• 文献检索
  • 文档翻译
  • 深度研究
  • 学术资讯
  • Suppr Zotero 插件Zotero 插件
  • 邀请有礼
  • 套餐&价格
  • 历史记录
应用&插件
Suppr Zotero 插件Zotero 插件浏览器插件Mac 客户端Windows 客户端微信小程序
定价
高级版会员购买积分包购买API积分包
服务
文献检索文档翻译深度研究API 文档MCP 服务
关于我们
关于 Suppr公司介绍联系我们用户协议隐私条款
关注我们

Suppr 超能文献

核心技术专利:CN118964589B侵权必究
粤ICP备2023148730 号-1Suppr @ 2026

文献检索

告别复杂PubMed语法,用中文像聊天一样搜索,搜遍4000万医学文献。AI智能推荐,让科研检索更轻松。

立即免费搜索

文件翻译

保留排版,准确专业,支持PDF/Word/PPT等文件格式,支持 12+语言互译。

免费翻译文档

深度研究

AI帮你快速写综述,25分钟生成高质量综述,智能提取关键信息,辅助科研写作。

立即免费体验

从伊朗家禽肠道分离的菌株的益生菌特性的分离、功能评估及分子鉴定。

Isolation, functional evaluation of probiotic properties and molecular identification of strains isolated from Iranian poultry's gut.

作者信息

Makzum Somaye, Ghadam Parinaz, Ramezani Mohaddaseh

机构信息

Department of Biotechnology, Faculty of Biological Sciences, Alzahra University, Tehran, Iran.

Microorganisms Bank, Iranian Biological Resource Centre (IBRC), ACECR, Tehran, Iran.

出版信息

Iran J Microbiol. 2023 Apr;15(2):267-277. doi: 10.18502/ijm.v15i2.12479.

DOI:10.18502/ijm.v15i2.12479
PMID:37193232
原文链接:https://pmc.ncbi.nlm.nih.gov/articles/PMC10183074/
Abstract

BACKGROUND AND OBJECTIVES

The use of probiotics as an alternative to antibiotics in poultry diets has attracted a lot of interest recently. In this context, the determination of probiotic characteristics was evaluated on several isolates obtained from Iranian poultry's gut.

MATERIALS AND METHODS

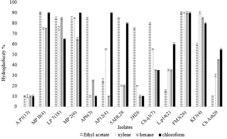
Probiotic characteristics such as hemolysis activity, acid, bile, gastric juice tolerate, adhesion assay, cell surface properties (hydrophobicity, auto-aggregation and co-aggregation) and antibiotic susceptibility test were evaluated. Finally, selected isolates identified molecularly after temperature-salt tolerance and extracellular enzyme activity (amylase, protease and cellulose).

RESULTS

Out of 362 strains isolated from native poultry in three geographical regions of Iran, nine strains (belong to sp., sp., sp., sp., sp.) showed resistance against gastrointestinal physiological conditions, desirable surface properties, ability to adhere to epithelial intestine cell line and antibiotic susceptibility. Also, these strains were discovered to be temperature-salt tolerant but, only a small number of them were able to produce hydrolase enzymes.

CONCLUSION

According to the results, the selected strains can be introduced as native probiotic candidates for utilization in novel poultry feeds.

摘要

背景与目的

益生菌作为家禽日粮中抗生素的替代品,近年来备受关注。在此背景下,对从伊朗家禽肠道分离得到的几株菌株进行了益生菌特性评估。

材料与方法

评估了益生菌的溶血活性、耐酸、耐胆汁、耐胃液、黏附试验、细胞表面特性(疏水性、自聚集和共聚集)以及抗生素敏感性试验。最后,在评估温度盐耐受性和胞外酶活性(淀粉酶、蛋白酶和纤维素酶)后,对筛选出的菌株进行分子鉴定。

结果

从伊朗三个地理区域的本地家禽中分离出362株菌株,其中9株(属于 属、 属、 属、 属、 属)表现出对胃肠道生理条件的抗性、良好的表面特性、黏附于肠上皮细胞系的能力以及抗生素敏感性。此外,这些菌株被发现具有温度盐耐受性,但只有少数能够产生水解酶。

