Suppr超能文献

使用两种基于单克隆抗体(mAb)的不同酶联免疫吸附测定法对神经囊尾蚴病患者血清中寄生虫特异性抗原水平进行一致性测量。

Consistent Measurement of Parasite-Specific Antigen Levels in Sera of Patients with Neurocysticercosis Using Two Different Monoclonal Antibody (mAb)-Based Enzyme-Linked Immunosorbent Assays.

作者信息

Castillo Yesenia, Toribio Luz M, Guzman Carolina, Arroyo Gianfranco, Espinoza Cindy, Saavedra Herbert, Bustos Javier A, Dorny Pierre, O'Neal Seth E, Garcia Hector H

机构信息

Center for Global Health, Universidad Peruana Cayetano Heredia, Lima 15202, Peru.

Cysticercosis Unit, National Institute of Neurological Sciences, Lima 15030, Peru.

出版信息

Pathogens. 2023 Apr 6;12(4):566. doi: 10.3390/pathogens12040566.

Abstract

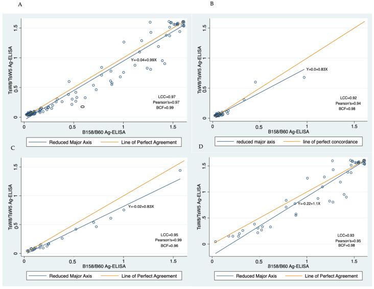
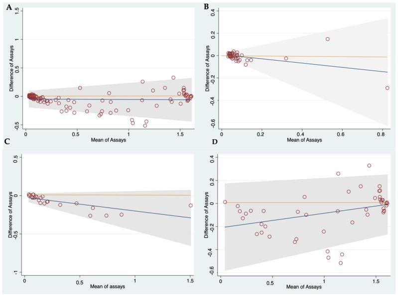
Monoclonal antibody (mAb)-based enzyme-linked immunosorbent assay (ELISA) is a complementary diagnosis technique for neurocysticercosis (NCC), which detects circulating parasite antigen (Ag) indicative of viable infection and Ag levels that correlate well with the parasite burden. In this study, we compared the performance of two Ag-ELISA techniques for the detection of NCC. We assessed the agreement between our in-house TsW8/TsW5 Ag-ELISA and the widely used B158/B60 Ag-ELISA for measuring antigen levels in the sera from 113 patients with calcified, parenchymal, and subarachnoid NCC. Concordance was demonstrated evaluating the limits of agreement (LoAs) stratified by the type of NCC. Both ELISA's detected 47/48 (97.8%) subarachnoid NCC cases. In parenchymal and calcified NCC, the B158/B60 Ag-ELISA detected 19/24 (79.2%) and 18/41 (43.9%) cases, while the TsW8/TsW5 Ag-ELISA detected 21/24 (87.5%) and 13/41 (31.7%), respectively. Parenchymal and calcified NCC obtained a perfect agreement (100%), indicating that all sample results were within the predicted LoA, while for subarachnoid NCC, the agreement was 89.6%. The high concordance between the assays was confirmed by Lin's concordance coefficient (LCC = 0.97). Patients with viable parenchymal NCC (LCC = 0.95) obtained the highest concordance between assays, followed by subarachnoid NCC (LCC = 0.93) and calcified NCC (LCC = 0.92). The TsW8/TsW5 Ag-ELISA and B158/B60 Ag-ELISA showed high Ag measurement correlations across diverse types of NCC.

摘要

基于单克隆抗体(mAb)的酶联免疫吸附测定(ELISA)是一种用于神经囊尾蚴病(NCC)的辅助诊断技术,它能检测出指示活感染的循环寄生虫抗原(Ag)以及与寄生虫负荷密切相关的Ag水平。在本研究中,我们比较了两种用于检测NCC的Ag-ELISA技术的性能。我们评估了我们内部的TsW8/TsW5 Ag-ELISA与广泛使用的B158/B60 Ag-ELISA之间在检测113例钙化型、实质型和蛛网膜下腔型NCC患者血清中抗原水平方面的一致性。通过评估按NCC类型分层的一致性界限(LoA)来证明一致性。两种ELISA均检测出47/48(97.8%)例蛛网膜下腔型NCC病例。在实质型和钙化型NCC中,B158/B60 Ag-ELISA分别检测出19/24(79.2%)和18/41(43.9%)例病例,而TsW8/TsW5 Ag-ELISA分别检测出21/24(87.5%)和13/41(31.7%)例病例。实质型和钙化型NCC获得了完美的一致性(100%),表明所有样本结果均在预测的LoA范围内,而对于蛛网膜下腔型NCC,一致性为89.6%。通过林氏一致性系数(LCC = 0.97)证实了两种检测方法之间的高度一致性。活的实质型NCC患者(LCC = 0.95)在检测方法之间获得了最高的一致性,其次是蛛网膜下腔型NCC(LCC = 0.93)和钙化型NCC(LCC = 0.92)。TsW8/TsW5 Ag-ELISA和B158/B60 Ag-ELISA在不同类型的NCC中显示出较高的Ag测量相关性。

https://cdn.ncbi.nlm.nih.gov/pmc/blobs/9cb5/10143799/7117a926b666/pathogens-12-00566-g001.jpg

文献AI研究员

20分钟写一篇综述,助力文献阅读效率提升50倍。

立即体验

用中文搜PubMed

大模型驱动的PubMed中文搜索引擎

马上搜索

文档翻译

学术文献翻译模型,支持多种主流文档格式。

立即体验