Suppr超能文献

采用孟德尔随机化法探究社会经济地位与肺癌之间的直接关联或中介关联。

Mendelian randomization to explore the direct or mediating associations between socioeconomic status and lung cancer.

作者信息

Wu Hong, Yang Jing, Wang Hui, Li Lei

机构信息

Department of Oncology, Binzhou Medical University Hospital, Binzhou, Shandong, China.

Department of Research, Guangxi Medical University Cancer Hospital, Nanning, Guangxi, China.

出版信息

Front Oncol. 2023 May 3;13:1143059. doi: 10.3389/fonc.2023.1143059. eCollection 2023.

Abstract

OBJECTIVE

The purpose of this study was to verify whether there are direct or mediated causal associations between socioeconomic status and lung cancer.

METHODS

Pooled statistics were obtained from corresponding genome-wide association studies. The inverse-variance weighted, weighted median, MR-Egger, MR-PRESSO and contamination-mixture methods were used as supplements to Mendelian randomization (MR) statistical analysis. Cochrane's Q value and the MR-Egger intercept were used for sensitivity analysis.

RESULTS

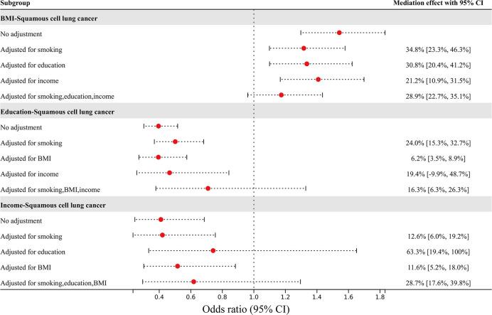
In the univariate MR analysis, household income and education had protective effects on overall lung cancer (income: = 5.46×10; education: = 4.79×10) and squamous cell lung cancer (income: = 2.67×10; education: = 1.42×10). Smoking and BMI had adverse effects on overall lung cancer (smoking: = 2.10×10; BMI: = 5.67×10) and squamous cell lung cancer (smoking: = 5.02×10; BMI: = 2.03×10). Multivariate MR analysis found that smoking and education were independent risk factors for overall lung cancer (smoking: = 1.96×10; education: = 3.11×10), while smoking was an independent risk factor for squamous cell lung cancer ( = 2.35×10). Smoking, education, and household income mediate the effect of BMI on overall lung cancer (smoking 50.0%, education 49.2%, income 25.3%) and squamous cell lung cancer (smoking 34.8%, education 30.8%, income 21.2%). Smoking, education, and BMI mediate the effect of income on overall lung cancer (smoking 13.9%, education 54.8%, BMI 9.4%) and squamous cell lung cancer (smoking 12.6%, education 63.3%, BMI 11.6%). Smoking, BMI, and income mediate the effect of education on squamous cell lung cancer (smoking 24.0%, BMI 6.2%, income 19.4%).

CONCLUSION

Income, education, BMI, and smoking are causally associated with both overall lung cancer and squamous cell lung cancer. Smoking and education are independent association factors for overall lung cancer, while smoking is an independent association factor for squamous cell lung cancer. Smoking and education also play important mediating roles in overall lung cancer and squamous cell lung cancer. No causal relationship was found between multiple risk factors associated with socioeconomic status and lung adenocarcinoma.

摘要

目的

本研究旨在验证社会经济地位与肺癌之间是否存在直接或间接的因果关联。

方法

从相应的全基因组关联研究中获取汇总统计数据。采用逆方差加权法、加权中位数法、MR-Egger法、MR-PRESSO法和污染混合法作为孟德尔随机化(MR)统计分析的补充方法。使用Cochrane's Q值和MR-Egger截距进行敏感性分析。

结果

在单变量MR分析中,家庭收入和教育程度对总体肺癌(收入:= 5.46×10;教育程度:= 4.79×10)和肺鳞状细胞癌具有保护作用(收入:= 2.67×10;教育程度:= 1.42×10)。吸烟和体重指数(BMI)对总体肺癌(吸烟:= 2.10×10;BMI:= 5.67×10)和肺鳞状细胞癌具有不良影响(吸烟:= 5.02×10;BMI:= 2.03×10)。多变量MR分析发现,吸烟和教育程度是总体肺癌的独立危险因素(吸烟:= 1.96×10;教育程度:= 3.11×10),而吸烟是肺鳞状细胞癌的独立危险因素(= 2.35×10)。吸烟、教育程度和家庭收入介导了BMI对总体肺癌(吸烟50.0%,教育程度49.2%,收入25.3%)和肺鳞状细胞癌(吸烟34.8%,教育程度30.8%,收入21.2%)的影响。吸烟、教育程度和BMI介导了收入对总体肺癌(吸烟13.9%,教育程度54.8%,BMI 9.4%)和肺鳞状细胞癌(吸烟12.6%,教育程度63.3%,BMI 11.6%)的影响。吸烟、BMI和收入介导了教育程度对肺鳞状细胞癌的影响(吸烟24.0%,BMI 6.2%,收入19.4%)。

结论

收入、教育程度、BMI和吸烟与总体肺癌和肺鳞状细胞癌均存在因果关联。吸烟和教育程度是总体肺癌的独立关联因素,而吸烟是肺鳞状细胞癌的独立关联因素。吸烟和教育程度在总体肺癌和肺鳞状细胞癌中也发挥着重要的中介作用。未发现与社会经济地位相关的多个危险因素与肺腺癌之间存在因果关系。

https://cdn.ncbi.nlm.nih.gov/pmc/blobs/88de/10189779/54ede8737d10/fonc-13-1143059-g001.jpg

文献AI研究员

20分钟写一篇综述,助力文献阅读效率提升50倍。

立即体验

用中文搜PubMed

大模型驱动的PubMed中文搜索引擎

马上搜索

文档翻译

学术文献翻译模型,支持多种主流文档格式。

立即体验