Del-Bosque David, Vila-Crespo Josefina, Ruipérez Violeta, Fernández-Fernández Encarnación, Rodríguez-Nogales José Manuel
Área de Tecnología de los Alimentos, Universidad de Valladolid, Escuela Técnica Superior de Ingenierías Agrarias, 34004 Palencia, Spain.
Área de Microbiología, Universidad de Valladolid, Escuela Técnica Superior de Ingenierías Agrarias, 34004 Palencia, Spain.
Gels. 2023 Apr 10;9(4):320. doi: 10.3390/gels9040320.
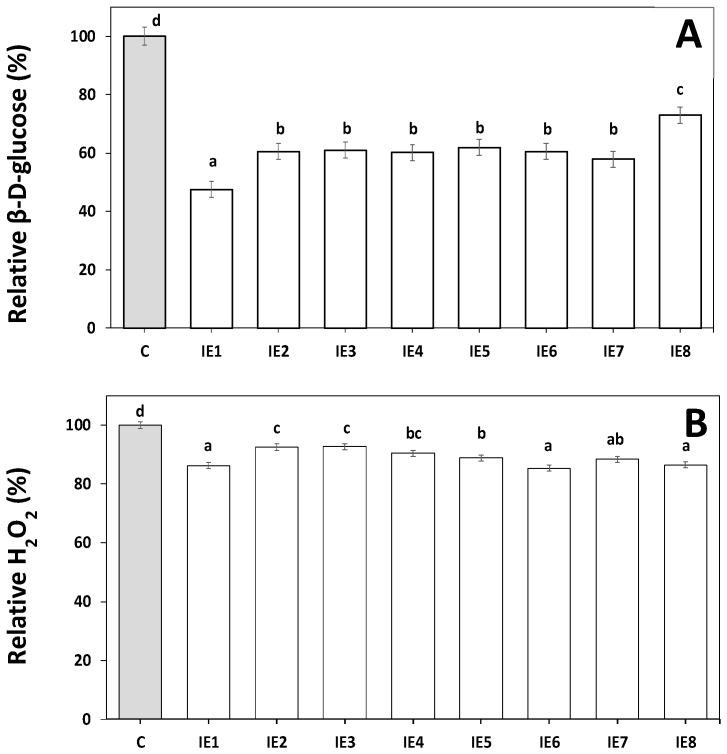
Higher temperatures due to climate change are causing greater sugar production in grapes and more alcoholic wines. The use of glucose oxidase (GOX) and catalase (CAT) in grape must is a biotechnological green strategy to produce reduced-alcohol wines. GOX and CAT were effectively co-immobilized by sol-gel entrapment in silica-calcium-alginate hydrogel capsules. The optimal co-immobilization conditions were achieved at a concentration of the colloidal silica, sodium silicate and sodium alginate of 7.38%, 0.49% and 1.51%, respectively, at pH 6.57. The formation of a porous silica-calcium-alginate structure was confirmed by environmental scanning electron microscopy and the elemental analysis of the hydrogel by X-ray spectroscopy. The immobilized GOX showed a Michaelis-Menten kinetic, while the immobilized CAT fits better to an allosteric model. Immobilization also conferred superior GOX activity at low pH and temperature. The capsules showed a good operational stability, as they could be reused for at least 8 cycles. A substantial reduction of 26.3 g/L of glucose was achieved with encapsulated enzymes, which corresponds to a decrease in potential alcoholic strength of must of about 1.5% vol. These results show that co-immobilized GOX and CAT in silica-calcium-alginate hydrogels is a promising strategy to produce reduced-alcohol wines.
气候变化导致的高温使葡萄中的糖分产量增加,葡萄酒的酒精度也更高。在葡萄汁中使用葡萄糖氧化酶(GOX)和过氧化氢酶(CAT)是生产低酒精度葡萄酒的一种生物技术绿色策略。GOX和CAT通过溶胶 - 凝胶包埋法有效地共固定在二氧化硅 - 钙 - 海藻酸盐水凝胶胶囊中。在胶体二氧化硅、硅酸钠和海藻酸钠浓度分别为7.38%、0.49%和1.51%,pH值为6.57的条件下实现了最佳共固定化条件。通过环境扫描电子显微镜和X射线光谱对水凝胶进行元素分析,证实了多孔二氧化硅 - 钙 - 海藻酸盐结构的形成。固定化的GOX呈现米氏动力学,而固定化的CAT更符合别构模型。固定化还赋予了GOX在低pH值和低温下优异的活性。这些胶囊表现出良好的操作稳定性,因为它们可以重复使用至少8个循环。使用包埋酶实现了葡萄糖大幅减少26.3 g/L,这相当于葡萄汁潜在酒精度降低约1.5%(体积分数)。这些结果表明,二氧化硅 - 钙 - 海藻酸盐水凝胶中共固定化的GOX和CAT是生产低酒精度葡萄酒的一种有前景的策略。