• 文献检索
  • 文档翻译
  • 深度研究
  • 学术资讯
  • Suppr Zotero 插件Zotero 插件
  • 邀请有礼
  • 套餐&价格
  • 历史记录
应用&插件
Suppr Zotero 插件Zotero 插件浏览器插件Mac 客户端Windows 客户端微信小程序
定价
高级版会员购买积分包购买API积分包
服务
文献检索文档翻译深度研究API 文档MCP 服务
关于我们
关于 Suppr公司介绍联系我们用户协议隐私条款
关注我们

Suppr 超能文献

核心技术专利:CN118964589B侵权必究
粤ICP备2023148730 号-1Suppr @ 2026

文献检索

告别复杂PubMed语法,用中文像聊天一样搜索,搜遍4000万医学文献。AI智能推荐,让科研检索更轻松。

立即免费搜索

文件翻译

保留排版,准确专业,支持PDF/Word/PPT等文件格式,支持 12+语言互译。

免费翻译文档

深度研究

AI帮你快速写综述,25分钟生成高质量综述,智能提取关键信息,辅助科研写作。

立即免费体验

白内障手术后视网膜脱离和视网膜裂孔的发生率及危险因素:IRIS®注册研究(视力智能研究)分析

Incidence and Risk Factors for Retinal Detachment and Retinal Tear after Cataract Surgery: IRIS® Registry (Intelligent Research in Sight) Analysis.

作者信息

Morano Michael J, Khan M Ali, Zhang Qiang, Halfpenny Colleen P, Wisner Douglas M, Sharpe James, Li Alexander, Tomaiuolo Maurizio, Haller Julia A, Hyman Leslie, Ho Allen C

机构信息

Sidney Kimmel Medical College, Philadelphia, Pennsylvania.

Wills Eye Hospital, Philadelphia, Pennsylvania.

出版信息

Ophthalmol Sci. 2023 Apr 18;3(4):100314. doi: 10.1016/j.xops.2023.100314. eCollection 2023 Dec.

DOI:10.1016/j.xops.2023.100314
PMID:37274012
原文链接:https://pmc.ncbi.nlm.nih.gov/articles/PMC10239011/
Abstract

OBJECTIVE

To report the incidence of and evaluate demographic, ocular comorbidities, and intraoperative factors for rhegmatogenous retinal detachment (RRD) and retinal tear (RT) after cataract surgery in the American Academy of Ophthalmology IRIS® Registry (Intelligent Research in Sight).

DESIGN

Retrospective cohort study.

PARTICIPANTS

Patients aged ≥ 40 years who underwent cataract surgery between 2014 and 2017.

METHODS

Multivariable logistic regression was used to evaluate demographic, comorbidity, and intraoperative factors associated with RRD and RT after cataract surgery.

MAIN OUTCOME MEASURES

Incidence and risk factors for RRD or RT within 1 year of cataract surgery.

