Department of Biochemistry, University of Zurich, Winterthurerstrasse 190, CH-8057, Zurich, Switzerland.
Vaccinex, Inc., 1895 Mt. Hope Avenue, Rochester, New York, 14620, NY, USA.
Nat Commun. 2023 Mar 30;14(1):1770. doi: 10.1038/s41467-023-37191-8.
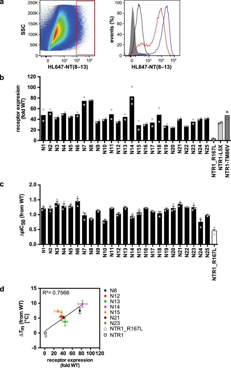
Directed evolution in bacterial or yeast display systems has been successfully used to improve stability and expression of G protein-coupled receptors for structural and biophysical studies. Yet, several receptors cannot be tackled in microbial systems due to their complex molecular composition or unfavorable ligand properties. Here, we report an approach to evolve G protein-coupled receptors in mammalian cells. To achieve clonality and uniform expression, we develop a viral transduction system based on Vaccinia virus. By rational design of synthetic DNA libraries, we first evolve neurotensin receptor 1 for high stability and expression. Second, we demonstrate that receptors with complex molecular architectures and large ligands, such as the parathyroid hormone 1 receptor, can be readily evolved. Importantly, functional receptor properties can now be evolved in the presence of the mammalian signaling environment, resulting in receptor variants exhibiting increased allosteric coupling between the ligand binding site and the G protein interface. Our approach thus provides insights into the intricate molecular interplay required for GPCR activation.
在细菌或酵母展示系统中的定向进化已被成功用于提高结构和生物物理研究用 G 蛋白偶联受体的稳定性和表达。然而,由于某些受体具有复杂的分子组成或不利的配体性质,因此无法在微生物系统中进行处理。在这里,我们报告了一种在哺乳动物细胞中进化 G 蛋白偶联受体的方法。为了实现克隆性和均匀表达,我们开发了一种基于痘苗病毒的病毒转导系统。通过合成 DNA 文库的合理设计,我们首先进化了神经降压素受体 1 以提高其稳定性和表达。其次,我们证明了具有复杂分子结构和大配体的受体(例如甲状旁腺激素 1 受体)可以很容易地进化。重要的是,现在可以在哺乳动物信号环境中进化功能受体特性,从而产生在配体结合位点和 G 蛋白界面之间表现出增强的变构偶联的受体变体。我们的方法因此为 GPCR 激活所需的复杂分子相互作用提供了深入的了解。