Suppr超能文献

血小板衍生的微颗粒通过代谢重编程引发慢性淋巴细胞白血病恶性转化。

Platelet-derived microparticles provoke chronic lymphocytic leukemia malignancy through metabolic reprogramming.

机构信息

Department of Chemistry and Biochemistry, Université de Moncton, Moncton, NB, Canada.

Atlantic Cancer Research Institute, Moncton, NB, Canada.

出版信息

Front Immunol. 2023 Jun 27;14:1207631. doi: 10.3389/fimmu.2023.1207631. eCollection 2023.

Abstract

BACKGROUND

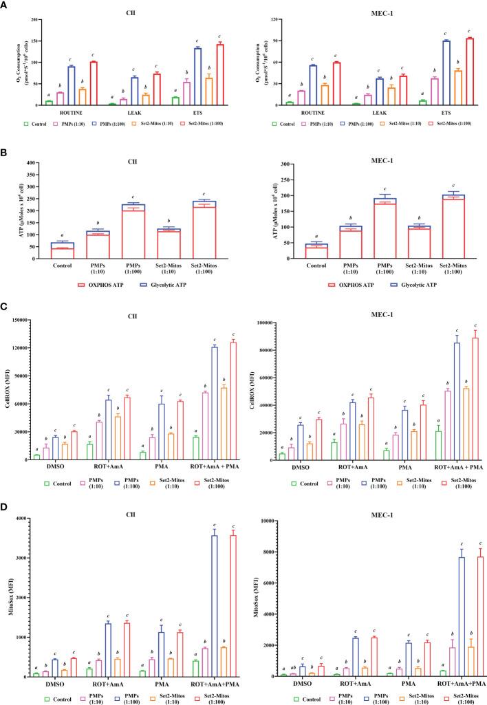
It is well established that inflammation and platelets promote multiple processes of cancer malignancy. Recently, platelets have received attention for their role in carcinogenesis through the production of microvesicles or platelet-derived microparticles (PMPs), which transfer their biological content to cancer cells. We have previously characterized a new subpopulation of these microparticles (termed mito-microparticles), which package functional mitochondria. The potential of mitochondria transfer to cancer cells is particularly impactful as many aspects of mitochondrial biology (i.e., cell growth, apoptosis inhibition, and drug resistance) coincide with cancer hallmarks and disease progression. These metabolic aspects are particularly notable in chronic lymphocytic leukemia (CLL), which is characterized by a relentless accumulation of proliferating, immunologically dysfunctional, mature B-lymphocytes that fail to undergo apoptosis. The present study aimed to investigate the role of PMPs on CLL metabolic plasticity leading to cancer cell phenotypic changes.

METHODS

CLL cell lines were co-incubated with different concentrations of human PMPs, and their impact on cell proliferation, mitochondrial DNA copy number, OCR level, ATP production, and ROS content was evaluated. Essential genes involved in metabolic-reprogramming were identified using the bioinformatics tools, examined between patients with early and advanced CLL stages, and then validated in PMP-recipient CLLs. Finally, the impact of the induced metabolic reprogramming on CLLs' growth, survival, mobility, and invasiveness was tested against anti-cancer drugs Cytarabine, Venetoclax, and Plumbagin.

RESULTS

The data demonstrated the potency of PMPs in inducing tumoral growth and invasiveness in CLLs through mitochondrial internalization and OXPHOS stimulation which was in line with metabolic shift reported in CLL patients from early to advanced stages. This metabolic rewiring also improved CLL cells' resistance to Cytarabine, Venetoclax, and Plumbagin chemo drugs.

CONCLUSION

Altogether, these findings depict a new platelet-mediated pathway of cancer pathogenesis. We also highlight the impact of PMPs in CLL metabolic reprogramming and disease progression.

摘要

背景

炎症和血小板促进癌症恶性的多个过程已得到充分证实。最近,血小板因其通过产生微泡或血小板衍生的微泡(PMP)在致癌作用中的作用而受到关注,这些微泡将其生物学内容转移到癌细胞中。我们之前已经对这些微泡的一个新亚群(称为线粒体微泡)进行了特征描述,该亚群包装有功能线粒体。线粒体转移到癌细胞的潜力尤其重要,因为线粒体生物学的许多方面(即细胞生长、凋亡抑制和耐药性)与癌症特征和疾病进展相吻合。这些代谢方面在慢性淋巴细胞白血病(CLL)中尤为显著,其特征是增殖、免疫功能障碍、成熟 B 淋巴细胞的无情积累,这些细胞无法发生凋亡。本研究旨在探讨 PMP 对 CLL 代谢可塑性的作用,导致癌细胞表型变化。

方法

将 CLL 细胞系与不同浓度的人 PMP 共孵育,并评估它们对细胞增殖、线粒体 DNA 拷贝数、OCR 水平、ATP 产生和 ROS 含量的影响。使用生物信息学工具鉴定参与代谢重编程的必需基因,在早期和晚期 CLL 阶段的患者之间进行检查,然后在 PMP 接受者的 CLL 中进行验证。最后,测试诱导的代谢重编程对 CLL 生长、存活、迁移和侵袭性的影响,以及针对阿糖胞苷、维奈托克和普拉滨的抗癌药物。

结果

数据表明,PMP 通过线粒体内化和 OXPHOS 刺激在 CLL 中诱导肿瘤生长和侵袭的能力,这与 CLL 患者从早期到晚期的代谢转变一致。这种代谢重塑也提高了 CLL 细胞对阿糖胞苷、维奈托克和普拉滨化疗药物的耐药性。

结论

总之,这些发现描绘了一条新的血小板介导的癌症发病机制途径。我们还强调了 PMP 在 CLL 代谢重编程和疾病进展中的作用。

https://cdn.ncbi.nlm.nih.gov/pmc/blobs/e237/10333545/d79c0bb2cd5a/fimmu-14-1207631-g001.jpg

文献AI研究员

20分钟写一篇综述,助力文献阅读效率提升50倍。

立即体验

用中文搜PubMed

大模型驱动的PubMed中文搜索引擎

马上搜索

文档翻译

学术文献翻译模型,支持多种主流文档格式。

立即体验