Suppr超能文献

英国机场基于废水的新型冠状病毒监测及其在国际公共卫生监测中的潜在作用。

Wastewater-based monitoring of SARS-CoV-2 at UK airports and its potential role in international public health surveillance.

作者信息

Farkas Kata, Williams Rachel, Alex-Sanders Natasha, Grimsley Jasmine M S, Pântea Igor, Wade Matthew J, Woodhall Nick, Jones Davey L

机构信息

Centre for Environmental Biotechnology, School of Natural Sciences, Bangor University, Bangor, Gwynedd, United Kingdom.

School of Ocean Sciences, Bangor University, Menai Bridge, Anglesey, United Kingdom.

出版信息

PLOS Glob Public Health. 2023 Jan 19;3(1):e0001346. doi: 10.1371/journal.pgph.0001346. eCollection 2023.

Abstract

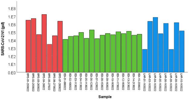
It is well established that air travel plays a key role in the global spread of many enteric and respiratory diseases, including COVID-19. Even with travel restrictions (e.g. mask wearing, negative COVID-19 test prior to departure), SARS-CoV-2 may be transmitted by asymptomatic or pre-symptomatic individuals carrying the virus. Due to the limitation of current clinical surveillance approaches, complementary methods need to be developed to allow estimation of the frequency of SARS-CoV-2 entry across international borders. Wastewater-based epidemiology (WBE) represents one such approach, allowing the unbiased sampling of SARS-CoV-2 carriage by passenger cohorts entering via airports. In this study, we monitored sewage in samples from terminals (n = 150) and aircraft (n = 32) at three major international airports in the UK for 1-3 weeks in March 2022. As the raw samples were more turbid than typical municipal wastewater, we used beef extract treatment followed by polyethylene glycol (PEG) precipitation to concentrate viruses, followed by reverse transcription quantitative PCR (RT-qPCR) for the detection of SARS-CoV-2 and a faecal indicator virus, crAssphage. All samples taken from sewers at the arrival terminals of Heathrow and Bristol airports, and 85% of samples taken from sites at Edinburgh airport, were positive for SARS-CoV-2. This suggests a high COVID-19 prevalence among passengers and/or airport staff members. Samples derived from aircraft also showed 93% SARS-CoV-2 positivity. No difference in viral prevalence was found before and after COVID-19 travel restrictions were lifted. Our results suggest that WBE is a useful tool for monitoring the global transfer rate of human pathogens and other disease-causing agents across international borders and should form part of wider international efforts to monitor and contain the spread of future disease outbreaks.

摘要

众所周知,航空旅行在包括新冠病毒病在内的许多肠道和呼吸道疾病的全球传播中起着关键作用。即使实施了旅行限制措施(如佩戴口罩、出发前新冠病毒检测呈阴性),严重急性呼吸综合征冠状病毒2(SARS-CoV-2)仍可能由携带该病毒的无症状或症状前个体传播。由于当前临床监测方法存在局限性,需要开发补充方法来估计SARS-CoV-2跨越国际边境的输入频率。基于废水的流行病学(WBE)就是这样一种方法,它可以对通过机场入境的乘客群体中的SARS-CoV-2携带情况进行无偏采样。在本研究中,我们于2022年3月对英国三个主要国际机场的候机楼(n = 150)和飞机(n = 32)样本中的污水进行了1至3周的监测。由于原始样本比典型的城市污水更浑浊,我们采用牛肉膏处理,然后用聚乙二醇(PEG)沉淀来浓缩病毒,随后进行逆转录定量聚合酶链反应(RT-qPCR)检测SARS-CoV-2和一种粪便指示病毒——交叉组装噬菌体(crAssphage)。从希思罗机场和布里斯托尔机场抵达候机楼的下水道采集的所有样本,以及从爱丁堡机场各地点采集的85%的样本,SARS-CoV-2检测均呈阳性。这表明乘客和/或机场工作人员中新冠病毒病的感染率很高。来自飞机的样本SARS-CoV-2阳性率也为93%。在新冠病毒病旅行限制解除前后,病毒流行率没有差异。我们的结果表明,基于废水的流行病学是监测人类病原体和其他致病因子全球跨境传播率的有用工具,应成为监测和遏制未来疾病暴发传播的更广泛国际努力的一部分。

https://cdn.ncbi.nlm.nih.gov/pmc/blobs/638e/10021541/ad56a1bca603/pgph.0001346.g001.jpg

文献检索

告别复杂PubMed语法,用中文像聊天一样搜索,搜遍4000万医学文献。AI智能推荐,让科研检索更轻松。

立即免费搜索

文件翻译

保留排版,准确专业,支持PDF/Word/PPT等文件格式,支持 12+语言互译。

免费翻译文档

深度研究

AI帮你快速写综述,25分钟生成高质量综述,智能提取关键信息,辅助科研写作。

立即免费体验