Suppr超能文献

韩国医护人员接种第三剂 BNT162b2 mRNA COVID-19 疫苗的不良事件。

Adverse events of a third dose of BNT162b2 mRNA COVID-19 vaccine among Korean healthcare workers.

机构信息

Department of Preventive Medicine, Ulsan University Hospital, Ulsan, Republic of Korea.

Infection Control Unit, Inha University Hospital, Incheon, Korea.

出版信息

Medicine (Baltimore). 2023 Mar 17;102(11):e33236. doi: 10.1097/MD.0000000000033236.

Abstract

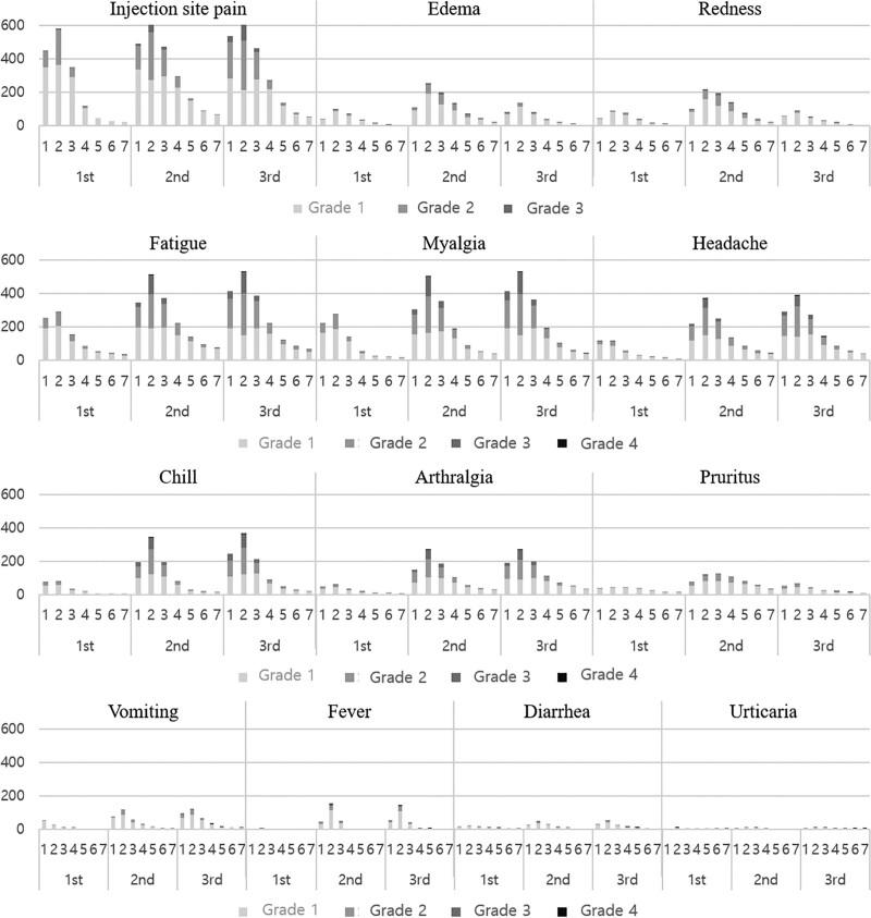
Due to the urgency of controlling the coronavirus disease 2019 pandemic, coronavirus disease 2019 messenger ribonucleic acid (mRNA) vaccines have been expeditiously approved and introduced in several countries without sufficient evaluation for adverse events. We analyzed adverse events among Korean healthcare workers who received all 3 doses of the BNT162b2 mRNA vaccine. This survey was conducted among hospital workers of Inha University Hospital who had received the BNT162b2 mRNA vaccine for their first, second, third rounds, and using a diary card. The surveyed adverse events included local (redness, edema, and injection site pain) and systemic (fever, fatigue, headache, chill, myalgia, arthralgia, vomiting, diarrhea, pruritis, and urticaria) side effects and were divided into 5 grades (Grade 0 = none - Grade 4 = critical). Based on adverse events reported at least once after any of the 3 doses, the most common systemic adverse reactions were chills and headache (respectively, 62.6%, 62.4%), followed by myalgia (55.3%), arthralgia (53.4%), fatigue (51.6%), pruritus (38.1%), and fever (36.5%). The frequency and duration of adverse events were significantly greater in women (P < .05) than men. Except for redness, pruritus, urticaria, and most adverse reactions had a higher rate of occurrence after the third dose in subjects who also had reactions with the second dose. However, grade 4 adverse events did occur with the third dose in some patients, even if there were no side effects with the first and second doses. Adverse events experienced with the first and second doses of the BNT162b2 mRNA vaccine in Korean healthcare workers increased the incidence of adverse events at the time of the third dose. On the other hand, grade 4 adverse events could still occur with the third dose even though there were no side effects with the first and second doses.

摘要

由于控制 2019 年冠状病毒病(COVID-19)大流行的紧迫性,几种国家已在对不良事件进行充分评估之前迅速批准并推出了 2019 年冠状病毒病信使核糖核酸(mRNA)疫苗。我们分析了接受全部 3 剂 BNT162b2 mRNA 疫苗的韩国医护人员的不良事件。这项调查是在接受 BNT162b2 mRNA 疫苗进行第一、二、三轮接种的仁荷大学医院的医院工作人员中进行的,使用了日记卡。调查的不良事件包括局部(发红、肿胀和注射部位疼痛)和全身(发热、疲劳、头痛、寒战、肌痛、关节痛、呕吐、腹泻、瘙痒和荨麻疹)副作用,并分为 5 个等级(Grade 0 = 无 - Grade 4 = 危急)。根据任何 3 剂疫苗接种后至少报告过一次的不良事件,最常见的全身不良反应是寒战和头痛(分别为 62.6%、62.4%),其次是肌痛(55.3%)、关节痛(53.4%)、疲劳(51.6%)、瘙痒(38.1%)和发热(36.5%)。女性(P<0.05)比男性的不良事件发生率和持续时间更高。除了发红、瘙痒、荨麻疹和大多数不良反应在第二次接种时有反应的受试者中,第三次接种后的发生率更高。然而,在某些患者中,即使第一次和第二次接种没有副作用,仍会出现第 4 级不良事件。韩国医护人员接受 BNT162b2 mRNA 疫苗的第一和第二剂后,不良事件发生率增加了第三剂时的不良事件发生率。另一方面,即使第一次和第二次接种没有副作用,仍可能会出现第 4 级不良事件。

https://cdn.ncbi.nlm.nih.gov/pmc/blobs/28db/10019108/a3cc67cdbebf/medi-102-e33236-g001.jpg

文献AI研究员

20分钟写一篇综述,助力文献阅读效率提升50倍。

立即体验

用中文搜PubMed

大模型驱动的PubMed中文搜索引擎

马上搜索

文档翻译

学术文献翻译模型,支持多种主流文档格式。

立即体验