Suppr超能文献

脑电图α频段功能连接揭示了显性和隐性情绪面孔加工的不同皮质动态。

EEG alpha band functional connectivity reveals distinct cortical dynamics for overt and covert emotional face processing.

机构信息

Department of Developmental Psychology and Socialisation, University of Padova, Padua, Italy.

Padova Neuroscience Center (PNC), University of Padova, Padua, Italy.

出版信息

Sci Rep. 2023 Jun 19;13(1):9951. doi: 10.1038/s41598-023-36860-4.

Abstract

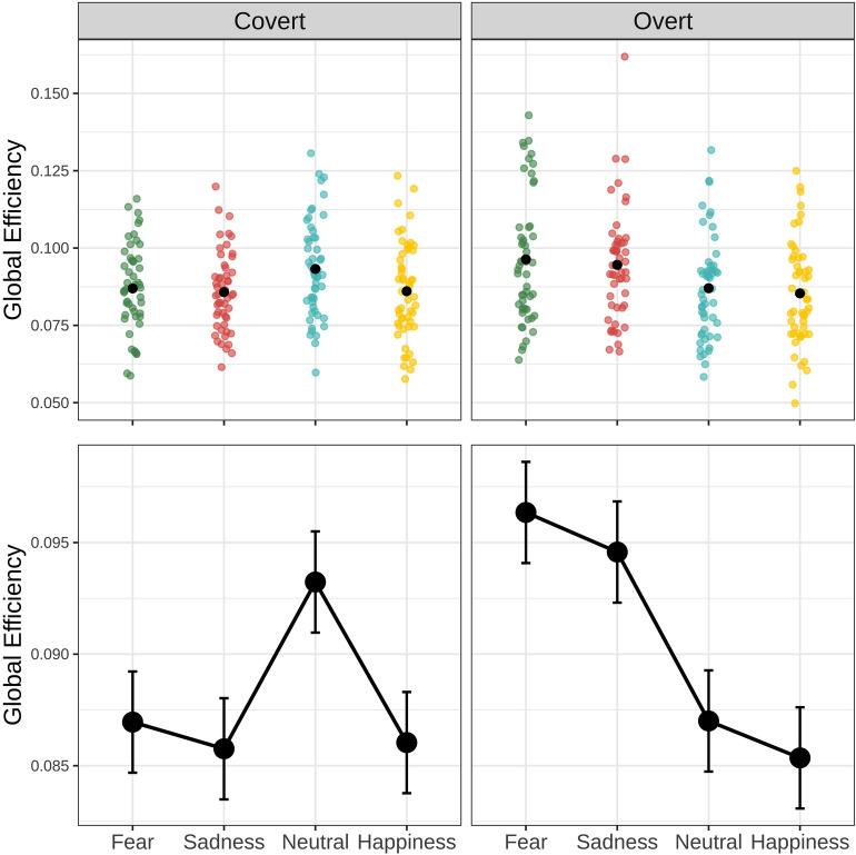
Current knowledge regarding how the focus of our attention during face processing influences neural responses largely comes from neuroimaging studies reporting on regional brain activations. The present study was designed to add novel insights to this research by studying how attention can differentially impact the way cortical regions interact during emotional face processing. High-density electroencephalogram was recorded in a sample of fifty-two healthy participants during an emotional face processing task. The task required participants to either attend to the expressions (i.e., overt processing) or attend to a perceptual distractor, which rendered the expressions task-irrelevant (i.e., covert processing). Functional connectivity in the alpha band was estimated in source space and modeled using graph theory to quantify whole-brain integration and segregation. Results revealed that overt processing of facial expressions is linked to reduced cortical segregation and increased cortical integration, this latter specifically for negative expressions of fear and sadness. Furthermore, we observed increased communication efficiency during overt processing of negative expressions between the core and the extended face processing systems. Overall, these findings reveal that attention makes the interaction among the nodes involved in face processing more efficient, also uncovering a connectivity signature of the prioritized processing mechanism of negative expressions, that is an increased cross-communication within the nodes of the face processing network.

摘要

目前关于我们在处理面部时注意力焦点如何影响神经反应的知识主要来自于报告区域大脑激活的神经影像学研究。本研究旨在通过研究注意力如何在情绪面孔处理过程中对皮质区域的相互作用产生差异影响,为该研究提供新的见解。在一项情绪面孔处理任务中,对 52 名健康参与者进行了高密度脑电图记录。该任务要求参与者要么关注表情(即显性加工),要么关注感知干扰,使表情任务变得无关紧要(即隐性加工)。在源空间中估计了 alpha 波段的功能连接,并使用图论进行建模,以量化全脑整合和分离。结果表明,面部表情的显性加工与皮质分离减少和皮质整合增加有关,特别是对恐惧和悲伤的负性表情。此外,我们观察到在显性处理负性表情时,核心和扩展面部处理系统之间的通信效率增加。总的来说,这些发现表明注意力使参与面部处理的节点之间的相互作用更有效率,也揭示了负面表情的优先处理机制的连接特征,即面部处理网络节点之间的交叉通信增加。

https://cdn.ncbi.nlm.nih.gov/pmc/blobs/f100/10279636/45a864e6623a/41598_2023_36860_Fig1_HTML.jpg

文献检索

告别复杂PubMed语法,用中文像聊天一样搜索,搜遍4000万医学文献。AI智能推荐,让科研检索更轻松。

立即免费搜索

文件翻译

保留排版,准确专业,支持PDF/Word/PPT等文件格式,支持 12+语言互译。

免费翻译文档

深度研究

AI帮你快速写综述,25分钟生成高质量综述,智能提取关键信息,辅助科研写作。

立即免费体验