Suppr超能文献

发病年龄、糖尿病病程与糖尿病患者心血管疾病风险:一项横断面研究。

Age at diagnosis, diabetes duration and the risk of cardiovascular disease in patients with diabetes mellitus: a cross-sectional study.

机构信息

Department of Endocrinology, First Affiliated Hospital of Anhui Medical University, Hefei, China.

出版信息

Front Endocrinol (Lausanne). 2023 May 8;14:1131395. doi: 10.3389/fendo.2023.1131395. eCollection 2023.

Abstract

BACKGROUND

The purpose of the study was to evaluate characteristics and risk of cardiovascular disease (CVD) according to age at diagnosis and disease duration among adults with diabetes mellitus (DM).

METHODS

The association between age at diagnosis, diabetes duration and CVD were examined in 1,765 patients with DM. High risk of estimated ten-year atherosclerotic cardiovascular disease (ASCVD) was performed by the Prediction for ASCVD Risk in China (China-PAR) project. Data were compared with analysis of variance and χ2 test, respectively. Multiple logistic regression was used to determine the risk factors of CVD.

RESULTS

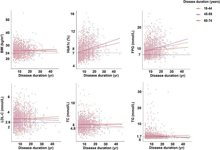
The mean age at diagnosis (± standard deviation) was 52.91 ± 10.25 years and diabetes duration was 8.06 ± 5.66 years. Subjects were divided into early-onset DM group (≤43 years), late-onset DM group (44 to 59 years), elderly-onset DM group (≥60 years) according to age at diagnosis. Diabetes duration was classified by 5 years. Both early-onset and longest diabetes duration (>15 years) had prominent hyperglycaemia. Diabetes duration was associated with the risk of ischemic stroke (odds ratio (OR), 1.091) and coronary artery disease (OR, 1.080). Early-onset group (OR, 2.323), and late-onset group (OR, 5.199), and hypertension (OR, 2.729) were associated with the risk of ischemic stroke. Late-onset group (OR, 5.001), disease duration (OR, 1.080), and hypertension (OR, 2.015) and hyperlipidemia (OR, 1.527) might increase the risk of coronary artery disease. Aged over 65 (OR, 10.192), central obesity (OR, 1.992), hypertension (OR, 18.816), cardiovascular drugs (OR, 5.184), antihypertensive drugs (OR, 2.780), and participants with disease duration >15 years (OR, 1.976) were associated with the high risk of estimated ten-year ASCVD in participants with DM.

CONCLUSION

Age at diagnosis, diabetes duration, hypertension and hyperlipidemia were independent risks of CVD. Longest (>15 years) diabetes duration increased the high risk of ten-year ASCVD prediction among Chinese patients with DM. It's urgent to emphasize the importance of age at diagnosis and diabetes duration to improve primary complication of diabetes.

摘要

背景

本研究旨在评估根据成年糖尿病患者的诊断年龄和疾病持续时间,心血管疾病(CVD)的特征和风险。

方法

在 1765 名糖尿病患者中,研究了诊断年龄、糖尿病持续时间与 CVD 之间的关系。采用中国动脉粥样硬化性心血管疾病(ASCVD)风险预测(China-PAR)项目评估高危 10 年 ASCVD 风险。分别采用方差分析和卡方检验进行数据比较。采用多因素逻辑回归确定 CVD 的危险因素。

结果

诊断时的平均年龄(±标准差)为 52.91±10.25 岁,糖尿病持续时间为 8.06±5.66 年。根据诊断年龄,受试者分为早发糖尿病组(≤43 岁)、晚发糖尿病组(44-59 岁)和老年糖尿病组(≥60 岁)。糖尿病持续时间以 5 年为一个阶段。早发和最长糖尿病持续时间(>15 年)均有明显的高血糖。糖尿病持续时间与缺血性卒中(比值比[OR],1.091)和冠心病(OR,1.080)的风险相关。早发组(OR,2.323)、晚发组(OR,5.199)和高血压(OR,2.729)与缺血性卒中的风险相关。晚发组(OR,5.001)、病程(OR,1.080)、高血压(OR,2.015)和高脂血症(OR,1.527)可能增加冠心病的风险。年龄大于 65 岁(OR,10.192)、中心性肥胖(OR,1.992)、高血压(OR,18.816)、心血管药物(OR,5.184)、降压药物(OR,2.780)和病程>15 年(OR,1.976)与 DM 患者的 10 年 ASCVD 高危相关。

结论

诊断年龄、糖尿病持续时间、高血压和高脂血症是 CVD 的独立危险因素。最长(>15 年)的糖尿病病程增加了中国糖尿病患者 10 年 ASCVD 预测的高危风险。强调诊断年龄和糖尿病持续时间的重要性,以改善糖尿病的主要并发症迫在眉睫。

https://cdn.ncbi.nlm.nih.gov/pmc/blobs/3420/10200881/9fe33ffcd612/fendo-14-1131395-g001.jpg

文献检索

告别复杂PubMed语法,用中文像聊天一样搜索,搜遍4000万医学文献。AI智能推荐,让科研检索更轻松。

立即免费搜索

文件翻译

保留排版,准确专业,支持PDF/Word/PPT等文件格式,支持 12+语言互译。

免费翻译文档

深度研究

AI帮你快速写综述,25分钟生成高质量综述,智能提取关键信息,辅助科研写作。

立即免费体验