• 文献检索
  • 文档翻译
  • 深度研究
  • 学术资讯
  • Suppr Zotero 插件Zotero 插件
  • 邀请有礼
  • 套餐&价格
  • 历史记录
应用&插件
Suppr Zotero 插件Zotero 插件浏览器插件Mac 客户端Windows 客户端微信小程序
定价
高级版会员购买积分包购买API积分包
服务
文献检索文档翻译深度研究API 文档MCP 服务
关于我们
关于 Suppr公司介绍联系我们用户协议隐私条款
关注我们

Suppr 超能文献

核心技术专利:CN118964589B侵权必究
粤ICP备2023148730 号-1Suppr @ 2026

文献检索

告别复杂PubMed语法,用中文像聊天一样搜索,搜遍4000万医学文献。AI智能推荐,让科研检索更轻松。

立即免费搜索

文件翻译

保留排版,准确专业,支持PDF/Word/PPT等文件格式,支持 12+语言互译。

免费翻译文档

深度研究

AI帮你快速写综述,25分钟生成高质量综述,智能提取关键信息,辅助科研写作。

立即免费体验

综合生理和转录组分析揭示了外源壳寡糖提高了黄瓜(L.)的耐寒性。

Integrated Physiological and Transcriptomic Analyses Revealed Improved Cold Tolerance in Cucumber ( L.) by Exogenous Chitosan Oligosaccharide.

机构信息

College of Horticulture, Shenyang Agricultural University, 120 Dongling Road Shenhe District, Shenyang 110866, China.

出版信息

Int J Mol Sci. 2023 Mar 25;24(7):6202. doi: 10.3390/ijms24076202.

DOI:10.3390/ijms24076202
PMID:37047175
原文链接:https://pmc.ncbi.nlm.nih.gov/articles/PMC10094205/
Abstract

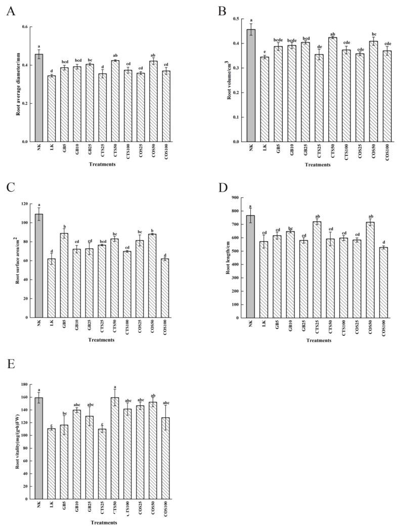
Cucumber ( L.), sensitive to cold stress, is one of the most economically important vegetables. Here, we systematically investigated the roles of exogenous glycine betaine, chitosan, and chitosan oligosaccharide in alleviating cold stress in cucumber seedlings. The results showed that 50 mg·L chitosan oligosaccharide had the best activity. It effectively increases plant growth, chlorophyll content, photosynthetic capacity, osmotic regulatory substance content, and antioxidant enzyme activities while reducing relative electrical conductivity and malondialdehyde levels in cucumber seedlings under cold stress. To reveal the protective effects of chitosan oligosaccharide in cold stress, cucumber seedlings pretreated with 50 mg·L chitosan oligosaccharide were sampled after 0, 3, 12, and 24 h of cold stress for transcriptome analysis, with distilled water as a control. The numbers of differentially expressed genes in the four comparison groups were 656, 1274, 1122, and 957, respectively. GO functional annotation suggested that these genes were mainly involved in "voltage-gated calcium channel activity", "carbohydrate metabolic process", "jasmonic acid biosynthetic", and "auxin response" biological processes. KEGG enrichment analysis indicated that these genes performed important functions in "phenylpropanoid biosynthesis", "MAPK signaling pathway-plant", "phenylalanine metabolism", and "plant hormone signal transduction." These findings provide a theoretical basis for the use of COS to alleviate the damage caused by cold stress in plant growth and development.