结论

根据结果,筛选出的菌株可作为新型家禽饲料中使用的本地益生菌候选菌株。

https://cdn.ncbi.nlm.nih.gov/pmc/blobs/3cc5/10183074/51e2390808a4/IJM-15-267-g004.jpg
https://cdn.ncbi.nlm.nih.gov/pmc/blobs/3cc5/10183074/f3069c995d55/IJM-15-267-g001.jpg
https://cdn.ncbi.nlm.nih.gov/pmc/blobs/3cc5/10183074/a11b8378c628/IJM-15-267-g002.jpg
https://cdn.ncbi.nlm.nih.gov/pmc/blobs/3cc5/10183074/0e592a694a10/IJM-15-267-g003.jpg
https://cdn.ncbi.nlm.nih.gov/pmc/blobs/3cc5/10183074/51e2390808a4/IJM-15-267-g004.jpg
https://cdn.ncbi.nlm.nih.gov/pmc/blobs/3cc5/10183074/f3069c995d55/IJM-15-267-g001.jpg
https://cdn.ncbi.nlm.nih.gov/pmc/blobs/3cc5/10183074/a11b8378c628/IJM-15-267-g002.jpg
https://cdn.ncbi.nlm.nih.gov/pmc/blobs/3cc5/10183074/0e592a694a10/IJM-15-267-g003.jpg
https://cdn.ncbi.nlm.nih.gov/pmc/blobs/3cc5/10183074/51e2390808a4/IJM-15-267-g004.jpg

相似文献

1
Isolation, functional evaluation of probiotic properties and molecular identification of strains isolated from Iranian poultry's gut.从伊朗家禽肠道分离的菌株的益生菌特性的分离、功能评估及分子鉴定。
Iran J Microbiol. 2023 Apr;15(2):267-277. doi: 10.18502/ijm.v15i2.12479.
2
Yeasts from Iranian traditional milk kefir samples: isolation, molecular identification and their potential probiotic properties.伊朗传统牛奶克菲尔样品中的酵母:分离、分子鉴定及其潜在的益生菌特性。
Lett Appl Microbiol. 2022 Nov;75(5):1264-1274. doi: 10.1111/lam.13794. Epub 2022 Aug 6.
3
Probiotic features of Lactobacillus strains isolated from Ragusano and Pecorino Siciliano cheeses.从拉古萨诺奶酪和西西里羊乳干酪中分离出的乳杆菌菌株的益生菌特性。
Food Microbiol. 2015 Sep;50:109-17. doi: 10.1016/j.fm.2015.03.010. Epub 2015 Apr 7.
4
Assessment of probiotic and technological properties of Bacillus spp. isolated from Burkinabe Soumbala.评估来自布基纳法索苏姆巴拉的芽孢杆菌属的益生菌和技术特性。
BMC Microbiol. 2022 Sep 29;22(1):228. doi: 10.1186/s12866-022-02642-7.
5
In vitro properties of potential probiotic lactic acid bacteria originating from Ghanaian indigenous fermented milk products.源自加纳本土发酵乳制品的潜在益生菌乳酸菌的体外特性。
World J Microbiol Biotechnol. 2021 Feb 17;37(3):52. doi: 10.1007/s11274-021-03013-6.
6
Characterization of some potentially probiotic Lactobacillus strains isolated from Iranian native chickens.从伊朗本土鸡中分离出的一些潜在益生菌乳酸杆菌菌株的特性分析。
J Gen Appl Microbiol. 2014;60(6):215-21. doi: 10.2323/jgam.60.215.
7
In-vitro evaluation of the probiotic potential and the fermentation profile of Pediococcus and Enterococcus strains isolated from Moroccan camel milk.从摩洛哥骆驼奶中分离出的嗜热栖热放线菌和肠球菌菌株的益生菌潜力及发酵特性的体外评估
Arch Microbiol. 2023 Mar 27;205(4):144. doi: 10.1007/s00203-023-03489-w.
8
Assessment of the Safety and Potential Probiotic Characteristics of Three Strains Isolated From the Intestine of Hybrid Grouper (♀ × ♂).对从杂交石斑鱼(♀×♂)肠道分离出的三株菌株的安全性及潜在益生菌特性的评估
Front Vet Sci. 2021 May 28;8:675962. doi: 10.3389/fvets.2021.675962. eCollection 2021.
9
In Vitro Evaluation of Probiotic Potential and Safety Assessment of Lactobacillus mucosae Strains Isolated from Donkey's Lactation.从驴乳中分离的黏液乳杆菌菌株的益生菌潜力体外评估及安全性评价
Probiotics Antimicrob Proteins. 2020 Sep;12(3):1045-1056. doi: 10.1007/s12602-019-09610-0.
10
Probiotic potential comparison of Lactobacillus strains isolated from Iranian traditional food products and human feces with standard probiotic strains.伊朗传统食品和人粪便中分离的乳酸菌与标准益生菌菌株的益生菌潜力比较。
J Sci Food Agric. 2019 Dec;99(15):6680-6688. doi: 10.1002/jsfa.9945. Epub 2019 Sep 17.