RESULTS

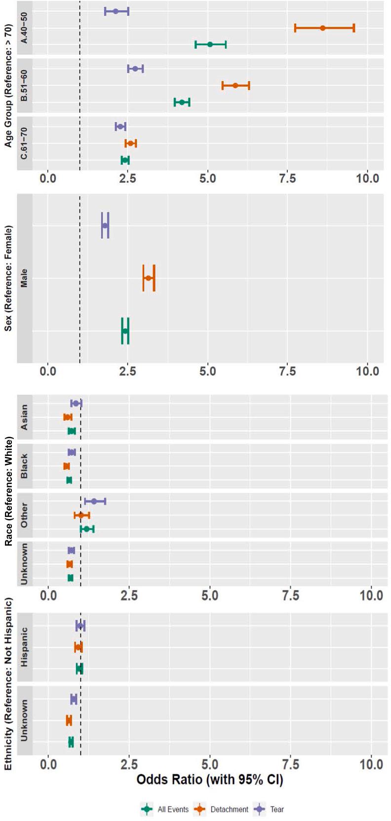
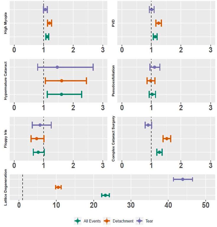
Of the 3 177 195 eyes of 1 983 712 patients included, 6690 (0.21%) developed RRD and 5489 (0.17%) developed RT without RRD within 1 year after cataract surgery. Multivariable logistic regression odds ratios (ORs) showed increased risk of RRD and RT, respectively, among men (OR 3.15; 95% confidence interval [CI], 2.99-3.32; < 0.001 and 1.79; 95% CI, 1.70-1.89; < 0.001), and younger ages compared with patients aged > 70, peaking at age 40 to 50 for RRD (8.61; 95% CI, 7.74-9.58; < 0.001) and age 50 to 60 for RT (2.74; 95% CI, 2.52-2.98; < 0.001). Increased odds of RRD were observed for procedure eyes with lattice degeneration (LD) (10.53; 95% CI, 9.82-11.28; < 0.001), hypermature cataract (1.61; 95% CI, 1.06-2.45;  = 0.03), complex cataract surgery (1.52; 95% CI, 1.4-1.66; < 0.001), posterior vitreous detachment (PVD) (1.24; 95% CI, 1.15-1.34; < 0.001), and high myopia (1.2; 95% CI, 1.14-1.27; < 0.001). Lattice degeneration conferred the highest odds of RT (43.86; 95% CI, 41.39-46.49; < 0.001).

CONCLUSION

In the IRIS Registry, RRD occurs in approximately 1 in 500 cataract surgeries in patients aged > 40 years within 1 year of surgery. The presence of LD conferred the highest odds for RRD and RT after surgery. Additional risk factors for RRD included male gender, younger age, hypermature cataract, PVD, and high myopia. These data may be useful during the informed consent process for cataract surgery and help identify patients at a higher risk of retinal complications.

FINANCIAL DISCLOSURES

The author(s) have no proprietary or commercial interest in any materials discussed in this article.

摘要

目的

在美国眼科学会IRIS®注册中心(智能视力研究)报告白内障手术后孔源性视网膜脱离(RRD)和视网膜裂孔(RT)的发生率,并评估其人口统计学、眼部合并症及术中因素。

设计

回顾性队列研究。

参与者

2014年至2017年间接受白内障手术的年龄≥40岁的患者。

方法

采用多变量逻辑回归分析评估白内障手术后与RRD和RT相关的人口统计学、合并症及术中因素。

主要观察指标

白内障手术后1年内RRD或RT的发生率及危险因素。

结果

纳入的1983712例患者的3177195只眼中,6690只(0.21%)在白内障手术后1年内发生RRD,5489只(0.17%)发生无RRD的RT。多变量逻辑回归优势比(OR)显示,男性发生RRD和RT的风险分别增加(OR 3.15;95%置信区间[CI],2.99 - 3.32;P < 0.001和1.79;95% CI,1.70 - 1.89;P < 0.001),与年龄>70岁的患者相比,年龄较小者风险增加,RRD在40至50岁达到峰值(8.61;95% CI,7.74 - 9.58;P < 0.001),RT在50至60岁达到峰值(2.74;95% CI,2.52 - 2.98;P < 0.001)。有格子样变性(LD)的手术眼发生RRD的几率增加(10.53;95% CI,9.82 - 11.28;P < 0.001),过熟期白内障(1.61;95% CI,1.06 - 2.45;P = 0.03)、复杂白内障手术(1.52;95% CI,1.4 - 1.66;P < 0.001)、玻璃体后脱离(PVD)(1.24;95% CI,1.15 - 1.34;P < 0.001)和高度近视(1.2;95% CI,1.14 - 1.27;P < 0.001)也增加RRD几率。格子样变性导致RT的几率最高(43.86;95% CI,41.39 - 46.49;P < 0.001)。

