• 文献检索
  • 文档翻译
  • 深度研究
  • 学术资讯
  • Suppr Zotero 插件Zotero 插件
  • 邀请有礼
  • 套餐&价格
  • 历史记录
应用&插件
Suppr Zotero 插件Zotero 插件浏览器插件Mac 客户端Windows 客户端微信小程序
定价
高级版会员购买积分包购买API积分包
服务
文献检索文档翻译深度研究API 文档MCP 服务
关于我们
关于 Suppr公司介绍联系我们用户协议隐私条款
关注我们

Suppr 超能文献

核心技术专利:CN118964589B侵权必究
粤ICP备2023148730 号-1Suppr @ 2026

文献检索

告别复杂PubMed语法,用中文像聊天一样搜索,搜遍4000万医学文献。AI智能推荐,让科研检索更轻松。

立即免费搜索

文件翻译

保留排版,准确专业,支持PDF/Word/PPT等文件格式,支持 12+语言互译。

免费翻译文档

深度研究

AI帮你快速写综述,25分钟生成高质量综述,智能提取关键信息,辅助科研写作。

立即免费体验

自磷酸化聚苯并咪唑:一种用于氢/空气高温聚合物电解质膜燃料电池的环保且经济的方法。

Self-Phosphorylated Polybenzimidazole: An Environmentally Friendly and Economical Approach for Hydrogen/Air High-Temperature Polymer-Electrolyte Membrane Fuel Cells.

作者信息

Ponomarev Igor I, Razorenov Dmitry Y, Skupov Kirill M, Ponomarev Ivan I, Volkova Yulia A, Lyssenko Konstantin A, Lysova Anna A, Vtyurina Elizaveta S, Buzin Mikhail I, Klemenkova Zinaida S

机构信息

A.N. Nesmeyanov Institute of Organoelement Compounds of Russian Academy of Sciences, Vavilova St., 28, Bld. 1, 119334 Moscow, Russia.

Faculty of Chemistry, Lomonosov Moscow State University, GSP-1, Leninskie Gory, 1-3, 119991 Moscow, Russia.

出版信息

Membranes (Basel). 2023 May 25;13(6):552. doi: 10.3390/membranes13060552.

DOI:10.3390/membranes13060552
PMID:37367756
原文链接:https://pmc.ncbi.nlm.nih.gov/articles/PMC10303732/
Abstract

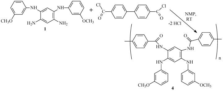
The development of phosphorylated polybenzimidazoles (PBI) for high-temperature polymer-electrolyte membrane (HT-PEM) fuel cells is a challenge and can lead to a significant increase in the efficiency and long-term operability of fuel cells of this type. In this work, high molecular weight film-forming pre-polymers based on ,-bis(3-methoxyphenyl)-1,2,4,5-benzenetetramine and [1,1'-biphenyl]-4,4'-dicarbonyl dichloride were obtained by polyamidation at room temperature for the first time. During thermal cyclization at 330-370 °C, such polyamides form -methoxyphenyl substituted polybenzimidazoles for use as a proton-conducting membrane after doping by phosphoric acid for H/air HT-PEM fuel cells. During operation in a membrane electrode assembly at 160-180 °C, PBI self-phosphorylation occurs due to the substitution of methoxy-groups. As a result, proton conductivity increases sharply, reaching 100 mS/cm. At the same time, the current-voltage characteristics of the fuel cell significantly exceed the power indicators of the commercial BASF Celtec P1000 MEA. The achieved peak power is 680 mW/cm at 180 °C. The developed approach to the creation of effective self-phosphorylating PBI membranes can significantly reduce their cost and ensure the environmental friendliness of their production.

