Suppr超能文献

帕金森病患者的呼吸-吞咽协调:系统评价和荟萃分析。

Respiratory-Swallow Coordination in Individuals with Parkinson's Disease: A Systematic Review and Meta-Analysis.

机构信息

Roxelyn and Richard Pepper Department of Communication Sciences and Disorders, School of Communication, Northwestern University, Evanston, IL, USA.

Preventive Medicine (Biostatistics), Feinberg School of Medicine, Northwestern University, Chicago, IL, USA.

出版信息

J Parkinsons Dis. 2023;13(5):681-698. doi: 10.3233/JPD-230057.

Abstract

BACKGROUND

Swallowing impairment, including altered physiology and aspiration, occur across the progression of Parkinson's disease (PD). The phase of respiration during which a swallow is initiated has been linked to swallowing impairment and aspiration in cohorts with dysphagia following stroke and head and neck cancer treatment, but has been understudied in PD. If similar findings are shown in individuals with PD, the implications for swallowing assessment and treatment are significant.

OBJECTIVE

The aim of this systematic review and meta-analysis of literature was to examine respiratory-swallow coordination measures and potential implications on swallowing physiology in individuals with PD.

METHODS

An extensive search of 7 databases (PubMed, EMBASE, Central, Web of Science, ProQuest Dissertations & Theses, Scopus, and CINAHL) with predetermined search terms was conducted. Inclusion criteria were individuals with PD and the use of objective evaluations of respiratory-swallow coordination.

RESULTS

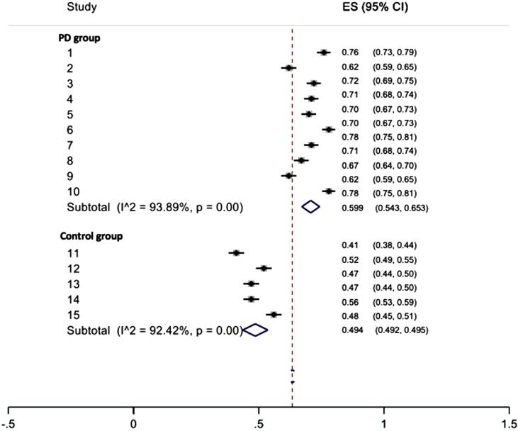
Of the 13,760 articles identified, 11 met the inclusion criteria. This review supports the presence of atypical respiratory swallow patterning, respiratory pause duration and lung volume at swallow initiation in individuals with PD. The meta-analysis estimated an occurrence of 60% of non-expiration-expiration and 40% of expiration-expiration respiratory phase patterns surrounding swallowing.

CONCLUSION

Although this systematic review supports the occurrence of atypical respiratory-swallow coordination in individuals with PD, the evidence is limited by the variability in the methods of data acquisition, analysis, and reporting. Future research examining the impact of respiratory swallow coordination on swallowing impairment and airway protection using consistent, comparable, and reproducible methods and metrics in individuals with PD is warranted.

摘要

背景

吞咽障碍,包括生理改变和误吸,发生在帕金森病(PD)的进展过程中。在吞咽困难的卒中后和头颈部癌症治疗队列中,与吞咽相关的呼吸阶段与吞咽障碍和误吸有关,但在 PD 中研究较少。如果在 PD 患者中也发现类似的发现,那么对吞咽评估和治疗的影响将是重大的。

目的

本系统评价和文献荟萃分析的目的是检查 PD 患者的呼吸-吞咽协调测量指标及其对吞咽生理学的潜在影响。

方法

通过预定的搜索词,对 7 个数据库(PubMed、EMBASE、Central、Web of Science、ProQuest Dissertations & Theses、Scopus 和 CINAHL)进行了广泛的搜索。纳入标准为 PD 患者和使用客观评估呼吸-吞咽协调的文章。

结果

在确定的 13760 篇文章中,有 11 篇符合纳入标准。本综述支持 PD 患者存在异常呼吸吞咽模式、吞咽起始时呼吸暂停时间和肺容量。荟萃分析估计,60%的呼吸模式是非呼气-呼气,40%的呼吸模式是呼气-呼气。

结论

尽管本系统评价支持 PD 患者存在异常呼吸-吞咽协调,但由于数据采集、分析和报告方法的差异,证据有限。未来的研究需要使用一致、可比和可重复的方法和指标,在 PD 患者中检查呼吸-吞咽协调对吞咽障碍和气道保护的影响。

https://cdn.ncbi.nlm.nih.gov/pmc/blobs/e1d1/10473138/f13329041517/jpd-13-jpd230057-g001.jpg

文献AI研究员

20分钟写一篇综述,助力文献阅读效率提升50倍。

立即体验

用中文搜PubMed

大模型驱动的PubMed中文搜索引擎

马上搜索

文档翻译

学术文献翻译模型,支持多种主流文档格式。

立即体验