Suppr超能文献

一种针对 COVID-19 的医院需求和容量干预方法。

A hospital demand and capacity intervention approach for COVID-19.

机构信息

Department of Mathematics, School of Mathematical and Physical Sciences, University of Sussex, Brighton, United Kingdom.

Department of Mathematics, School of Mathematical, Statistical and Actuarial Sciences, University of Kent, Canterbury, United Kingdom.

出版信息

PLoS One. 2023 May 3;18(5):e0283350. doi: 10.1371/journal.pone.0283350. eCollection 2023.

Abstract

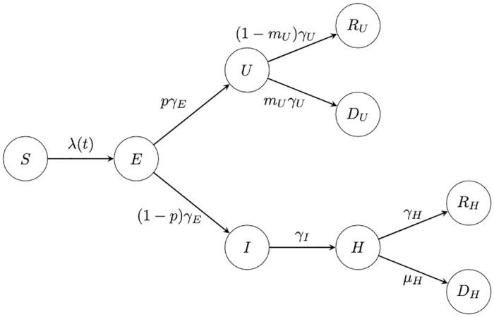
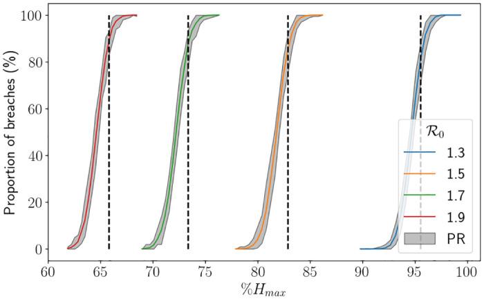
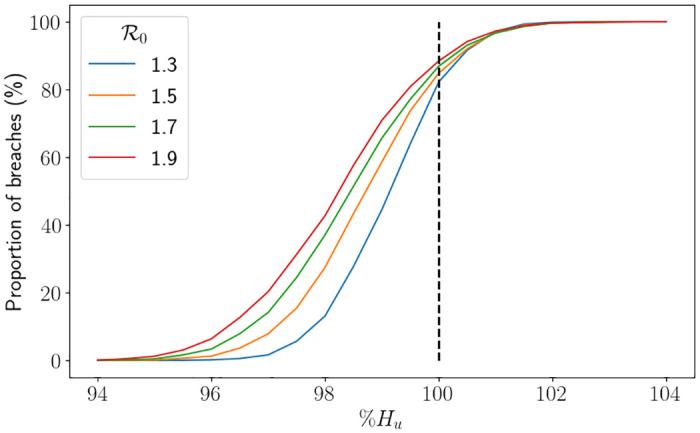
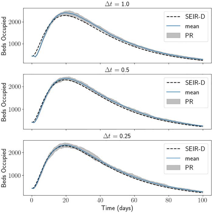
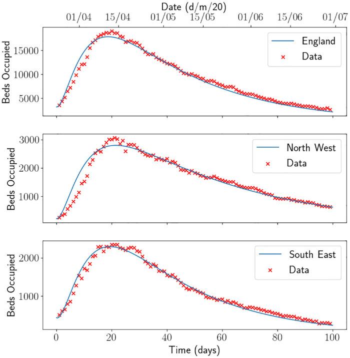
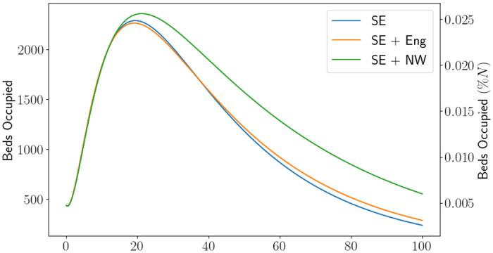
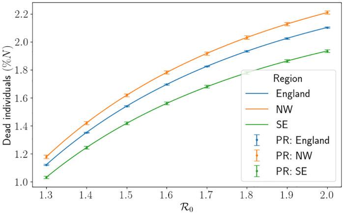
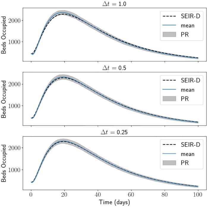
The mathematical interpretation of interventions for the mitigation of epidemics in the literature often involves finding the optimal time to initiate an intervention and/or the use of the number of infections to manage impact. Whilst these methods may work in theory, in order to implement effectively they may require information which is not likely to be available in the midst of an epidemic, or they may require impeccable data about infection levels in the community. In reality, testing and cases data can only be as good as the policy of implementation and the compliance of the individuals, which implies that accurately estimating the levels of infections becomes difficult or complicated from the data that is provided. In this paper, we demonstrate a different approach to the mathematical modelling of interventions, not based on optimality or cases, but based on demand and capacity of hospitals who have to deal with the epidemic on a day to day basis. In particular, we use data-driven modelling to calibrate a susceptible-exposed-infectious-recovered-died type model to infer parameters that depict the dynamics of the epidemic in several regions of the UK. We use the calibrated parameters for forecasting scenarios and understand, given a maximum capacity of hospital healthcare services, how the timing of interventions, severity of interventions, and conditions for the releasing of interventions affect the overall epidemic-picture. We provide an optimisation method to capture when, in terms of healthcare demand, an intervention should be put into place given a maximum capacity on the service. By using an equivalent agent-based approach, we demonstrate uncertainty quantification on the likelihood that capacity is not breached, by how much if it does, and the limit on demand that almost guarantees capacity is not breached.

摘要

文献中用于减轻传染病的干预措施的数学解释通常涉及找到开始干预的最佳时间和/或使用感染人数来管理影响。虽然这些方法在理论上可能有效,但为了有效地实施,它们可能需要在传染病爆发期间不太可能获得的信息,或者它们可能需要有关社区感染水平的无可挑剔的数据。实际上,测试和病例数据只能与实施政策和个人的合规性一样好,这意味着从提供的数据中准确估计感染水平变得困难或复杂。在本文中,我们展示了一种与干预措施的数学建模不同的方法,不是基于最优性或病例,而是基于必须每天应对传染病的医院的需求和能力。特别是,我们使用基于数据的建模来校准易感性-暴露-感染-恢复-死亡型模型,以推断出描述英国几个地区传染病动态的参数。我们使用校准后的参数进行预测情景,并了解在给定医院医疗服务最大容量的情况下,干预措施的时间、干预措施的严重程度以及干预措施释放的条件如何影响整体传染病情况。我们提供了一种优化方法,以根据服务的最大容量,在何时根据医疗需求实施干预措施。通过使用等效的基于代理的方法,我们演示了在容量不被突破的情况下,突破的可能性、突破的程度以及几乎可以保证不突破容量的需求限制。

https://cdn.ncbi.nlm.nih.gov/pmc/blobs/0964/10156009/9645284c42e3/pone.0283350.g001.jpg

文献检索

告别复杂PubMed语法,用中文像聊天一样搜索,搜遍4000万医学文献。AI智能推荐,让科研检索更轻松。

立即免费搜索

文件翻译

保留排版,准确专业,支持PDF/Word/PPT等文件格式,支持 12+语言互译。

免费翻译文档

深度研究

AI帮你快速写综述,25分钟生成高质量综述,智能提取关键信息,辅助科研写作。

立即免费体验