结论

在IRIS注册中心,年龄>40岁的患者中,白内障手术后1年内RRD的发生率约为每500例手术中有1例。LD的存在使手术后RRD和RT的几率最高。RRD的其他危险因素包括男性、年龄较小、过熟期白内障、PVD和高度近视。这些数据在白内障手术的知情同意过程中可能有用,并有助于识别视网膜并发症风险较高的患者。

财务披露

作者对本文讨论的任何材料均无专有或商业利益。

https://cdn.ncbi.nlm.nih.gov/pmc/blobs/d5bf/10239011/e367ea37beb5/gr4.jpg
https://cdn.ncbi.nlm.nih.gov/pmc/blobs/d5bf/10239011/b7314074e78f/gr1.jpg
https://cdn.ncbi.nlm.nih.gov/pmc/blobs/d5bf/10239011/0b50d01bfe3c/gr2.jpg
https://cdn.ncbi.nlm.nih.gov/pmc/blobs/d5bf/10239011/1d1f3bd6a1ba/gr3.jpg
https://cdn.ncbi.nlm.nih.gov/pmc/blobs/d5bf/10239011/e367ea37beb5/gr4.jpg
https://cdn.ncbi.nlm.nih.gov/pmc/blobs/d5bf/10239011/b7314074e78f/gr1.jpg
https://cdn.ncbi.nlm.nih.gov/pmc/blobs/d5bf/10239011/0b50d01bfe3c/gr2.jpg
https://cdn.ncbi.nlm.nih.gov/pmc/blobs/d5bf/10239011/1d1f3bd6a1ba/gr3.jpg
https://cdn.ncbi.nlm.nih.gov/pmc/blobs/d5bf/10239011/e367ea37beb5/gr4.jpg

相似文献

1
Incidence and Risk Factors for Retinal Detachment and Retinal Tear after Cataract Surgery: IRIS® Registry (Intelligent Research in Sight) Analysis.白内障手术后视网膜脱离和视网膜裂孔的发生率及危险因素:IRIS®注册研究(视力智能研究)分析
Ophthalmol Sci. 2023 Apr 18;3(4):100314. doi: 10.1016/j.xops.2023.100314. eCollection 2023 Dec.
2
Demographics and Seasonality of Retinal Detachment, Retinal Breaks, and Posterior Vitreous Detachment from the Intelligent Research in Sight Registry.来自视力智能研究注册库的视网膜脱离、视网膜裂孔和玻璃体后脱离的人口统计学特征与季节性
Ophthalmol Sci. 2022 Mar 18;2(2):100145. doi: 10.1016/j.xops.2022.100145. eCollection 2022 Jun.
3
Complications of Acute Posterior Vitreous Detachment.急性后玻璃体脱离的并发症。
Ophthalmology. 2022 Jan;129(1):67-72. doi: 10.1016/j.ophtha.2021.07.020. Epub 2021 Jul 27.
4
Timing of Delayed Retinal Pathology in Patients Presenting with Acute Posterior Vitreous Detachment in the IRIS® Registry (Intelligent Research in Sight).IRIS® 注册研究(智能研究在视野中)中表现为急性后玻璃体脱离的患者的视网膜病变延迟时间。
Ophthalmol Retina. 2023 Aug;7(8):713-720. doi: 10.1016/j.oret.2023.04.004. Epub 2023 Apr 18.
5
The predisposing pathology and clinical characteristics in the Scottish retinal detachment study.苏格兰视网膜脱离研究中的易患病理学和临床特征。
Ophthalmology. 2011 Jul;118(7):1429-34. doi: 10.1016/j.ophtha.2010.11.031. Epub 2011 May 10.
6
Vitreoretinopathy-Associated Pediatric Retinal Detachment Treatment Outcomes: IRIS® Registry (Intelligent Research in Sight) Analysis.玻璃体视网膜病变相关小儿视网膜脱离的治疗结果:IRIS® 注册研究(视力智能研究)分析
Ophthalmol Sci. 2023 Jan 21;3(3):100273. doi: 10.1016/j.xops.2023.100273. eCollection 2023 Sep.
7
PROPHYLACTIC TREATMENT OF LATTICE DEGENERATION IN FELLOW EYES AFTER REPAIR OF UNCOMPLICATED PRIMARY RHEGMATOGENOUS RETINAL DETACHMENT.单纯原发性孔源性视网膜脱离修复术后对侧眼格子样变性的预防性治疗。
Retina. 2024 Jan 1;44(1):63-70. doi: 10.1097/IAE.0000000000003908.
8
Fellow-Eye Retinal Detachment Risk as Stratified by Hyaloid Status on OCT.OCT 分层下的 Fellow-Eye 视网膜脱离风险。
Ophthalmology. 2023 Jun;130(6):624-630. doi: 10.1016/j.ophtha.2023.02.004. Epub 2023 Feb 10.
9
Retinal detachment after cataract surgery: a population-based study.白内障手术后视网膜脱离:一项基于人群的研究。
Acta Ophthalmol. 2022 Dec;100(8):e1595-e1599. doi: 10.1111/aos.15142. Epub 2022 Mar 25.
10
Predictors of Long-term Ophthalmic Complications after Closed Globe Injuries Using the Intelligent Research in Sight (IRIS®) Registry.利用视力智能研究(IRIS®)注册库预测闭合性眼球损伤后的长期眼科并发症
Ophthalmol Sci. 2022 Oct 28;3(1):100237. doi: 10.1016/j.xops.2022.100237. eCollection 2023 Mar.

