Suppr超能文献

不同比例条件下小麦秸秆青贮发酵特性及微生物群落研究

Investigation on Fermentation Characteristics and Microbial Communities of Wheat Straw Silage with Different Proportion .

机构信息

Henan Key Laboratory Ion Beam Bioengineering, School of Agricultural Sciences, Zhengzhou University, Zhengzhou 450052, China.

Plateau Livestock Genetic Resources Protection and Innovative Utilization Key Laboratory of Qinghai Province, Key Laboratory of Animal Genetics and Breeding on Tibetan Plateau, Ministry of Agriculture and Rural Affairs, Qinghai Academy of Animal and Veterinary Medicine, Qinghai University, Xining 810016, China.

出版信息

Toxins (Basel). 2023 May 11;15(5):330. doi: 10.3390/toxins15050330.

Abstract

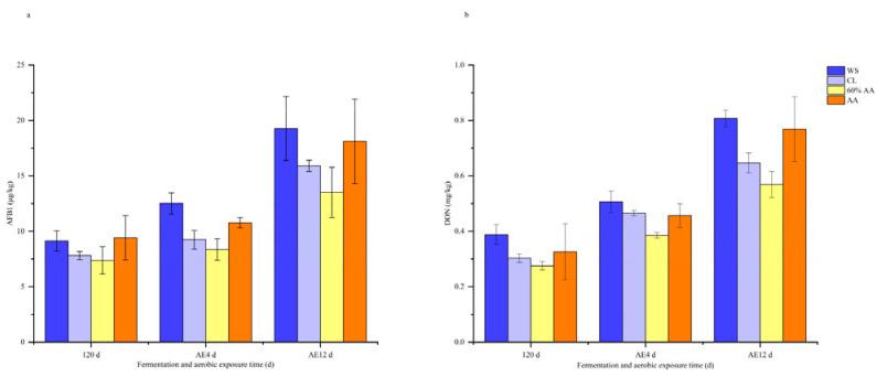
Mycotoxins, secondary metabolites of fungi, are a major obstacle to the utilization of animal feed for various reasons. Wheat straw (WS) is hollow, and miscellaneous bacteria can easy attach to its surface; the secondary fermentation frequency after silage is high, and there is a risk of mycotoxin poisoning. In this study, a storage fermentation process was used to preserve and enhance fermentation quality in WS through the addition of Artemisia argyi (AA), which is an effective method to use WS resources and enhance aerobic stability. The storage fermentation of WS treated with AA had lower pH and mycotoxin (AFB1 and DON) values than the control due to rapid changes in microbial counts, especially in the 60% AA groups. Meanwhile, the addition of 60% AA improved anaerobic fermentation profiles, showing higher lactic acid contents, leading to increased efficiency of lactic acid fermentation. A background microbial dynamic study indicated that the addition of 60% AA improved the fermentation and aerobic exposure processes, decreased microbial richness, enriched abundance, and reduced and abundances. In conclusion, 60% AA treatment could improve the quality by increase fermentation quality and improve the aerobic stability of WS silage by enhancing the dominance of desirable , inhibiting the growth of undesirable microorganisms, especially fungi, and reducing the content of mycotoxins.

摘要

真菌次生代谢物霉菌毒素是由于各种原因利用动物饲料的主要障碍。小麦秸秆(WS)是空心的,各种杂菌容易附着在其表面;青贮后二次发酵频率较高,存在霉菌毒素中毒的风险。本研究采用贮藏发酵工艺,通过添加艾蒿(AA)来保存和提高 WS 的发酵品质,这是利用 WS 资源和提高好氧稳定性的有效方法。由于微生物数量的快速变化,特别是在 60%AA 组中,用 AA 处理的 WS 的贮藏发酵具有较低的 pH 值和霉菌毒素(AFB1 和 DON)值。同时,添加 60%AA 提高了厌氧发酵曲线,表现出更高的乳酸含量,从而提高了乳酸发酵的效率。背景微生物动态研究表明,添加 60%AA 改善了发酵和有氧暴露过程,降低了微生物丰富度,增加了丰度,减少了 和 丰度。总之,60%AA 处理可以通过提高发酵质量和改善 WS 青贮的好氧稳定性来改善质量,通过增强理想的优势,抑制不良微生物,特别是真菌的生长,降低霉菌毒素含量。

https://cdn.ncbi.nlm.nih.gov/pmc/blobs/886b/10221394/c1f2c1ad3978/toxins-15-00330-g001.jpg

文献AI研究员

20分钟写一篇综述,助力文献阅读效率提升50倍。

立即体验

用中文搜PubMed

大模型驱动的PubMed中文搜索引擎

马上搜索

文档翻译

学术文献翻译模型,支持多种主流文档格式。

立即体验