引用本文的文献

1
In Vitro Characterization and Safety Assessment of , and Isolated from the Small Intestine of Broiler Breeders.从肉种鸡小肠中分离出的[具体物质1]、[具体物质2]和[具体物质3]的体外特性及安全性评估
Microorganisms. 2025 May 27;13(6):1231. doi: 10.3390/microorganisms13061231.
2
Characterization and Assessment of Native Lactic Acid Bacteria from Broiler Intestines for Potential Probiotic Properties.肉鸡肠道中天然乳酸菌的特性鉴定及其潜在益生菌特性评估
Microorganisms. 2024 Apr 7;12(4):749. doi: 10.3390/microorganisms12040749.
3
Genomic characterization and probiotic potential of lactic acid bacteria isolated from feces of guinea pig ().

本文引用的文献

1
Yeasts from Iranian traditional milk kefir samples: isolation, molecular identification and their potential probiotic properties.伊朗传统牛奶克菲尔样品中的酵母:分离、分子鉴定及其潜在的益生菌特性。
Lett Appl Microbiol. 2022 Nov;75(5):1264-1274. doi: 10.1111/lam.13794. Epub 2022 Aug 6.
2
Probiotics, Prebiotics, and Phytogenic Substances for Optimizing Gut Health in Poultry.用于优化家禽肠道健康的益生菌、益生元及植物源物质
Microorganisms. 2022 Feb 8;10(2):395. doi: 10.3390/microorganisms10020395.
3
Molecular insights into probiotic mechanisms of action employed against intestinal pathogenic bacteria.
从豚鼠粪便中分离的乳酸菌的基因组特征及益生菌潜力。
Open Vet J. 2024 Feb;14(2):716-729. doi: 10.5455/OVJ.2024.v14.i2.12. Epub 2024 Feb 29.
对益生菌作用于肠道致病菌的机制的分子见解。
Gut Microbes. 2020 Nov 9;12(1):1831339. doi: 10.1080/19490976.2020.1831339.
4
Isolation, selection and evaluation of Bacillus spp. as potential multi-mode probiotics for poultry.芽孢杆菌属作为家禽潜在多模式益生菌的分离、筛选与评价
J Gen Appl Microbiol. 2020 Sep 30;66(4):228-238. doi: 10.2323/jgam.2019.11.002. Epub 2020 Jun 12.
5
Evaluation of an Industrial Soybean Byproduct for the Potential Development of a Probiotic Animal Feed Additive with Bacillus Species.评估一种工业用大豆副产物,以开发具有芽孢杆菌属的益生菌动物饲料添加剂的潜力。
Probiotics Antimicrob Proteins. 2020 Sep;12(3):1173-1178. doi: 10.1007/s12602-019-09619-5.
6
Isolation, characterization, and assessment of lactic acid bacteria toward their selection as poultry probiotics.乳酸菌的分离、鉴定及其作为家禽益生菌的选择评估。
BMC Microbiol. 2019 Nov 12;19(1):253. doi: 10.1186/s12866-019-1626-0.
7
Isolation and characterization of spp. strains as potential probiotics for poultry.从禽类中分离和鉴定 spp.菌株作为潜在益生菌。
Can J Microbiol. 2019 Oct;65(10):762-774. doi: 10.1139/cjm-2019-0019. Epub 2019 Aug 8.
8
Characterization, the Antioxidant and Antimicrobial Activity of Exopolysaccharide Isolated from Poultry Origin Lactobacilli.从禽源乳酸菌中分离得到的胞外多糖的特性、抗氧化和抗菌活性。
Probiotics Antimicrob Proteins. 2019 Dec;11(4):1132-1142. doi: 10.1007/s12602-018-9494-8.
9
Isolation and Characterization of Potentially Probiotic Bacterial Strains from Mice: Proof of Concept for Personalized Probiotics.从小鼠中分离和鉴定潜在益生菌菌株:个性化益生菌的概念验证。
Nutrients. 2018 Nov 5;10(11):1684. doi: 10.3390/nu10111684.
10
Probiotic potency of Lactobacillus plantarum KX519413 and KX519414 isolated from honey bee gut.从蜜蜂肠道分离出的植物乳杆菌KX519413和KX519414的益生菌效力。
FEMS Microbiol Lett. 2018 Feb 1;365(4). doi: 10.1093/femsle/fnx285.