摘要

用于高温聚合物电解质膜(HT-PEM)燃料电池的磷酸化聚苯并咪唑(PBI)的开发是一项挑战,但可显著提高此类燃料电池的效率和长期可操作性。在本工作中,首次通过室温下的聚酰胺化反应,制得了基于α,β-双(3-甲氧基苯基)-1,2,4,5-苯四胺和[1,1'-联苯]-4,4'-二羰基二氯的高分子量成膜预聚物。在330-370℃的热环化过程中,此类聚酰胺形成α-甲氧基苯基取代的聚苯并咪唑,经磷酸掺杂后用作H/空气HT-PEM燃料电池的质子传导膜。在膜电极组件中于160-180℃运行时,由于甲氧基的取代,PBI发生自磷酸化。结果,质子电导率急剧增加,达到100 mS/cm。同时,燃料电池的电流-电压特性显著超过了商业巴斯夫Celtec P1000 MEA的功率指标。在180℃时实现的峰值功率为680 mW/cm²。所开发的制备有效自磷酸化PBI膜的方法可显著降低其成本,并确保其生产的环境友好性。

https://cdn.ncbi.nlm.nih.gov/pmc/blobs/4447/10303732/22d85d0a3c36/membranes-13-00552-g014.jpg
https://cdn.ncbi.nlm.nih.gov/pmc/blobs/4447/10303732/47dd54b7b350/membranes-13-00552-g001.jpg
https://cdn.ncbi.nlm.nih.gov/pmc/blobs/4447/10303732/07196ae97cda/membranes-13-00552-g002.jpg
https://cdn.ncbi.nlm.nih.gov/pmc/blobs/4447/10303732/af7922f9ff31/membranes-13-00552-g003.jpg
https://cdn.ncbi.nlm.nih.gov/pmc/blobs/4447/10303732/a844bdba9409/membranes-13-00552-g004.jpg
https://cdn.ncbi.nlm.nih.gov/pmc/blobs/4447/10303732/5077eafcfb9c/membranes-13-00552-g005.jpg
https://cdn.ncbi.nlm.nih.gov/pmc/blobs/4447/10303732/915ce90ebf7b/membranes-13-00552-g006.jpg
https://cdn.ncbi.nlm.nih.gov/pmc/blobs/4447/10303732/b8c95eec84ba/membranes-13-00552-g007.jpg
https://cdn.ncbi.nlm.nih.gov/pmc/blobs/4447/10303732/9dc88dc7e750/membranes-13-00552-g008.jpg
https://cdn.ncbi.nlm.nih.gov/pmc/blobs/4447/10303732/6065c761fb94/membranes-13-00552-g009.jpg
https://cdn.ncbi.nlm.nih.gov/pmc/blobs/4447/10303732/30e6c9b413dc/membranes-13-00552-g010.jpg
https://cdn.ncbi.nlm.nih.gov/pmc/blobs/4447/10303732/71df753d9b84/membranes-13-00552-g011.jpg
https://cdn.ncbi.nlm.nih.gov/pmc/blobs/4447/10303732/13c9a68d96f0/membranes-13-00552-g012.jpg
https://cdn.ncbi.nlm.nih.gov/pmc/blobs/4447/10303732/bb17fbdb69a3/membranes-13-00552-g013.jpg
https://cdn.ncbi.nlm.nih.gov/pmc/blobs/4447/10303732/22d85d0a3c36/membranes-13-00552-g014.jpg
https://cdn.ncbi.nlm.nih.gov/pmc/blobs/4447/10303732/47dd54b7b350/membranes-13-00552-g001.jpg
https://cdn.ncbi.nlm.nih.gov/pmc/blobs/4447/10303732/07196ae97cda/membranes-13-00552-g002.jpg
https://cdn.ncbi.nlm.nih.gov/pmc/blobs/4447/10303732/af7922f9ff31/membranes-13-00552-g003.jpg
https://cdn.ncbi.nlm.nih.gov/pmc/blobs/4447/10303732/a844bdba9409/membranes-13-00552-g004.jpg
https://cdn.ncbi.nlm.nih.gov/pmc/blobs/4447/10303732/5077eafcfb9c/membranes-13-00552-g005.jpg
https://cdn.ncbi.nlm.nih.gov/pmc/blobs/4447/10303732/915ce90ebf7b/membranes-13-00552-g006.jpg
https://cdn.ncbi.nlm.nih.gov/pmc/blobs/4447/10303732/b8c95eec84ba/membranes-13-00552-g007.jpg
https://cdn.ncbi.nlm.nih.gov/pmc/blobs/4447/10303732/9dc88dc7e750/membranes-13-00552-g008.jpg
https://cdn.ncbi.nlm.nih.gov/pmc/blobs/4447/10303732/6065c761fb94/membranes-13-00552-g009.jpg
https://cdn.ncbi.nlm.nih.gov/pmc/blobs/4447/10303732/30e6c9b413dc/membranes-13-00552-g010.jpg
https://cdn.ncbi.nlm.nih.gov/pmc/blobs/4447/10303732/71df753d9b84/membranes-13-00552-g011.jpg
https://cdn.ncbi.nlm.nih.gov/pmc/blobs/4447/10303732/13c9a68d96f0/membranes-13-00552-g012.jpg
https://cdn.ncbi.nlm.nih.gov/pmc/blobs/4447/10303732/bb17fbdb69a3/membranes-13-00552-g013.jpg
https://cdn.ncbi.nlm.nih.gov/pmc/blobs/4447/10303732/22d85d0a3c36/membranes-13-00552-g014.jpg

