• 文献检索
  • 文档翻译
  • 深度研究
  • 学术资讯
  • Suppr Zotero 插件Zotero 插件
  • 邀请有礼
  • 套餐&价格
  • 历史记录
应用&插件
Suppr Zotero 插件Zotero 插件浏览器插件Mac 客户端Windows 客户端微信小程序
定价
高级版会员购买积分包购买API积分包
服务
文献检索文档翻译深度研究API 文档MCP 服务
关于我们
关于 Suppr公司介绍联系我们用户协议隐私条款
关注我们

Suppr 超能文献

核心技术专利:CN118964589B侵权必究
粤ICP备2023148730 号-1Suppr @ 2026

文献检索

告别复杂PubMed语法,用中文像聊天一样搜索,搜遍4000万医学文献。AI智能推荐,让科研检索更轻松。

立即免费搜索

文件翻译

保留排版,准确专业,支持PDF/Word/PPT等文件格式,支持 12+语言互译。

免费翻译文档

深度研究

AI帮你快速写综述,25分钟生成高质量综述,智能提取关键信息,辅助科研写作。

立即免费体验

在适度的农机田间作业条件下,田间交通引起的土壤压实会影响砂壤土的土壤性质和玉米产量。

Field traffic-induced soil compaction under moderate machine-field conditions affects soil properties and maize yield on sandy loam soil.

作者信息

Nawaz Muhammad Mohsin, Noor Mehmood Ali, Latifmanesh Hojatollah, Wang Xinbing, Ma Wei, Zhang Weijian

机构信息

Institute of Crop Sciences, Chinese Academy of Agricultural Sciences, Key Laboratory of Crop Physiology & Ecology, Ministry of Agriculture, Beijing, China.

Department of Agroecology - Soil Physics and Hydropedology, Aarhus University, Tjele, Denmark.

出版信息

Front Plant Sci. 2023 Jun 20;14:1002943. doi: 10.3389/fpls.2023.1002943. eCollection 2023.

DOI:10.3389/fpls.2023.1002943
PMID:37409307
原文链接:https://pmc.ncbi.nlm.nih.gov/articles/PMC10319014/
Abstract

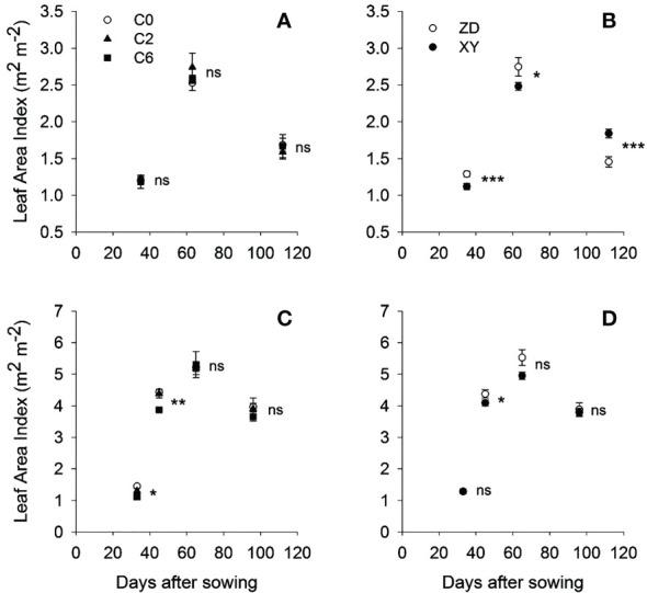
Soil compaction due to field trafficking involves a complex interplay of machine-soil properties. In contrast to previous studies simulating worst field scenarios, this two-year field experiment investigated the effects of traffic-induced compaction involving moderate machine operational specifications (axle load, 3.16 Mg; mean ground contact pressure, 77.5 kPa) and lower field moisture contents (< field capacity) at the time of trafficking on soil physical properties, spatial root distribution, and corresponding maize growth and grain yield in sandy loam soil. Two compaction levels, i.e. two (C2) and six (C6) vehicle passes, were compared with a control (C0). Two maize ( L.) cultivars, i.e. ZD-958 and XY-335, were used. Results showed topsoil (< 30 cm) compaction with increases in bulk density (BD) and penetration resistance (PR) up to 16.42% and 127.76%, respectively, in the 10-20 cm soil layer in 2017. Field trafficking resulted in a shallower and stronger hardpan. An increased number of traffic passes (C6) aggravated the effects, and the carryover effect was found. Higher BD and PR impaired root proliferation in deeper layers of topsoil (10-30 cm) and promoted shallow horizontal root distribution. However, XY-335, compared with ZD-958, showed deeper root distribution under compaction. Compaction-induced reductions in root biomass and length densities were respectively up to 41% and 36% in 10-20 cm and 58% and 42% in the 20-30 cm soil layer. Consequent yield penalties (7.6%-15.5%) underscore the detriments of compaction, even only in topsoil. In crux, despite their low magnitude, the negative impacts of field trafficking under moderate machine-field conditions after just two years of annual trafficking foreground the challenge of soil compaction.

