Suppr超能文献

鲤鱼(L.)寄生虫群落组成对水体污染的响应:一项半实验研究

Response of Parasite Community Composition to Aquatic Pollution in Common Carp ( L.): A Semi-Experimental Study.

作者信息

Pravdová Markéta, Kolářová Jitka, Grabicová Kateřina, Janáč Michal, Randák Tomáš, Ondračková Markéta

机构信息

Czech Academy of Sciences, Institute of Vertebrate Biology, Květná 8, 603 00 Brno, Czech Republic.

Department of Botany and Zoology, Faculty of Science, Masaryk University, Kotlářská 2, 611 37 Brno, Czech Republic.

出版信息

Animals (Basel). 2023 Apr 25;13(9):1464. doi: 10.3390/ani13091464.

Abstract

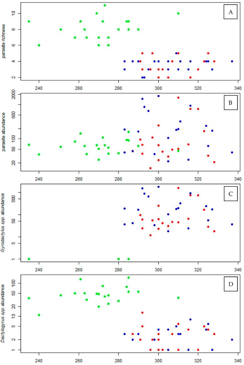
The response of parasite communities to aquatic contamination has been shown to vary with both type of pollutant and parasite lifestyle. In this semi-experimental study, we examined uptake of pharmaceutical compounds in common carp ( L.) restocked from a control pond to a treatment pond fed with organic pollution from a sewage treatment plant and assessed changes in parasite community composition and fish biometric parameters. The parasite community of restocked fish changed over the six-month exposure period, and the composition of pharmaceutical compounds in the liver and brain was almost the same as that in fish living in the treatment pond their whole life. While fish size and weight were significantly higher in both treatment groups compared to the control, condition indices, including condition factor, hepatosomatic index, and splenosomatic index, were significantly higher in control fish. Parasite diversity and species richness decreased at the polluted site, alongside a significant increase in the abundance of a single parasite species, . Oviparous monogeneans of the Dactylogyridae and Diplozoidae families and parasitic crustaceans responded to pollution with a significant decrease in abundance, the reduction in numbers most likely related to the sensitivity of their free-living stages to pollution.

摘要

寄生虫群落对水体污染的反应已被证明会因污染物类型和寄生虫生活方式的不同而有所差异。在这项半实验研究中,我们检测了从对照池塘放养到用污水处理厂有机污染喂养的处理池塘中的鲤鱼(L.)对药物化合物的摄取情况,并评估了寄生虫群落组成和鱼类生物测量参数的变化。在六个月的暴露期内,放养鱼类的寄生虫群落发生了变化,肝脏和大脑中药物化合物的组成与终生生活在处理池塘中的鱼类几乎相同。虽然两个处理组的鱼的大小和重量均显著高于对照组,但对照鱼的状况指数,包括肥满度、肝体指数和脾体指数,却显著更高。在受污染的地点,寄生虫多样性和物种丰富度下降,同时单一寄生虫物种的丰度显著增加。指环虫科和双身虫科的卵生单殖吸虫以及寄生甲壳类动物对污染的反应是丰度显著下降,数量减少很可能与其自由生活阶段对污染的敏感性有关。

https://cdn.ncbi.nlm.nih.gov/pmc/blobs/2c13/10177495/21c4cbb9ec7c/animals-13-01464-g001.jpg

文献检索

告别复杂PubMed语法,用中文像聊天一样搜索,搜遍4000万医学文献。AI智能推荐,让科研检索更轻松。

立即免费搜索

文件翻译

保留排版,准确专业,支持PDF/Word/PPT等文件格式,支持 12+语言互译。

免费翻译文档

深度研究

AI帮你快速写综述,25分钟生成高质量综述,智能提取关键信息,辅助科研写作。

立即免费体验