引用本文的文献

1
Intraocular lens calculation for cataract surgery in high myopia: a case report of an extreme axial eyeball length of 35.7 mm.高度近视白内障手术的人工晶状体计算:一例眼轴长度达35.7mm的极端病例报告
Front Med (Lausanne). 2025 Jul 4;12:1450922. doi: 10.3389/fmed.2025.1450922. eCollection 2025.
2
Fundus Refraction Offset as a Personalized Biomarker for 12-Year Risk of Retinal Detachment.眼底屈光偏移作为视网膜脱离12年风险的个性化生物标志物
Invest Ophthalmol Vis Sci. 2025 Jul 1;66(9):1. doi: 10.1167/iovs.66.9.1.
3
Recurrent Rhegmatogenous Retinal Detachment: Characteristics, Risk Factors, and Outcomes.

本文引用的文献

1
American Academy of Ophthalmology Intelligent Research in Sight (IRIS®) Registry and the IRIS Registry Analytic Center Consortium.美国眼科学会视力智能研究(IRIS®)注册库及IRIS注册库分析中心联盟。
Ophthalmol Sci. 2022 Jan 8;2(1):100112. doi: 10.1016/j.xops.2022.100112. eCollection 2022 Mar.
2
Posterior Vitreous Detachment, Retinal Breaks, and Lattice Degeneration Preferred Practice Pattern®.玻璃体后脱离、视网膜裂孔和格子样变性首选实践模式®
Ophthalmology. 2020 Jan;127(1):P146-P181. doi: 10.1016/j.ophtha.2019.09.027. Epub 2019 Sep 25.
3
Retinal detachment following cataract phacoemulsification-a review of the literature.
复发性孔源性视网膜脱离:特征、危险因素及预后
Ther Clin Risk Manag. 2025 Apr 1;21:425-440. doi: 10.2147/TCRM.S506037. eCollection 2025.
4
A review of rhegmatogenous retinal detachment: past, present and future.孔源性视网膜脱离综述:过去、现在与未来
Wien Med Wochenschr. 2025 May;175(7-8):186-202. doi: 10.1007/s10354-025-01085-9. Epub 2025 Apr 4.
5
Human lens epithelial cells induce the inflammatory response when placed into the lens capsular bag model of posterior capsular opacification.当人晶状体上皮细胞被置于后囊膜混浊的晶状体囊袋模型中时,会引发炎症反应。
Mol Vis. 2024 Oct 8;30:348-367. eCollection 2024.
6
Investigating the impact of age and sex on cataract surgery complications and outcomes.研究年龄和性别对白内障手术并发症及预后的影响。
Sci Rep. 2025 Jan 7;15(1):1242. doi: 10.1038/s41598-024-84382-4.
7
Refractive lens exchange - the evidence behind the practise.屈光性晶状体置换术——该手术背后的证据
Eye (Lond). 2025 Feb;39(2):208-209. doi: 10.1038/s41433-024-03478-3. Epub 2024 Nov 14.
8
