Suppr超能文献

基于微高光谱和微流控技术的水稻真菌孢子检测。

Detection of Rice Fungal Spores Based on Micro- Hyperspectral and Microfluidic Techniques.

机构信息

School of Agricultural Engineering, Jiangsu University, Zhenjiang 212013, China.

Key Laboratory of Modern Agricultural Equipment and Technology, Ministry of Education, Jiangsu University, Zhenjiang 212013, China.

出版信息

Biosensors (Basel). 2023 Feb 15;13(2):278. doi: 10.3390/bios13020278.

Abstract

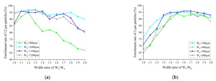
As rice is one of the world's most important food crops, protecting it from fungal diseases is very important for agricultural production. At present, it is difficult to diagnose rice fungal diseases at an early stage using relevant technologies, and there are a lack of rapid detection methods. This study proposes a microfluidic chip-based method combined with microscopic hyperspectral detection of rice fungal disease spores. First, a microfluidic chip with a dual inlet and three-stage structure was designed to separate and enrich spores and spores in air. Then, the microscopic hyperspectral instrument was used to collect the hyperspectral data of the fungal disease spores in the enrichment area, and the competitive adaptive reweighting algorithm (CARS) was used to screen the characteristic bands of the spectral data collected from the spores of the two fungal diseases. Finally, the support vector machine (SVM) and convolutional neural network (CNN) were used to build the full-band classification model and the CARS filtered characteristic wavelength classification model, respectively. The results showed that the actual enrichment efficiency of the microfluidic chip designed in this study on spores and spores was 82.67% and 80.70%, respectively. In the established model, the CARS-CNN classification model is the best for the classification of spores and spores, and its F1-core index can reach 0.960 and 0.949, respectively. This study can effectively isolate and enrich spores and spores, providing new methods and ideas for early detection of rice fungal disease spores.

摘要

由于水稻是世界上最重要的粮食作物之一,因此保护其免受真菌病害非常重要。目前,相关技术难以在早期诊断水稻真菌病,并且缺乏快速检测方法。本研究提出了一种基于微流控芯片的方法,结合水稻真菌病孢子的微观高光谱检测。首先,设计了一种具有双入口和三级结构的微流控芯片,用于分离和富集空气中的 和 孢子。然后,使用微观高光谱仪收集富集区中真菌病孢子的高光谱数据,并使用竞争自适应重加权算法(CARS)筛选从两种真菌病孢子中采集的光谱数据的特征波段。最后,使用支持向量机(SVM)和卷积神经网络(CNN)分别建立全波段分类模型和 CARS 滤波特征波长分类模型。结果表明,本研究设计的微流控芯片对 和 孢子的实际富集效率分别为 82.67%和 80.70%。在所建立的模型中,CARS-CNN 分类模型对 和 孢子的分类效果最好,其 F1-core 指标分别可达 0.960 和 0.949。本研究可以有效分离和富集 和 孢子,为水稻真菌病孢子的早期检测提供了新的方法和思路。

https://cdn.ncbi.nlm.nih.gov/pmc/blobs/984c/9954447/ceb8a8feae67/biosensors-13-00278-g001.jpg

文献AI研究员

20分钟写一篇综述,助力文献阅读效率提升50倍。

立即体验

用中文搜PubMed

大模型驱动的PubMed中文搜索引擎

马上搜索

文档翻译

学术文献翻译模型,支持多种主流文档格式。

立即体验