Suppr超能文献

通过工程化环糊精葡萄糖基转移酶提高甜菊苷 A 向糖基化甜菊醇糖苷的转化率,并增加短链糖基化甜菊醇糖苷的含量。

Engineering of cyclodextrin glycosyltransferase improves the conversion efficiency of rebaudioside A to glucosylated steviol glycosides and increases the content of short-chain glycosylated steviol glycoside.

机构信息

Department of Food Science and Nutrition, Zhejiang University, Hangzhou, 310058, China.

Key Laboratory of Food and Biological Engineering of Zhejiang Province, Research and Development Department, Hangzhou Wahaha Technology Co. Ltd, Hangzhou Wahaha Group Co. Ltd, Hangzhou, 310018, China.

出版信息

Microb Cell Fact. 2023 Jun 14;22(1):113. doi: 10.1186/s12934-023-02121-2.

Abstract

BACKGROUND

Compared with steviol glycosides, the taste of glucosylated steviol glycosides is better and more similar to that of sucrose. At present, cyclodextrin glucanotransferase (CGTase) is primarily used to catalyze the conversion of steviol glycosides to glucosylated steviol glycosides, with soluble starch serving as a glycosyl donor. The main disadvantages of enzymatic transglycosylation are the limited number of enzymes available, the low conversion rates that result in low yields, and the lack of selectivity in the degree of glycosylation of the products. In order to fill these gaps, the proteome of Alkalihalobacillus oshimensis (also named Bacillus oshimensis) was used for mining novel CGTases.

RESULTS

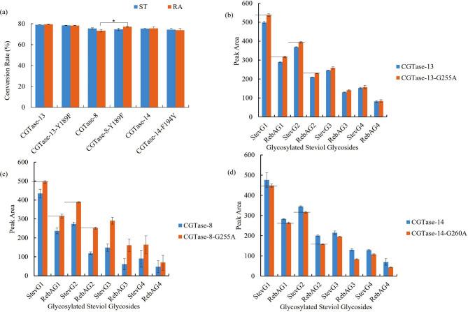
Here, CGTase-15, a novel β-CGTase with a wide pH adaptation range, was identified and characterized. The catalyzed product of CGTase-15 tasted better than that of the commercial enzyme (Toruzyme® 3.0 L). In addition, two amino acid sites, Y199 and G265, which play important roles in the conversion of steviol glycosides to glucosylated steviol glycosides were identified by site-directed mutagenesis. Compared with CGTase-15, CGTase-15-Y199F mutant significantly increased the conversion rate of rebaudioside A (RA) to glucosylated steviol glycosides. Compared with CGTase-15, the content of short-chain glycosylated steviol glycosides catalyzed by CGTase-15-G265A mutant was significantly increased. Moreover, the function of Y199 and G265 was verified in other CGTases. The above mutation pattern has also been applied to CGTase-13 (a CGTase discovered by our laboratory with great potential in the production of glycosylated steviol glycosides), confirming that the catalytic product of CGTase-13-Y189F/G255A mutant has a better taste than that of CGTase-13.

CONCLUSIONS

This is the first report on the improvement of the sensory profiles of glycosylated steviol glycosides through site-directed mutagenesis of CGTase, which is significant for the production of glycosylated steviol glycosides.

摘要

背景

与甜菊糖苷相比,葡萄糖基甜菊糖苷的口感更好,更接近蔗糖。目前,环糊精葡萄糖基转移酶(CGTase)主要用于催化甜菊糖苷转化为葡萄糖基甜菊糖苷,以可溶性淀粉作为糖基供体。酶法转糖苷的主要缺点是可用酶的数量有限、转化率低导致产量低以及产物的糖苷化程度缺乏选择性。为了弥补这些空白,使用巴氏芽孢杆菌(也称为解淀粉芽孢杆菌)的蛋白质组来挖掘新型 CGTase。

结果

在此,鉴定并表征了一种新型β-CGTase,CGTase-15,其具有较宽的 pH 适应范围。CGTase-15 催化的产物口感优于商业酶(Toruzyme®3.0L)。此外,通过定点突变鉴定了两个在甜菊糖苷转化为葡萄糖基甜菊糖苷过程中起重要作用的氨基酸位点,Y199 和 G265。与 CGTase-15 相比,CGTase-15-Y199F 突变体显著提高了莱鲍迪苷 A(RA)转化为葡萄糖基甜菊糖苷的转化率。与 CGTase-15 相比,CGTase-15-G265A 突变体催化的短链糖基化甜菊糖苷含量显著增加。此外,Y199 和 G265 的功能在其他 CGTase 中得到了验证。上述突变模式也已应用于 CGTase-13(一种由本实验室发现的在生产糖基化甜菊糖苷方面具有巨大潜力的 CGTase),证实 CGTase-13-Y189F/G255A 突变体的催化产物口感优于 CGTase-13。

结论

这是通过 CGTase 的定点突变改善糖基化甜菊糖苷感官特性的首次报道,对糖基化甜菊糖苷的生产具有重要意义。

https://cdn.ncbi.nlm.nih.gov/pmc/blobs/33c8/10265904/2e2030f3d6bc/12934_2023_2121_Fig7_HTML.jpg

文献AI研究员

20分钟写一篇综述,助力文献阅读效率提升50倍。

立即体验

用中文搜PubMed

大模型驱动的PubMed中文搜索引擎

马上搜索

文档翻译

学术文献翻译模型,支持多种主流文档格式。

立即体验