摘要

黄瓜(L.)对冷胁迫敏感,是最重要的经济作物之一。在这里,我们系统地研究了外源甘氨酸甜菜碱、壳聚糖和壳寡糖在缓解黄瓜幼苗冷胁迫中的作用。结果表明,50mg·L 的壳寡糖活性最佳。它有效地增加了植物的生长、叶绿素含量、光合作用能力、渗透调节物质含量和抗氧化酶活性,同时降低了冷胁迫下黄瓜幼苗的相对电导率和丙二醛水平。为了揭示壳寡糖在冷胁迫下的保护作用,用 50mg·L 壳寡糖预处理黄瓜幼苗,在冷胁迫 0、3、12 和 24 小时后取样进行转录组分析,以蒸馏水为对照。四个比较组的差异表达基因数量分别为 656、1274、1122 和 957。GO 功能注释表明,这些基因主要参与“电压门控钙通道活性”、“碳水化合物代谢过程”、“茉莉酸生物合成”和“生长素反应”等生物学过程。KEGG 富集分析表明,这些基因在“苯丙烷生物合成”、“植物 MAPK 信号通路”、“苯丙氨酸代谢”和“植物激素信号转导”中发挥重要作用。这些发现为利用 COS 缓解冷胁迫对植物生长发育的损害提供了理论依据。

https://cdn.ncbi.nlm.nih.gov/pmc/blobs/0b30/10094205/90e7534f95dc/ijms-24-06202-g007.jpg
https://cdn.ncbi.nlm.nih.gov/pmc/blobs/0b30/10094205/c63d93ca171f/ijms-24-06202-g001.jpg
https://cdn.ncbi.nlm.nih.gov/pmc/blobs/0b30/10094205/8ad6dc757708/ijms-24-06202-g002.jpg
https://cdn.ncbi.nlm.nih.gov/pmc/blobs/0b30/10094205/b6f33a75a55c/ijms-24-06202-g003.jpg
https://cdn.ncbi.nlm.nih.gov/pmc/blobs/0b30/10094205/b2b65aa0ef90/ijms-24-06202-g004.jpg
https://cdn.ncbi.nlm.nih.gov/pmc/blobs/0b30/10094205/348d202c9156/ijms-24-06202-g005.jpg
https://cdn.ncbi.nlm.nih.gov/pmc/blobs/0b30/10094205/73cecf866c32/ijms-24-06202-g006.jpg
https://cdn.ncbi.nlm.nih.gov/pmc/blobs/0b30/10094205/90e7534f95dc/ijms-24-06202-g007.jpg
https://cdn.ncbi.nlm.nih.gov/pmc/blobs/0b30/10094205/c63d93ca171f/ijms-24-06202-g001.jpg
https://cdn.ncbi.nlm.nih.gov/pmc/blobs/0b30/10094205/8ad6dc757708/ijms-24-06202-g002.jpg
https://cdn.ncbi.nlm.nih.gov/pmc/blobs/0b30/10094205/b6f33a75a55c/ijms-24-06202-g003.jpg
https://cdn.ncbi.nlm.nih.gov/pmc/blobs/0b30/10094205/b2b65aa0ef90/ijms-24-06202-g004.jpg
https://cdn.ncbi.nlm.nih.gov/pmc/blobs/0b30/10094205/348d202c9156/ijms-24-06202-g005.jpg
https://cdn.ncbi.nlm.nih.gov/pmc/blobs/0b30/10094205/73cecf866c32/ijms-24-06202-g006.jpg
https://cdn.ncbi.nlm.nih.gov/pmc/blobs/0b30/10094205/90e7534f95dc/ijms-24-06202-g007.jpg