相似文献

1
Self-Phosphorylated Polybenzimidazole: An Environmentally Friendly and Economical Approach for Hydrogen/Air High-Temperature Polymer-Electrolyte Membrane Fuel Cells.自磷酸化聚苯并咪唑:一种用于氢/空气高温聚合物电解质膜燃料电池的环保且经济的方法。
Membranes (Basel). 2023 May 25;13(6):552. doi: 10.3390/membranes13060552.
2
Cardo Polybenzimidazole (PBI-O-PhT) Based Membrane Reinforced with -polybenzimidazole Electrospun Nanofiber Mat for HT-PEM Fuel Cell Applications.用于高温质子交换膜燃料电池应用的基于咔唑聚苯并咪唑(PBI-O-PhT)的膜,由聚聚苯并咪唑电纺纳米纤维毡增强。
Membranes (Basel). 2022 Sep 29;12(10):956. doi: 10.3390/membranes12100956.
3
Unique Self-Phosphorylating Polybenzimidazole of the 6F Family for HT-PEM Fuel Cell Application.用于 HT-PEM 燃料电池应用的 6F 家族独特的自磷酸化聚苯并咪唑。
Int J Mol Sci. 2024 May 30;25(11):6001. doi: 10.3390/ijms25116001.
4
Proton-Conducting Polymer-Coated Carbon Nanofiber Mats for Pt-Anodes of High-Temperature Polymer-Electrolyte Membrane Fuel Cell.用于高温聚合物电解质膜燃料电池铂阳极的质子传导聚合物包覆碳纳米纤维垫
Membranes (Basel). 2023 Apr 29;13(5):479. doi: 10.3390/membranes13050479.
5
A Comparative Study of CCM and CCS Membrane Electrode Assemblies for High-Temperature Proton Exchange Membrane Fuel Cells with a CsH(PO)-Doped Polybenzimidazole Membrane.用于含CsH(PO)掺杂聚苯并咪唑膜的高温质子交换膜燃料电池的CCM和CCS膜电极组件的比较研究
Materials (Basel). 2023 May 24;16(11):3925. doi: 10.3390/ma16113925.
6
Modifications on Promoting the Proton Conductivity of Polybenzimidazole-Based Polymer Electrolyte Membranes in Fuel Cells.用于促进燃料电池中聚苯并咪唑基聚合物电解质膜质子传导性的改性方法
Membranes (Basel). 2021 Oct 27;11(11):826. doi: 10.3390/membranes11110826.
7
Materials and characterization techniques for high-temperature polymer electrolyte membrane fuel cells.高温聚合物电解质膜燃料电池的材料和特性技术。
Beilstein J Nanotechnol. 2015 Jan 7;6:68-83. doi: 10.3762/bjnano.6.8. eCollection 2015.
8
Polybenzimidazole dispersed polymer coated nanowires as efficient electrolytes for proton exchange membrane fuel cells.聚苯并咪唑分散聚合物包覆纳米线作为质子交换膜燃料电池的高效电解质
Sci Rep. 2024 Jun 27;14(1):14884. doi: 10.1038/s41598-024-65955-9.
9
Ionic Liquid in Phosphoric Acid-Doped Polybenzimidazole (PA-PBI) as Electrolyte Membranes for PEM Fuel Cells: A Review.用于质子交换膜燃料电池的磷酸掺杂聚苯并咪唑(PA-PBI)电解质膜中的离子液体:综述
Membranes (Basel). 2021 Sep 24;11(10):728. doi: 10.3390/membranes11100728.
10
Phase Inversion-Induced Porous Polybenzimidazole Fuel Cell Membranes: An Efficient Architecture for High-Temperature Water-Free Proton Transport.相转化诱导的多孔聚苯并咪唑燃料电池膜:一种用于高温无水质子传输的高效结构。
Polymers (Basel). 2020 Jul 19;12(7):1604. doi: 10.3390/polym12071604.

