Suppr超能文献

肠道微生物群和微小RNA在蔓越莓抗炎作用中的作用:从临床前研究到临床研究

The role of intestinal microbiota and microRNAs in the anti-inflammatory effects of cranberry: from pre-clinical to clinical studies.

作者信息

Taibi Amel, Lofft Zoe, Laytouni-Imbriaco Bianca, Comelli Elena Maria

机构信息

Department of Nutritional Sciences, University of Toronto, Toronto, ON, Canada.

Joannah and Brian Lawson Centre for Child Nutrition, University of Toronto, Toronto, ON, Canada.

出版信息

Front Nutr. 2023 May 23;10:1092342. doi: 10.3389/fnut.2023.1092342. eCollection 2023.

Abstract

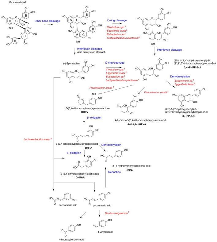
Cranberries have known anti-inflammatory properties, which extend their benefits in the context of several chronic diseases. These benefits highly rely on the polyphenol profile of cranberries, one of few foods rich in A-type proanthocyanidin (PAC). A-type PAC comprises flavan-3-ol subunits with an additional interflavan ether bond in the conformational structure of the molecule, separating them from the more commonly found B-type PAC. PACs with a degree of polymerization higher than three are known to reach the colon intact, where they can be catabolyzed by the gut microbiota and biotransformed into lower molecular weight organic acids that are available for host absorption. Gut microbiota-derived metabolites have garnered much attention in the past decade as mediators of the health effects of parent compounds. Though, the mechanisms underlying this phenomenon remain underexplored. In this review, we highlight emerging evidence that postulates that polyphenols, including ones derived from cranberries, and their metabolites could exert anti-inflammatory effects by modulating host microRNAs. Our review first describes the chemical structure of cranberry PACs and a pathway for how they are biotransformed by the gut microbiota. We then provide a brief overview of the benefits of microbial metabolites of cranberry in the intestinal tract, at homeostasis and in inflammatory conditions. Finally, we discuss the role of microRNAs in intestinal health and in response to cranberry PAC and how they could be used as targets for the maintenance of intestinal homeostasis. Most of this research is pre-clinical and we recognize that conducting clinical trials in this context has been hampered by the lack of reliable biomarkers. Our review discusses the use of miRNA as biomarkers in this context.

摘要

蔓越莓具有抗炎特性,这使其在多种慢性疾病中具有益处。这些益处高度依赖于蔓越莓的多酚成分,蔓越莓是少数富含A型原花青素(PAC)的食物之一。A型PAC由黄烷-3-醇亚基组成,在分子的构象结构中具有额外的黄烷间醚键,这使其与更常见的B型PAC有所不同。已知聚合度高于三的PAC可以完整地到达结肠,在那里它们可以被肠道微生物群分解代谢,并生物转化为可供宿主吸收的低分子量有机酸。在过去十年中,肠道微生物群衍生的代谢产物作为母体化合物健康效应的介质受到了广泛关注。然而,这一现象背后的机制仍未得到充分探索。在这篇综述中,我们强调了新出现的证据,这些证据假设多酚,包括来自蔓越莓的多酚及其代谢产物,可以通过调节宿主微小RNA发挥抗炎作用。我们的综述首先描述了蔓越莓PAC的化学结构以及它们被肠道微生物群生物转化的途径。然后,我们简要概述了蔓越莓微生物代谢产物在肠道、稳态和炎症条件下的益处。最后,我们讨论了微小RNA在肠道健康以及对蔓越莓PAC的反应中的作用,以及它们如何作为维持肠道稳态的靶点。这项研究大多是临床前研究,我们认识到在这种情况下进行临床试验受到缺乏可靠生物标志物的阻碍。我们的综述讨论了在这种情况下将miRNA用作生物标志物的情况。

https://cdn.ncbi.nlm.nih.gov/pmc/blobs/3353/10242055/afec9f488c2d/fnut-10-1092342-g0001.jpg

文献检索

告别复杂PubMed语法,用中文像聊天一样搜索,搜遍4000万医学文献。AI智能推荐,让科研检索更轻松。

立即免费搜索

文件翻译

保留排版,准确专业,支持PDF/Word/PPT等文件格式,支持 12+语言互译。

免费翻译文档

深度研究

AI帮你快速写综述,25分钟生成高质量综述,智能提取关键信息,辅助科研写作。

立即免费体验