Pérez-González Antonio, Roda-Casanova Victor, Sabater-Gazulla Javier
Department of Mechanical Engineering and Construction, Universitat Jaume I, 12071 Castellón de la Plana, Spain.
Biomimetics (Basel). 2023 May 24;8(2):219. doi: 10.3390/biomimetics8020219.
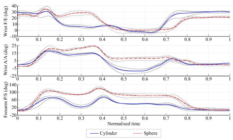
Automation of wrist rotations in upper limb prostheses allows simplification of the human-machine interface, reducing the user's mental load and avoiding compensatory movements. This study explored the possibility of predicting wrist rotations in pick-and-place tasks based on kinematic information from the other arm joints. To do this, the position and orientation of the hand, forearm, arm, and back were recorded from five subjects during transport of a cylindrical and a spherical object between four different locations on a vertical shelf. The rotation angles in the arm joints were obtained from the records and used to train feed-forward neural networks (FFNNs) and time-delay neural networks (TDNNs) in order to predict wrist rotations (flexion/extension, abduction/adduction, and pronation/supination) based on the angles at the elbow and shoulder. Correlation coefficients between actual and predicted angles of 0.88 for the FFNN and 0.94 for the TDNN were obtained. These correlations improved when object information was added to the network or when it was trained separately for each object (0.94 for the FFNN, 0.96 for the TDNN). Similarly, it improved when the network was trained specifically for each subject. These results suggest that it would be feasible to reduce compensatory movements in prosthetic hands for specific tasks by using motorized wrists and automating their rotation based on kinematic information obtained with sensors appropriately positioned in the prosthesis and the subject's body.
上肢假肢的手腕旋转自动化可简化人机界面,减轻用户的心理负担并避免代偿运动。本研究探讨了基于来自另一只手臂关节的运动学信息预测抓取和放置任务中手腕旋转的可能性。为此,在将圆柱形和球形物体在垂直架子上的四个不同位置之间转移的过程中,记录了五名受试者的手、前臂、手臂和背部的位置和方向。从记录中获取手臂关节的旋转角度,并用于训练前馈神经网络(FFNN)和时延神经网络(TDNN),以便根据肘部和肩部的角度预测手腕旋转(屈曲/伸展、外展/内收以及旋前/旋后)。FFNN的实际角度与预测角度之间的相关系数为0.88,TDNN为0.94。当将物体信息添加到网络中或针对每个物体单独训练时,这些相关性得到了提高(FFNN为0.94,TDNN为0.96)。同样,当针对每个受试者专门训练网络时,相关性也得到了提高。这些结果表明,通过使用电动手腕并根据适当地放置在假肢和受试者身体中的传感器获得的运动学信息自动控制其旋转,减少特定任务中假肢手的代偿运动是可行的。