Suppr超能文献

植物提取物改善HepG2细胞能量代谢与增强其对多柔比星敏感性之间的潜在关联。

A Proposed Association between Improving Energy Metabolism of HepG2 Cells by Plant Extracts and Increasing Their Sensitivity to Doxorubicin.

作者信息

Al-Shafie Tamer A, Mahrous Engy A, Shukry Mustafa, Alshahrani Mohammad Y, Ibrahim Samah F, Fericean Liana, Abdelkader Afaf, Ali Mennatallah A

机构信息

Faculty of Dentistry, Biochemistry Department, Pharos University in Alexandria, Alexandria 21532, Egypt.

Faculty of Pharmacy, Pharmacognosy Department, Cairo University, Cairo 11435, Egypt.

出版信息

Toxics. 2023 Feb 16;11(2):182. doi: 10.3390/toxics11020182.

Abstract

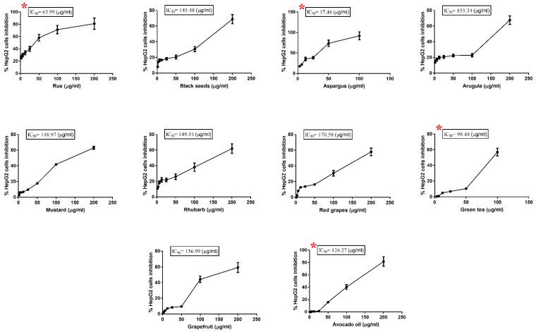
Increasing cancer cell sensitivity to chemotherapy by amending aberrant metabolism using plant extracts represents a promising strategy to lower chemotherapy doses while retaining the same therapeutic outcome. Here, we incubated HepG2 cells with four plant extracts that were selected based on an earlier assessment of their cytotoxicity, viz asparagus, green tea, rue, and avocado, separately, before treatment with doxorubicin. MTT assays elucidated a significant decrease in doxorubicin-IC following HepG2 incubation with each extract, albeit to a variable extent. The investigated extract's ultra-performance liquid chromatography and gas chromatography coupled with mass spectrometry (UPLC/MS and GC/MS) revealed several constituents with anticancer activity. Biochemical investigation displayed several favorable effects, including the inhibition of hypoxia-inducible factor1α (HIF1α), c-Myc, pyruvate kinase-M2 (PKM2), lactate dehydrogenase-A (LDH-A), glucose-6-phosphate dehydrogenase (G6PD), and glutaminase by asparagus and rue extracts. To less extent, HIF1α, c-Myc, PKM2, and LDH-A were partially inhibited by green tea extract, and HIF1α and glutaminase activity was inhibited by avocado oil. Undesirably, green tea extract increased glutaminase; avocado oil rose c-Myc, and both increased G6PD. In conclusion, our study confirms the potential cytotoxic effects of these plant extracts. It highlights a strong association between the ability of asparagus, green tea, rue, and avocado to sensitize HepG2 cells to doxorubicin and their power to amend cell metabolism, suggesting their use as add-on agents that might aid in clinically lowering the doxorubicin dose.

摘要

通过使用植物提取物修正异常代谢来提高癌细胞对化疗的敏感性,是一种有前景的策略,可在保持相同治疗效果的同时降低化疗剂量。在此,我们在用阿霉素治疗之前,分别用四种基于早期细胞毒性评估选择的植物提取物(即芦笋、绿茶、芸香和鳄梨)孵育HepG2细胞。MTT分析表明,在用每种提取物孵育HepG2细胞后,阿霉素-IC有显著降低,尽管程度不同。所研究提取物的超高效液相色谱和气相色谱与质谱联用(UPLC/MS和GC/MS)显示了几种具有抗癌活性的成分。生化研究显示了几种有利作用,包括芦笋和芸香提取物对缺氧诱导因子1α(HIF1α)、c-Myc、丙酮酸激酶-M2(PKM2)、乳酸脱氢酶-A(LDH-A)、葡萄糖-6-磷酸脱氢酶(G6PD)和谷氨酰胺酶的抑制作用。绿茶提取物对HIF1α、c-Myc、PKM2和LDH-A有部分抑制作用,鳄梨油对HIF1α和谷氨酰胺酶活性有抑制作用。不理想的是,绿茶提取物增加了谷氨酰胺酶;鳄梨油升高了c-Myc,两者都增加了G6PD。总之,我们的研究证实了这些植物提取物的潜在细胞毒性作用。它突出了芦笋、绿茶、芸香和鳄梨使HepG2细胞对阿霉素敏感的能力与其修正细胞代谢的能力之间的紧密关联,表明它们可作为辅助剂用于临床降低阿霉素剂量。

https://cdn.ncbi.nlm.nih.gov/pmc/blobs/7158/9967676/59855a59bdd1/toxics-11-00182-g001.jpg

文献AI研究员

20分钟写一篇综述,助力文献阅读效率提升50倍。

立即体验

用中文搜PubMed

大模型驱动的PubMed中文搜索引擎

马上搜索

文档翻译

学术文献翻译模型,支持多种主流文档格式。

立即体验