Suppr超能文献

视盘玻璃疣患者视网膜神经节细胞和视觉通路的形态功能评估:可见的浅层玻璃疣高度作为损伤的标志物

Morpho-Functional Assessment of Retinal Ganglion Cells and Visual Pathways in Patients with Optic Disc Drusen: Superficial Drusen Visible Height as a Marker of Impairment.

作者信息

Antonelli Giulio, Ziccardi Lucia, Barbano Lucilla, Di Renzo Antonio, Parisi Vincenzo

机构信息

IRCCS-Fondazione Bietti, 00198 Rome, Italy.

出版信息

J Clin Med. 2023 May 12;12(10):3432. doi: 10.3390/jcm12103432.

Abstract

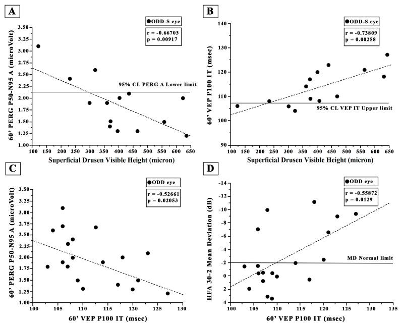
The aim of this study was to assess the morpho-functional involvement of the retinal ganglion cells (RGCs) and of the visual pathways in patients with superficial (ODD-S) or deep (ODD-D) optic disc drusen. This study enrolled 17 patients with ODD (mean age of 59.10 ± 12.68 years) providing 19 eyes and 20 control subjects (mean age 58.62 ± 8.77 years) providing 20 eyes. We evaluated the following: best-corrected visual acuity, visual field mean deviation (MD), the amplitude (A) of Pattern Electroretinogram (PERG), the implicit time (IT) and A of Visual Evoked Potentials (VEPs), retinal nerve fiber layer thickness (RNFL-T) and ganglion cell thickness (GC-T). In ODD-S eyes, the drusen visible height was measured. ODD-D and ODD-S were detected in 26.3% and 73.7% of ODD eyes, respectively. Significantly ( < 0.01) reduced MD, PERG A, VEP amplitude, RNFL-T and GC-T values and significantly ( < 0.01) increased VEP IT values were found in the ODD Group as compared to the Control one. In the ODD Group, no significant correlation ( > 0.01) between PERG As and VEP ITs was found. In ODD-S, the visible height was significantly correlated ( < 0.01) with reduced MD, PERG As and RNFL-T and with increased PSD and VEP IT values. Our findings suggest that ODD might induce morpho-functional changes in RGCs and their fibers and an unrelated visual pathway dysfunction leading or not leading to visual field defects. The observed morpho-functional impairment should be ascribed to an alteration in retrograde (from the axons to the RGCs) and anterograde (from the RGCs up to the visual cortex) axoplasmic transport. In ODD-S eyes, a minimum visible height of 300 microns represented the threshold for the abnormalities, suggesting that "the higher the ODD, the worse the impairment".

摘要

本研究旨在评估表层(ODD-S)或深层(ODD-D)视盘玻璃疣患者视网膜神经节细胞(RGCs)和视觉通路的形态功能受累情况。本研究纳入了17例视盘玻璃疣患者(平均年龄59.10±12.68岁),共19只眼,以及20例对照者(平均年龄58.62±8.77岁),共20只眼。我们评估了以下指标:最佳矫正视力、视野平均偏差(MD)、图形视网膜电图(PERG)的振幅(A)、视觉诱发电位(VEPs)的潜伏期(IT)和A、视网膜神经纤维层厚度(RNFL-T)和神经节细胞厚度(GC-T)。在ODD-S组眼中,测量了可见玻璃疣的高度。ODD-D和ODD-S分别在26.3%和73.7%的视盘玻璃疣眼中被检测到。与对照组相比,ODD组的MD、PERG A、VEP振幅、RNFL-T和GC-T值显著降低(<0.01),VEP IT值显著升高(<0.01)。在ODD组中,未发现PERG A与VEP IT之间存在显著相关性(>0.01)。在ODD-S组中,可见高度与降低的MD、PERG A和RNFL-T以及升高的PSD和VEP IT值显著相关(<0.01)。我们的研究结果表明,视盘玻璃疣可能会引起RGCs及其纤维的形态功能变化以及与之无关的视觉通路功能障碍,进而导致或不导致视野缺损。观察到的形态功能损害应归因于逆行(从轴突到RGCs)和顺行(从RGCs到视觉皮层)轴浆运输的改变。在ODD-S组眼中,300微米的最小可见高度代表了异常的阈值,这表明“视盘玻璃疣越高,损害越严重”。

https://cdn.ncbi.nlm.nih.gov/pmc/blobs/ade0/10219210/cc813ce0e27f/jcm-12-03432-g001.jpg

文献AI研究员

20分钟写一篇综述,助力文献阅读效率提升50倍。

立即体验

用中文搜PubMed

大模型驱动的PubMed中文搜索引擎

马上搜索

文档翻译

学术文献翻译模型,支持多种主流文档格式。

立即体验