Mu Hongyan, Xue Sophia, Sun Qingrui, Shi John, Zhang Danyang, Wang Deda, Wei Jianteng
College of Food Science and Engineering, Qingdao Agricultural University, Qingdao 266109, China.
Guelph Research and Development Center, Agriculture and Agri-Food Canada, Guelph, ON N1G 5C9, Canada.
Foods. 2023 May 22;12(10):2087. doi: 10.3390/foods12102087.
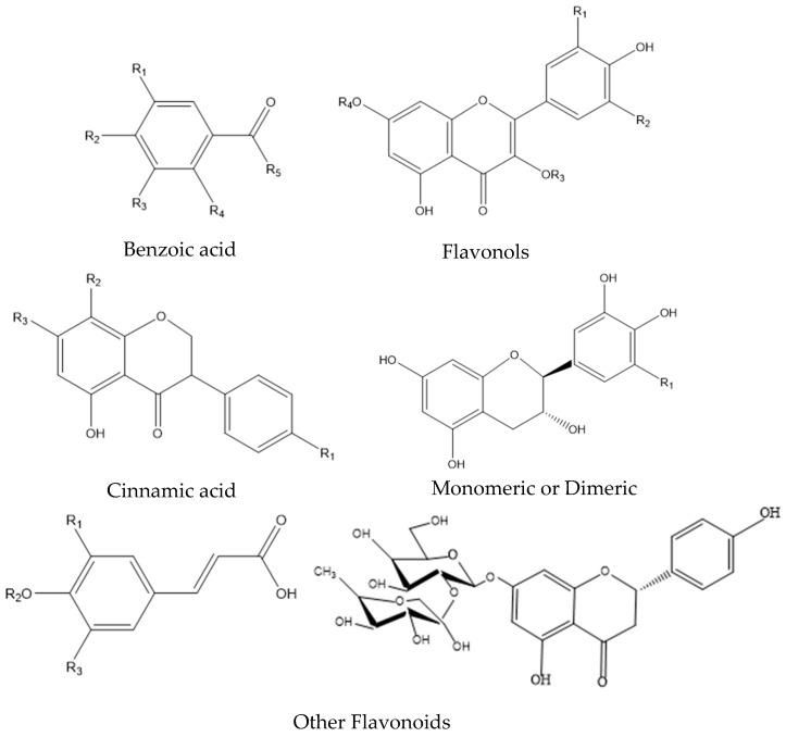
Quinoa ( Wild.) is a pseudo-grain that belongs to the amaranth family and has gained attention due to its exceptional nutritional properties. Compared to other grains, quinoa has a higher protein content, a more balanced amino acid profile, unique starch features, higher levels of dietary fiber, and a variety of phytochemicals. In this review, the physicochemical and functional properties of the major nutritional components in quinoa are summarized and compared to those of other grains. Our review also highlights the technological approaches used to improve the quality of quinoa-based products. The challenges of formulating quinoa into food products are addressed, and strategies for overcoming these challenges through technological innovation are discussed. This review also provides examples of common applications of quinoa seeds. Overall, the review underscores the potential benefits of incorporating quinoa into the diet and the importance of developing innovative approaches to enhance the nutritional quality and functionality of quinoa-based products.
藜麦(野生种)是一种属于苋科的假谷物,因其卓越的营养特性而受到关注。与其他谷物相比,藜麦蛋白质含量更高,氨基酸谱更均衡,具有独特的淀粉特性,膳食纤维含量更高,还含有多种植物化学物质。在这篇综述中,总结了藜麦主要营养成分的物理化学和功能特性,并与其他谷物进行了比较。我们的综述还强调了用于提高藜麦基产品质量的技术方法。探讨了将藜麦制成食品的挑战,并讨论了通过技术创新克服这些挑战的策略。本综述还提供了藜麦种子常见应用的实例。总体而言,该综述强调了将藜麦纳入饮食的潜在益处,以及开发创新方法以提高藜麦基产品营养质量和功能的重要性。