Suppr超能文献

蜂蜜中的血清素、褪黑素及其前体、代谢物以及维生素D衍生物。

Serotonin, melatonin and their precursors and metabolites and vitamin D derivatives in honey.

作者信息

Kim Tae-Kang, Fabisiak Adrian, Brzeminski Pawel, Reiter Russel J, Slominski Andrzej T

机构信息

Department of Dermatology, The University of Alabama at Birmingham, Birmingham, Alabama 35294, USA.

Department of Chemistry, University of Warsaw, 02-093 Warsaw, Poland.

出版信息

Melatonin Res. 2022 Oct 3;5(3):374-380. doi: 10.32794/mr112500137. Epub 2022 Sep 30.

Abstract

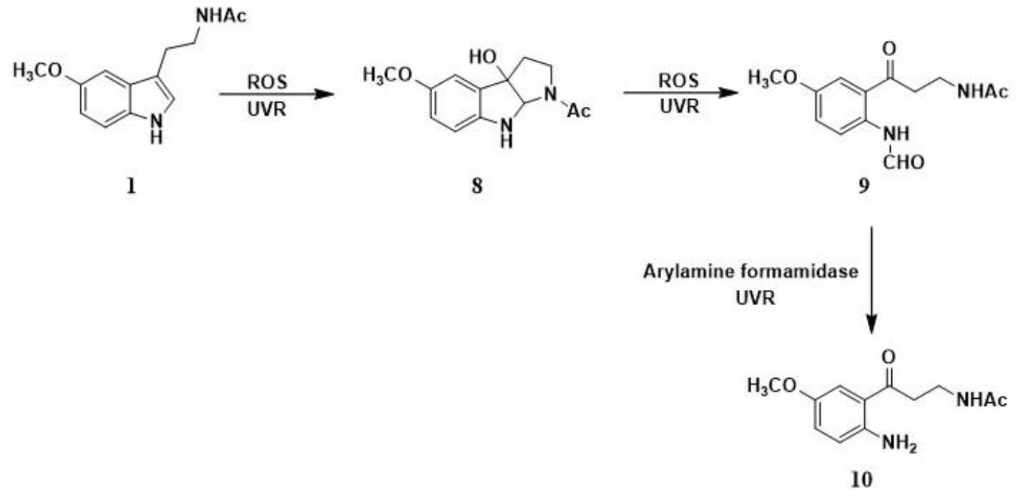
We are commenting recent discoveries on the presence of L-DOPA, dopamine, 5-hydroxytryptophan, tryptamine, serotonin, -acetylserotonin, melatonin, 2-hydroxymelatonin, AFMK and AMK in honey. Serotonin and melatonin, products of the tryptophan metabolism, are widely produced in nature, serving as hormones, neurotransmitters, biological regulators, neurotransmitters and antioxidants, in a context dependent fashion. Dopamine and tryptamine are important neurotransmitters across different species. Honey is used as one of the most popular healthy food substances. Detection of above molecules in honey accompanied by detection of vitamin D and its hydroxyderivatives, is consistent with their detection in insects and plants. Their presence in honey enhances spectrum of its beneficial effects for human health and implicates that these molecules must play important role in social insects physiology, bees development and colony functions.

摘要

我们正在评论有关蜂蜜中存在L-多巴、多巴胺、5-羟色氨酸、色胺、血清素、N-乙酰血清素、褪黑素、2-羟基褪黑素、AFMK和AMK的最新发现。血清素和褪黑素是色氨酸代谢产物,在自然界广泛产生,视具体情况作为激素、神经递质、生物调节剂、神经递质和抗氧化剂发挥作用。多巴胺和色胺是不同物种中重要的神经递质。蜂蜜是最受欢迎的健康食品物质之一。在蜂蜜中检测到上述分子,同时检测到维生素D及其羟基衍生物,这与在昆虫和植物中的检测结果一致。它们在蜂蜜中的存在增强了其对人类健康的有益作用范围,并表明这些分子必定在社会性昆虫生理学、蜜蜂发育和蜂群功能中发挥重要作用。

https://cdn.ncbi.nlm.nih.gov/pmc/blobs/cc33/10062416/1a0d58450bdb/nihms-1876911-f0001.jpg

文献AI研究员

20分钟写一篇综述,助力文献阅读效率提升50倍。

立即体验

用中文搜PubMed

大模型驱动的PubMed中文搜索引擎

马上搜索

文档翻译

学术文献翻译模型,支持多种主流文档格式。

立即体验