摘要

田间运输导致的土壤压实涉及机器与土壤特性之间复杂的相互作用。与以往模拟最坏田间情况的研究不同,这项为期两年的田间试验研究了在中等机器操作规格(轴载3.16 Mg;平均地面接触压力77.5 kPa)以及运输时田间湿度较低(<田间持水量)的情况下,运输引起的压实对砂壤土土壤物理性质、根系空间分布以及相应玉米生长和籽粒产量的影响。将两个压实水平,即车辆通过两次(C2)和六次(C6),与对照(C0)进行了比较。使用了两个玉米品种,即ZD - 958和XY - 335。结果表明,2017年在10 - 20厘米土层中,表土(<30厘米)压实,容重(BD)和穿透阻力(PR)分别增加了16.42%和127.76%。田间运输导致硬底层变浅且更紧实。运输次数增加(C6)加剧了这些影响,并且发现了残留效应。较高的BD和PR损害了表土较深层(10 - 30厘米)的根系增殖,并促进了浅层水平根系分布。然而,与ZD - 958相比,XY - 335在压实条件下根系分布更深。压实导致10 - 20厘米土层中根系生物量和长度密度分别降低了41%和36%,在20 - 30厘米土层中分别降低了58%和42%。随之而来的产量损失(7.6% - 15.5%)突出了压实的危害,即使仅在表土中。关键在于,尽管程度较低,但在每年仅运输两年的中等机器 - 田间条件下,田间运输的负面影响凸显了土壤压实的挑战。