引用本文的文献

1
Unique Self-Phosphorylating Polybenzimidazole of the 6F Family for HT-PEM Fuel Cell Application.用于 HT-PEM 燃料电池应用的 6F 家族独特的自磷酸化聚苯并咪唑。
Int J Mol Sci. 2024 May 30;25(11):6001. doi: 10.3390/ijms25116001.

本文引用的文献

1
Effect of Organo-Silanes Structure on the Properties of Silane-Crosslinked Membranes Based on Cardo Polybenzimidazole PBI-O-PhT.有机硅烷结构对基于咔唑聚苯并咪唑PBI-O-PhT的硅烷交联膜性能的影响
Membranes (Basel). 2022 Oct 31;12(11):1078. doi: 10.3390/membranes12111078.
2
Preparation and thermal treatment influence on Pt-decorated electrospun carbon nanofiber electrocatalysts.制备和热处理对铂修饰的电纺碳纳米纤维电催化剂的影响。
RSC Adv. 2019 Sep 2;9(47):27406-27418. doi: 10.1039/c9ra05910e. eCollection 2019 Aug 29.
3
Preparation and Characterization of a Novel Sulfonated Titanium Oxide Incorporated Chitosan Nanocomposite Membranes for Fuel Cell Application.
用于燃料电池应用的新型磺化氧化钛掺杂壳聚糖纳米复合膜的制备与表征
Membranes (Basel). 2021 Jun 17;11(6):450. doi: 10.3390/membranes11060450.
4
New Carbon Nanofiber Composite Materials Containing Lanthanides and Transition Metals Based on Electrospun Polyacrylonitrile for High Temperature Polymer Electrolyte Membrane Fuel Cell Cathodes.基于静电纺聚丙烯腈的含镧系元素和过渡金属的新型碳纳米纤维复合材料用于高温聚合物电解质膜燃料电池阴极。
Polymers (Basel). 2020 Jun 13;12(6):1340. doi: 10.3390/polym12061340.
5
Why do proton conducting polybenzimidazole phosphoric acid membranes perform well in high-temperature PEM fuel cells?为什么质子传导聚苯并咪唑磷酸膜在高温质子交换膜燃料电池中表现良好?
Phys Chem Chem Phys. 2016 Dec 21;19(1):601-612. doi: 10.1039/c6cp05331a.
6
Novel composite Zr/PBI-O-PhT membranes for HT-PEFC applications.新型复合 Zr/PBI-O-PhT 膜在 HT-PEFC 中的应用。
Beilstein J Nanotechnol. 2013 Aug 21;4:481-92. doi: 10.3762/bjnano.4.57. eCollection 2013.