相似文献

1
Integrated Physiological and Transcriptomic Analyses Revealed Improved Cold Tolerance in Cucumber ( L.) by Exogenous Chitosan Oligosaccharide.综合生理和转录组分析揭示了外源壳寡糖提高了黄瓜(L.)的耐寒性。
Int J Mol Sci. 2023 Mar 25;24(7):6202. doi: 10.3390/ijms24076202.
2
Unveiling Molecular Mechanisms of Nitric Oxide-Induced Low-Temperature Tolerance in Cucumber by Transcriptome Profiling.通过转录组分析揭示一氧化氮诱导黄瓜低温耐受性的分子机制。
Int J Mol Sci. 2022 May 17;23(10):5615. doi: 10.3390/ijms23105615.
3
Endogenous salicylic acid accumulation is required for chilling tolerance in cucumber (Cucumis sativus L.) seedlings.内源水杨酸积累是黄瓜幼苗耐冷性所必需的。
Planta. 2014 Oct;240(4):687-700. doi: 10.1007/s00425-014-2115-1. Epub 2014 Jul 18.
4
24-Epibrassinolide Ameliorates Endogenous Hormone Levels to Enhance Low-Temperature Stress Tolerance in Cucumber Seedlings.24-表油菜素内酯通过改善内源激素水平增强黄瓜幼苗的低温胁迫耐受性。
Int J Mol Sci. 2018 Aug 24;19(9):2497. doi: 10.3390/ijms19092497.
5
Heme is involved in the exogenous ALA-promoted growth and antioxidant defense system of cucumber seedlings under salt stress.血红素参与盐胁迫下外源 ALA 促进的黄瓜幼苗生长和抗氧化防御系统。
BMC Plant Biol. 2022 Jul 8;22(1):329. doi: 10.1186/s12870-022-03717-3.
6
Physiological and Molecular Mechanisms of ABA and CaCl Regulating Chilling Tolerance of Cucumber Seedlings.脱落酸和氯化钙调控黄瓜幼苗耐冷性的生理及分子机制
Plants (Basel). 2021 Dec 13;10(12):2746. doi: 10.3390/plants10122746.
7
Transcriptome Analysis Reveals the Different Response to Toxic Stress in Rootstock Grafted and Non-Grafted Cucumber Seedlings.转录组分析揭示了砧木嫁接和非嫁接黄瓜幼苗对毒性应激的不同反应。
Int J Mol Sci. 2020 Jan 24;21(3):774. doi: 10.3390/ijms21030774.
8
Physiological and Proteome Analysis of the Effects of Chitosan Oligosaccharides on Salt Tolerance of Rice Seedlings.壳寡糖对水稻幼苗耐盐性影响的生理及蛋白质组学分析。
Int J Mol Sci. 2024 May 29;25(11):5953. doi: 10.3390/ijms25115953.
9
Alginate-derived oligosaccharides promote water stress tolerance in cucumber (Cucumis sativus L.).藻酸盐衍生寡糖可提高黄瓜(Cucumis sativus L.)的水分胁迫耐受性。
Plant Physiol Biochem. 2018 Sep;130:80-88. doi: 10.1016/j.plaphy.2018.06.040. Epub 2018 Jun 30.
10
Comparative Physiological and Transcriptomic Analyses Reveal Mechanisms of Improved Osmotic Stress Tolerance in Annual Ryegrass by Exogenous Chitosan.外源壳聚糖提高一年生黑麦草渗透胁迫耐受性的比较生理和转录组学分析。
Genes (Basel). 2019 Oct 28;10(11):853. doi: 10.3390/genes10110853.

引用本文的文献

1
Effect of membrane rigidification on the expression and cold-tolerance in .膜刚性化对……中表达及耐寒性的影响
Front Plant Sci. 2025 Aug 13;16:1527754. doi: 10.3389/fpls.2025.1527754. eCollection 2025.
2
Transcriptome analysis reveals the mechanism of mixed oligosaccharides in the response of rice seedlings to abiotic stresses.转录组分析揭示了混合寡糖在水稻幼苗对非生物胁迫响应中的作用机制。
Front Plant Sci. 2025 Apr 28;16:1546679. doi: 10.3389/fpls.2025.1546679. eCollection 2025.
3
Multifunctional Role of Cytokinin in Horticultural Crops.