https://cdn.ncbi.nlm.nih.gov/pmc/blobs/04e3/10319014/5ee53f3fd1a3/fpls-14-1002943-g013.jpg
https://cdn.ncbi.nlm.nih.gov/pmc/blobs/04e3/10319014/d60c361d4a0c/fpls-14-1002943-g001.jpg
https://cdn.ncbi.nlm.nih.gov/pmc/blobs/04e3/10319014/85246263d866/fpls-14-1002943-g002.jpg
https://cdn.ncbi.nlm.nih.gov/pmc/blobs/04e3/10319014/dce54d5f98de/fpls-14-1002943-g003.jpg
https://cdn.ncbi.nlm.nih.gov/pmc/blobs/04e3/10319014/d48ba18ed658/fpls-14-1002943-g004.jpg
https://cdn.ncbi.nlm.nih.gov/pmc/blobs/04e3/10319014/2cb294b4c11a/fpls-14-1002943-g005.jpg
https://cdn.ncbi.nlm.nih.gov/pmc/blobs/04e3/10319014/e229b89aa0a5/fpls-14-1002943-g006.jpg
https://cdn.ncbi.nlm.nih.gov/pmc/blobs/04e3/10319014/e90810d0acb7/fpls-14-1002943-g007.jpg
https://cdn.ncbi.nlm.nih.gov/pmc/blobs/04e3/10319014/6dca044a35b2/fpls-14-1002943-g008.jpg
https://cdn.ncbi.nlm.nih.gov/pmc/blobs/04e3/10319014/b357d3f32e8e/fpls-14-1002943-g009.jpg
https://cdn.ncbi.nlm.nih.gov/pmc/blobs/04e3/10319014/053528051438/fpls-14-1002943-g010.jpg
https://cdn.ncbi.nlm.nih.gov/pmc/blobs/04e3/10319014/f7cf03dbe3e5/fpls-14-1002943-g011.jpg
https://cdn.ncbi.nlm.nih.gov/pmc/blobs/04e3/10319014/1f3972231b41/fpls-14-1002943-g012.jpg
https://cdn.ncbi.nlm.nih.gov/pmc/blobs/04e3/10319014/5ee53f3fd1a3/fpls-14-1002943-g013.jpg
https://cdn.ncbi.nlm.nih.gov/pmc/blobs/04e3/10319014/d60c361d4a0c/fpls-14-1002943-g001.jpg
https://cdn.ncbi.nlm.nih.gov/pmc/blobs/04e3/10319014/85246263d866/fpls-14-1002943-g002.jpg
https://cdn.ncbi.nlm.nih.gov/pmc/blobs/04e3/10319014/dce54d5f98de/fpls-14-1002943-g003.jpg
https://cdn.ncbi.nlm.nih.gov/pmc/blobs/04e3/10319014/d48ba18ed658/fpls-14-1002943-g004.jpg
https://cdn.ncbi.nlm.nih.gov/pmc/blobs/04e3/10319014/2cb294b4c11a/fpls-14-1002943-g005.jpg
https://cdn.ncbi.nlm.nih.gov/pmc/blobs/04e3/10319014/e229b89aa0a5/fpls-14-1002943-g006.jpg
https://cdn.ncbi.nlm.nih.gov/pmc/blobs/04e3/10319014/e90810d0acb7/fpls-14-1002943-g007.jpg
https://cdn.ncbi.nlm.nih.gov/pmc/blobs/04e3/10319014/6dca044a35b2/fpls-14-1002943-g008.jpg
https://cdn.ncbi.nlm.nih.gov/pmc/blobs/04e3/10319014/b357d3f32e8e/fpls-14-1002943-g009.jpg
https://cdn.ncbi.nlm.nih.gov/pmc/blobs/04e3/10319014/053528051438/fpls-14-1002943-g010.jpg
https://cdn.ncbi.nlm.nih.gov/pmc/blobs/04e3/10319014/f7cf03dbe3e5/fpls-14-1002943-g011.jpg
https://cdn.ncbi.nlm.nih.gov/pmc/blobs/04e3/10319014/1f3972231b41/fpls-14-1002943-g012.jpg
https://cdn.ncbi.nlm.nih.gov/pmc/blobs/04e3/10319014/5ee53f3fd1a3/fpls-14-1002943-g013.jpg