Complications of high myopia: An update from clinical manifestations to underlying mechanisms.高度近视的并发症:从临床表现到潜在机制的最新进展
Adv Ophthalmol Pract Res. 2024 Jun 21;4(3):156-163. doi: 10.1016/j.aopr.2024.06.003. eCollection 2024 Aug-Sep.
9
Retinal detachment.视网膜脱离。
Nat Rev Dis Primers. 2024 Mar 14;10(1):18. doi: 10.1038/s41572-024-00501-5.
10
Are there sex-based disparities in cataract surgery?白内障手术存在基于性别的差异吗?
Int J Ophthalmol. 2024 Jan 18;17(1):137-143. doi: 10.18240/ijo.2024.01.19. eCollection 2024.
白内障超声乳化术后视网膜脱离——文献复习。
Eye (Lond). 2020 Apr;34(4):616-631. doi: 10.1038/s41433-019-0575-z. Epub 2019 Oct 1.
4
Incidence and risk factors for retinal detachment after cataract surgery in Korea: a nationwide population-based study from 2011 to 2015.韩国白内障手术后视网膜脱离的发病率及危险因素:一项基于2011年至2015年全国人口的研究
Graefes Arch Clin Exp Ophthalmol. 2019 Oct;257(10):2193-2202. doi: 10.1007/s00417-019-04423-x. Epub 2019 Aug 6.
5
Performance Rates Measured in the American Academy of Ophthalmology IRIS Registry (Intelligent Research in Sight).在美国眼科学会IRIS注册中心(视力智能研究)测量的执行率。
Ophthalmology. 2018 May;125(5):782-784. doi: 10.1016/j.ophtha.2017.11.033. Epub 2018 Jan 17.
6
The 2016 American Academy of Ophthalmology IRIS Registry (Intelligent Research in Sight) Database: Characteristics and Methods.2016 年美国眼科学会虹膜注册研究(智能视野研究)数据库:特征和方法。
Ophthalmology. 2018 Aug;125(8):1143-1148. doi: 10.1016/j.ophtha.2017.12.001. Epub 2018 Jan 17.
7
Cataract in the Adult Eye Preferred Practice Pattern®.《成人眼部白内障首选诊疗模式》
Ophthalmology. 2017 Feb;124(2):P1-P119. doi: 10.1016/j.ophtha.2016.09.027. Epub 2016 Oct 13.
8
Risk factors for retinal detachment following cataract surgery: the impact of posterior capsular rupture.白内障手术后视网膜脱离的危险因素:后囊破裂的影响。
Br J Ophthalmol. 2016 Nov;100(11):1461-1465. doi: 10.1136/bjophthalmol-2015-307729. Epub 2016 Feb 8.
9
Incidence, Risk Factors, and Impact of Age on Retinal Detachment after Cataract Surgery in France: A National Population Study.法国白内障手术后视网膜脱离的发生率、危险因素和年龄影响:一项全国性人群研究。
Ophthalmology. 2015 Nov;122(11):2179-85. doi: 10.1016/j.ophtha.2015.07.014. Epub 2015 Aug 13.
10
Retinal detachment.视网膜脱离
BMJ Clin Evid. 2014 Mar 3;2014:0710.