本文引用的文献

1
Using Exogenous Melatonin, Glutathione, Proline, and Glycine Betaine Treatments to Combat Abiotic Stresses in Crops.使用外源性褪黑素、谷胱甘肽、脯氨酸和甜菜碱处理来应对作物的非生物胁迫。
Int J Mol Sci. 2022 Oct 26;23(21):12913. doi: 10.3390/ijms232112913.
2
Exogenous melatonin confers cold tolerance in rapeseed ( L.) seedlings by improving antioxidants and genes expression.外源性褪黑素通过提高抗氧化剂和基因表达水平赋予油菜(L.)幼苗耐寒性。
Plant Signal Behav. 2022 Dec 31;17(1):2129289. doi: 10.1080/15592324.2022.2129289.
3
Effect of Exogenous Glycine Betaine on the Germination of Tomato Seeds under Cold Stress.
细胞分裂素在园艺作物中的多功能作用
Int J Mol Sci. 2025 Jan 25;26(3):1037. doi: 10.3390/ijms26031037.
4
Chitosan induced cold tolerance in by regulating photosynthesis, antioxidant performance, and chloroplast ultrastructure.壳聚糖通过调节光合作用、抗氧化性能和叶绿体超微结构诱导(植物)产生耐寒性。
Front Plant Sci. 2024 Nov 20;15:1441564. doi: 10.3389/fpls.2024.1441564. eCollection 2024.
5
Integrative multi-omics analysis of chilling stress in pumpkin (Cucurbita moschata).南瓜(Cucurbita moschata)冷胁迫的综合多组学分析。
BMC Genomics. 2024 Nov 5;25(1):1042. doi: 10.1186/s12864-024-10939-2.
6
Genome wide identification and characterization of Bax inhibitor-1 gene family in cucumber (Cucumis sativus) under biotic and abiotic stress.生物和非生物胁迫下黄瓜(Cucumis sativus)Bax 抑制剂-1 基因家族的全基因组鉴定和特征分析。
BMC Genomics. 2024 Nov 4;25(1):1032. doi: 10.1186/s12864-024-10704-5.
7
Insights into cucumber () genetics: Genome-wide discovery and computational analysis of the Calreticulin Domain-Encoding gene (CDEG) family.黄瓜()遗传学见解:钙网蛋白结构域编码基因(CDEG)家族的全基因组发现与计算分析
Saudi J Biol Sci. 2024 Apr;31(4):103959. doi: 10.1016/j.sjbs.2024.103959. Epub 2024 Feb 13.
8
Genome-wide identification of CCO gene family in cucumber (Cucumis sativus) and its comparative analysis with A. thaliana.黄瓜(Cucumis sativus)全基因组鉴定 CCO 基因家族及其与拟南芥的比较分析。
BMC Plant Biol. 2023 Dec 11;23(1):640. doi: 10.1186/s12870-023-04647-4.
9
Biochar-Dual Oxidant Composite Particles Alleviate the Oxidative Stress of Phenolic Acid on Tomato Seed Germination.生物炭-双氧化剂复合颗粒减轻酚酸对番茄种子萌发的氧化应激。
Antioxidants (Basel). 2023 Apr 11;12(4):910. doi: 10.3390/antiox12040910.
外源甜菜碱对低温胁迫下番茄种子萌发的影响。
Int J Mol Sci. 2022 Sep 9;23(18):10474. doi: 10.3390/ijms231810474.
4
Overexpression of grape ABA receptor gene VaPYL4 enhances tolerance to multiple abiotic stresses in Arabidopsis.葡萄 ABA 受体基因 VaPYL4 的过表达增强了拟南芥对多种非生物胁迫的耐受性。
BMC Plant Biol. 2022 Jun 2;22(1):271. doi: 10.1186/s12870-022-03663-0.
5
Heat shock-induced cold acclimation in cucumber through CsHSFA1d-activated JA biosynthesis and signaling.热激诱导黄瓜冷驯化通过 CsHSFA1d 激活的 JA 生物合成和信号转导。
Plant J. 2022 Jul;111(1):85-102. doi: 10.1111/tpj.15780. Epub 2022 May 3.
6
Surviving and thriving: How plants perceive and respond to temperature stress.在逆境中求生存和繁荣:植物如何感知和应对温度胁迫。
Dev Cell. 2022 Apr 25;57(8):947-958. doi: 10.1016/j.devcel.2022.03.010. Epub 2022 Apr 12.
7
Genome-Wide Analysis of the Soybean TIFY Family and Identification of and Response to Salt Stress.大豆TIFY家族的全基因组分析及其对盐胁迫的响应鉴定
Front Plant Sci. 2022 Mar 23;13:845314. doi: 10.3389/fpls.2022.845314. eCollection 2022.
8
Genome-Wide Identification of the Gene Family in and Its Potential Association with Heavy Metal Stress in Rapeseed.油菜中基因家族的全基因组鉴定及其与重金属胁迫的潜在关联
Plants (Basel). 2022 Feb 28;11(5):667. doi: 10.3390/plants11050667.
9
Transcriptional regulatory network of plant cold-stress responses.植物冷胁迫响应的转录调控网络
Trends Plant Sci. 2022 Sep;27(9):922-935. doi: 10.1016/j.tplants.2022.01.008. Epub 2022 Feb 21.
10
Melatonin Participates in Selenium-Enhanced Cold Tolerance of Cucumber Seedlings.褪黑素参与硒增强黄瓜幼苗的耐寒性。
Front Plant Sci. 2021 Dec 22;12:786043. doi: 10.3389/fpls.2021.786043. eCollection 2021.