相似文献

1
Field traffic-induced soil compaction under moderate machine-field conditions affects soil properties and maize yield on sandy loam soil.在适度的农机田间作业条件下,田间交通引起的土壤压实会影响砂壤土的土壤性质和玉米产量。
Front Plant Sci. 2023 Jun 20;14:1002943. doi: 10.3389/fpls.2023.1002943. eCollection 2023.
2
Dynamics of soil penetration resistance, moisture depletion pattern and crop productivity determined by mechanized cultivation and lifesaving irrigation in zero till blackgram.免耕黑豆机械化种植和救命灌溉对土壤穿透阻力动态、水分消耗模式及作物生产力的影响
Heliyon. 2024 Mar 23;10(7):e28625. doi: 10.1016/j.heliyon.2024.e28625. eCollection 2024 Apr 15.
3
Soil Tillage Management Affects Maize Grain Yield by Regulating Spatial Distribution Coordination of Roots, Soil Moisture and Nitrogen Status.土壤耕作管理通过调节根系、土壤水分和氮素状况的空间分布协调性来影响玉米籽粒产量。
PLoS One. 2015 Jun 22;10(6):e0129231. doi: 10.1371/journal.pone.0129231. eCollection 2015.
4
Mechanical and Hydric Stress Effects on Maize Root System Development at Different Soil Compaction Levels.不同土壤压实水平下机械应力和水分胁迫对玉米根系发育的影响
Front Plant Sci. 2019 Oct 29;10:1358. doi: 10.3389/fpls.2019.01358. eCollection 2019.
5
Plant root tortuosity: an indicator of root path formation in soil with different composition and density.植物根系曲折度:不同组成和密度土壤中根系路径形成的一个指标。
Ann Bot. 2016 Oct 1;118(4):685-698. doi: 10.1093/aob/mcw057.
6
Root growth and physiological responses in wheat to topsoil and subsoil compaction with or without artificial vertical macropores.小麦根系生长及生理响应与表土和底土压实的关系:有无人工垂直大孔隙的影响
Heliyon. 2023 Aug 2;9(8):e18834. doi: 10.1016/j.heliyon.2023.e18834. eCollection 2023 Aug.
7
[Effects of ridge-cultivation and plastic film mulching on root distribution and yield of spring maize in hilly area of central Sichuan basin, China.].[垄作覆膜对四川盆地中部丘陵区春玉米根系分布及产量的影响。]
Ying Yong Sheng Tai Xue Bao. 2016 Mar;27(3):855-862. doi: 10.13287/j.1001-9332.201603.023.
8
Do agricultural grasses bred for improved root systems provide resilience to machinery-derived soil compaction?为改善根系而培育的农用草能抵御机械造成的土壤压实吗?
Food Energy Secur. 2020 Aug;9(3):e227. doi: 10.1002/fes3.227. Epub 2020 Jul 5.
9
[Effects of subsoiling and straw returning on soil physical properties and maize production in Yellow River irrigation area of Gansu, China].[深松与秸秆还田对甘肃黄河灌区土壤物理性质及玉米产量的影响]
Ying Yong Sheng Tai Xue Bao. 2019 Jan 20;30(1):224-232. doi: 10.13287/j.1001-9332.201901.030.
10
[Effects of water storage in deeper soil layers on the root growth, root distribution and economic yield of cotton in arid area with drip irrigation under mulch].[深层土壤蓄水对干旱区膜下滴灌棉花根系生长、根系分布及经济产量的影响]
Ying Yong Sheng Tai Xue Bao. 2012 Feb;23(2):395-402.

引用本文的文献

1
Soil2Cover: Coverage path planning minimizing soil compaction for sustainable agriculture.土壤覆盖:用于可持续农业的最小化土壤压实的覆盖路径规划。
Precis Agric. 2025;26(4):57. doi: 10.1007/s11119-025-10250-4. Epub 2025 Jun 3.
2
ZmSPL12 Enhances Root Penetration and Elongation in Maize Under Compacted Soil Conditions by Responding to Ethylene Signaling.ZmSPL12通过响应乙烯信号增强紧凑型土壤条件下玉米的根系穿透和伸长能力。
Plants (Basel). 2024 Dec 17;13(24):3525. doi: 10.3390/plants13243525.

本文引用的文献

1
Soil compaction effects on soil health and cropproductivity: an overview.土壤压实对土壤健康和作物生产力的影响:综述
Environ Sci Pollut Res Int. 2017 Apr;24(11):10056-10067. doi: 10.1007/s11356-017-8421-y. Epub 2017 Jan 21.
2
Contributions of rational soil tillage to compaction stress in main peanut producing areas of China.理性土壤耕作对中国主要花生产区紧实胁迫的贡献。
Sci Rep. 2016 Dec 9;6:38629. doi: 10.1038/srep38629.
3
A large and deep root system underlies high nitrogen-use efficiency in maize production.庞大而深入的根系是玉米生产中高氮利用效率的基础。
PLoS One. 2015 May 15;10(5):e0126293. doi: 10.1371/journal.pone.0126293. eCollection 2015.
4
Root elongation, water stress, and mechanical impedance: a review of limiting stresses and beneficial root tip traits.根系伸长、水分胁迫和机械阻抗:限制因素和有益根尖特征综述。
J Exp Bot. 2011 Jan;62(1):59-68. doi: 10.1093/jxb/erq350.
5
Root responses to soil physical conditions; growth dynamics from field to cell.根系对土壤物理条件的响应;从田间到细胞的生长动态
J Exp Bot. 2006;57(2):437-47. doi: 10.1093/jxb/erj003. Epub 2005 Nov 29.
6
The position of localized soil compaction determines root and subsequent shoot growth responses.局部土壤压实的位置决定了根系以及随后地上部的生长反应。
J Exp Bot. 2001 Nov;52(364):2127-33. doi: 10.1093/jexbot/52.364.2127.