Suppr超能文献

番茄中CorA/MRS2/ALR型镁转运体的鉴定与表达

Identification and Expression of the CorA/MRS2/ALR Type Magnesium Transporters in Tomato.

作者信息

Liu Wen, Khan Shahbaz, Tong Mengying, Hu Haiyan, Yin Liyan, Huang Jiaquan

机构信息

Hainan Key Laboratory for Sustainable Utilization of Tropical Bioresource, College of Tropical Crops, Hainan University, Haikou 570228, China.

Hainan Key Laboratory for Sustainable Utilization of Tropical Bioresources, School of Life Sciences, Hainan University, Haikou 570228, China.

出版信息

Plants (Basel). 2023 Jun 30;12(13):2512. doi: 10.3390/plants12132512.

Abstract

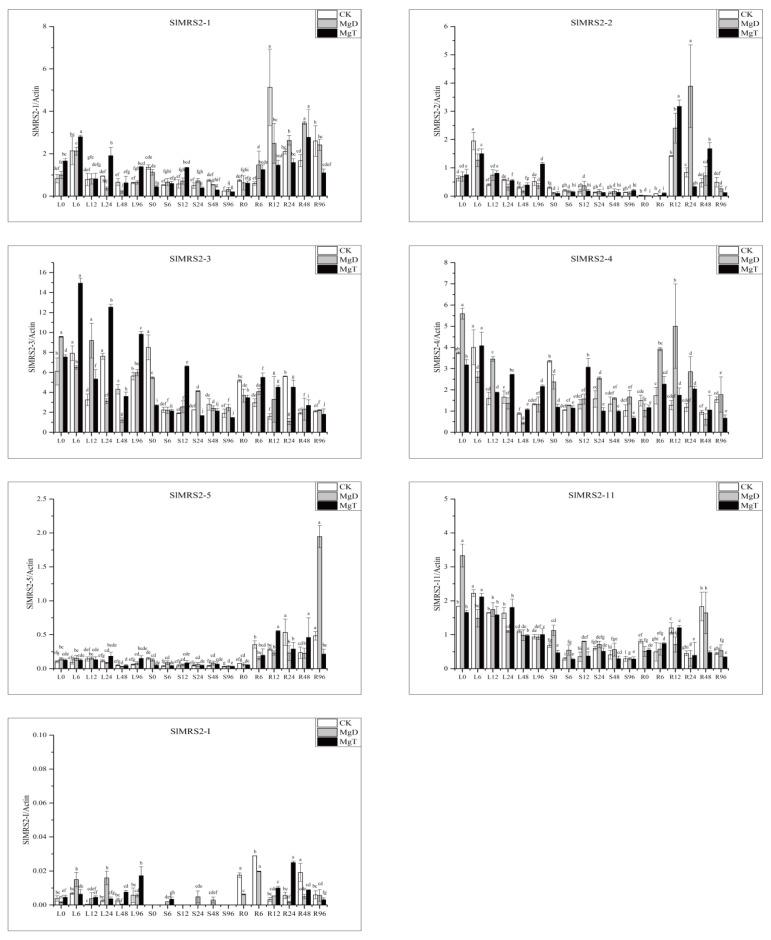
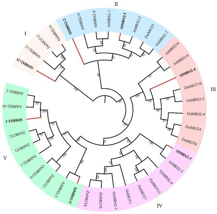
Magnesium (Mg) is the most abundant divalent ion in plants, participating in numerous metabolic processes in growth and development. CorA/MRS2/ALR type Mg transporters are essential for maintaining Mg homeostasis in plants. However, the candidate protein and its potential functions in the tomato plant have not been fully understood. In this study, we identified seven MGT genes () in tomato based on sequence similarity, domain analysis, conserved motif identification, and structure prediction. Two genes were analyzed in the bacterial strain MM281, and a functional complementary assay demonstrated their high-affinity transport of Mg. Quantitative real-time PCR analysis revealed that the expressions of these Mg transporters were down-regulated in leaves under Mg limitation, with a greater impact on lower and middle leaves compared to young leaves. Conversely, under Mg toxicity, several genes were up-regulated in leaves with a circadian rhythm. Our findings indicate that members of the SlMRS2 family function as Mg transporters and lay the groundwork for further analysis of their distinct functions in tomato.

摘要

镁(Mg)是植物中含量最丰富的二价离子,参与生长发育中的众多代谢过程。CorA/MRS2/ALR型镁转运蛋白对于维持植物体内镁的稳态至关重要。然而,番茄植株中的候选蛋白及其潜在功能尚未完全明确。在本研究中,我们基于序列相似性、结构域分析、保守基序鉴定和结构预测,在番茄中鉴定出了7个MGT基因()。对两个基因在细菌菌株MM281中进行了分析,功能互补试验证明它们对镁具有高亲和力转运作用。实时定量PCR分析表明,在镁缺乏条件下,这些镁转运蛋白在叶片中的表达下调,与幼叶相比,对下部和中部叶片的影响更大。相反,在镁毒性条件下,一些基因在叶片中呈昼夜节律上调。我们的研究结果表明,SlMRS2家族成员作为镁转运蛋白发挥作用,为进一步分析它们在番茄中的独特功能奠定了基础。

https://cdn.ncbi.nlm.nih.gov/pmc/blobs/37db/10347230/edc2c3f8616e/plants-12-02512-g001.jpg

文献检索

告别复杂PubMed语法,用中文像聊天一样搜索,搜遍4000万医学文献。AI智能推荐,让科研检索更轻松。

立即免费搜索

文件翻译

保留排版,准确专业,支持PDF/Word/PPT等文件格式,支持 12+语言互译。

免费翻译文档

深度研究

AI帮你快速写综述,25分钟生成高质量综述,智能提取关键信息,辅助科研写作。

立即免费体验