton induced genetic alteration in cingulate cortex and declined its relevant cognitive function in behaviors.低剂量质子诱导扣带回皮质的基因改变,并使其相关的行为认知功能下降。
Front Behav Neurosci. 2025 Mar 10;19:1514579. doi: 10.3389/fnbeh.2025.1514579. eCollection 2025.
6
Decoding Alzheimer's Disease With Depression: Molecular Insights and Therapeutic Target.解读伴有抑郁症的阿尔茨海默病:分子见解与治疗靶点
J Cell Mol Med. 2025 Mar;29(5):e70454. doi: 10.1111/jcmm.70454.
7
Inflammation and cognitive performance in elite athletes: A cross-sectional study.精英运动员的炎症与认知表现:一项横断面研究。
Brain Behav Immun Health. 2024 Oct 5;42:100872. doi: 10.1016/j.bbih.2024.100872. eCollection 2024 Dec.
8
Research hotspots and trends on NF-κB in cognitive impairment: a bibliometric analysis.认知障碍中NF-κB的研究热点与趋势:一项文献计量学分析
Front Med (Lausanne). 2024 Dec 12;11:1432455. doi: 10.3389/fmed.2024.1432455. eCollection 2024.
9
Inflammatory Cytokines and Cognition in Alzheimer's Disease and Its Prodrome.炎症细胞因子与阿尔茨海默病及其前驱期的认知
Psychiatry Investig. 2024 Oct;21(10):1054-1064. doi: 10.30773/pi.2024.0071. Epub 2024 Oct 17.
10
Associations of metabolic heterogeneity of obesity with the risk of dementia in middle-aged adults: three prospective studies.肥胖代谢异质性与中年人痴呆风险的关联:三项前瞻性研究。
Alzheimers Res Ther. 2024 Oct 11;16(1):220. doi: 10.1186/s13195-024-01581-x.
探讨并减轻孟德尔随机化中与多个非暴露特征相关的遗传工具变量存在潜在偏倚的方法。
Eur J Epidemiol. 2022 Jul;37(7):683-700. doi: 10.1007/s10654-022-00874-5. Epub 2022 May 27.
4
Causal effects of circulating cytokine concentrations on risk of Alzheimer's disease and cognitive function.循环细胞因子浓度对阿尔茨海默病风险和认知功能的因果效应。
Brain Behav Immun. 2022 Aug;104:54-64. doi: 10.1016/j.bbi.2022.05.006. Epub 2022 May 14.
5
The relationship between immune and cognitive dysfunction in mood and psychotic disorder: a systematic review and a meta-analysis.心境障碍和精神病性障碍中免疫与认知功能障碍的关系:系统评价和荟萃分析。
Mol Psychiatry. 2022 Aug;27(8):3237-3246. doi: 10.1038/s41380-022-01582-y. Epub 2022 Apr 28.
6
Combining evidence from Mendelian randomization and colocalization: Review and comparison of approaches.结合孟德尔随机化和共定位证据:方法的回顾与比较。
Am J Hum Genet. 2022 May 5;109(5):767-782. doi: 10.1016/j.ajhg.2022.04.001. Epub 2022 Apr 21.
7
DNA Methylation and Protein Markers of Chronic Inflammation and Their Associations With Brain and Cognitive Aging.DNA 甲基化和慢性炎症的蛋白质标志物及其与大脑和认知衰老的关联。
Neurology. 2021 Dec 7;97(23):e2340-e2352. doi: 10.1212/WNL.0000000000012997. Epub 2021 Nov 17.
8
Cancer-Related Cognitive Impairment in Patients With a History of Breast Cancer.有乳腺癌病史患者的癌症相关认知障碍
JAMA. 2021 Nov 2;326(17):1736-1737. doi: 10.1001/jama.2021.13309.
9
Acute inflammation and psychomotor slowing: Experimental assessment using lipopolysaccharide administration in healthy humans.急性炎症与精神运动迟缓:在健康人体中使用脂多糖给药的实验评估
Brain Behav Immun Health. 2020 Aug 20;8:100130. doi: 10.1016/j.bbih.2020.100130. eCollection 2020 Oct.
10
Investigating whether a combination of higher CRP and depression is differentially associated with worse executive functioning in a cohort of 43,896 adults.调查在一个包含 43896 名成年人的队列中,较高的 C 反应蛋白(CRP)和抑郁是否与更差的执行功能有不同的关联。
Brain Behav Immun. 2021 Aug;96:127-134. doi: 10.1016/j.bbi.2021.05.022. Epub 2021 May 27.