Suppr超能文献

了解拉莫三嗪在中枢神经系统中的作用及可能的未来发展。

Understanding Lamotrigine's Role in the CNS and Possible Future Evolution.

机构信息

OncoPharma Research Group, Center for Health Technology and Services Research (CINTESIS), Rua Doutor Plácido da Costa, s/n, 4200-450 Porto, Portugal.

CINTESIS@RISE, Faculty of Medicine, University of Porto, Alameda Professor Hernâni Monteiro, 4200-319 Porto, Portugal.

出版信息

Int J Mol Sci. 2023 Mar 23;24(7):6050. doi: 10.3390/ijms24076050.

Abstract

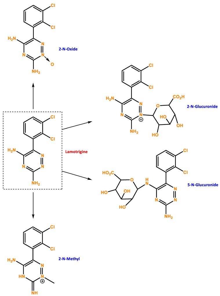
The anti-epileptic drug lamotrigine (LTG) has been widely used to treat various neurological disorders, including epilepsy and bipolar disorder. However, its precise mechanism of action in the central nervous system (CNS) still needs to be determined. Recent studies have highlighted the involvement of LTG in modulating the activity of voltage-gated ion channels, particularly those related to the inhibition of neuronal excitability. Additionally, LTG has been found to have neuroprotective effects, potentially through the inhibition of glutamate release and the enhancement of GABAergic neurotransmission. LTG's unique mechanism of action compared to other anti-epileptic drugs has led to the investigation of its use in treating other CNS disorders, such as neuropathic pain, PTSD, and major depressive disorder. Furthermore, the drug has been combined with other anti-epileptic drugs and mood stabilizers, which may enhance its therapeutic effects. In conclusion, LTG's potential to modulate multiple neurotransmitters and ion channels in the CNS makes it a promising drug for treating various neurological disorders. As our understanding of its mechanism of action in the CNS continues to evolve, the potential for the drug to be used in new indications will also be explored.

摘要

抗癫痫药物拉莫三嗪(LTG)已被广泛用于治疗各种神经疾病,包括癫痫和双相情感障碍。然而,其在中枢神经系统(CNS)中的确切作用机制仍有待确定。最近的研究强调了 LTG 在调节电压门控离子通道活性方面的作用,特别是与抑制神经元兴奋性相关的通道。此外,已经发现 LTG 具有神经保护作用,可能是通过抑制谷氨酸释放和增强 GABA 能神经传递。与其他抗癫痫药物相比,LTG 的独特作用机制导致了对其在治疗其他 CNS 疾病(如神经性疼痛、创伤后应激障碍和重度抑郁症)中的应用的研究。此外,该药物已与其他抗癫痫药物和情绪稳定剂联合使用,这可能增强其治疗效果。总之,LTG 调节 CNS 中多种神经递质和离子通道的潜力使其成为治疗各种神经疾病的有前途的药物。随着我们对其在 CNS 中作用机制的理解不断发展,该药物在新适应症中的应用潜力也将得到探索。

https://cdn.ncbi.nlm.nih.gov/pmc/blobs/17e9/10093959/df3fbbac93d4/ijms-24-06050-g001.jpg

文献AI研究员

20分钟写一篇综述,助力文献阅读效率提升50倍。

立即体验

用中文搜PubMed

大模型驱动的PubMed中文搜索引擎

马上搜索

文档翻译

学术文献翻译模型,支持多种主流文档格式。

立即体验