Suppr超能文献

季节性监测褐藻的挥发性成分和抗氧化活性

Seasonal Monitoring of Volatiles and Antioxidant Activity of Brown Alga .

机构信息

Department of Organic Chemistry, Faculty of Chemistry and Technology, University of Split, R. Boškovića 35, 21000 Split, Croatia.

Department of Marine Studies, University of Split, R. Boškovića 37, 21000 Split, Croatia.

出版信息

Mar Drugs. 2023 Jul 21;21(7):415. doi: 10.3390/md21070415.

Abstract

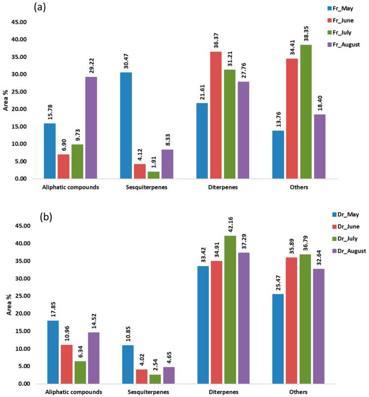
was harvested once a month during its growing season (from May to August) from the Adriatic Sea. Algal volatile organic compounds (VOCs) were obtained by headspace solid-phase microextraction (HS-SPME) and hydrodistillation (HD) and analysed by gas chromatography and mass spectrometry (GC-MS). The effects of air drying and growing season on VOCs were determined. Two different extraction methods (ultrasound-assisted extraction (UAE) and microwave-assisted extraction (MAE)) were used to obtain ethanolic extracts of . In addition, the seasonal antioxidant potential of the extracts was determined, and non-volatile compounds were identified from the most potent antioxidant extract. Aliphatic compounds (e.g., pentadecane) were predominantly found by HS-SPME/GC-MS. Hydrocarbons were more than twice as abundant in the dry samples (except in May). Aliphatic alcohols (e.g., hexan-1-ol, octan-1-ol, and oct-1-en-3-ol) were present in high percentages and were more abundant in the fresh samples. Hexanal, heptanal, nonanal, and tridecanal were also found. Aliphatic ketones (octan-3-one, 6-methylhept-5-en-2-one, and (,)-octa-3,5-dien-2-one) were more abundant in the fresh samples. Benzene derivatives (e.g., benzyl alcohol and benzaldehyde) were dominant in the fresh samples from May and August. ()-Verbenol and -cymen-8-ol were the most abundant in dry samples in May. HD revealed aliphatic compounds (e.g., heptadecane, pentadecanal, ()-heptadec-8-ene, ()-heptadec-3-ene), sesquiterpenes (germacrene D, epi-bicyclosesquiphellandrene, gleenol), diterpenes (phytol, pachydictyol A, ()-geranyl geraniol, cembra-4,7,11,15-tetraen-3-ol), and others. Among them, terpenes were the most abundant (except for July). Seasonal variations in the antioxidant activity of the ethanolic extracts were evaluated via different assays. MAE extracts showed higher peroxyl radical inhibition activity from 55.1 to 74.2 µM TE (Trolox equivalents). The highest reducing activity (293.8 µM TE) was observed for the May sample. Therefore, the May MAE extract was analysed via high-performance liquid chromatography with high-resolution mass spectrometry and electrospray ionisation (UHPLC-ESI-HRMS). In total, 17 fatty acid derivatives, 9 pigments and derivatives, and 2 steroid derivatives were found. The highest content of pheophorbide and fucoxanthin, as well as the presence of other pigment derivatives, could be related to the observed antioxidant activity.

摘要

从亚得里亚海采集的藻类每月收获一次,生长季节为 5 月至 8 月。采用顶空固相微萃取(HS-SPME)和水蒸馏(HD)提取藻类挥发性有机化合物(VOCs),并用气相色谱和质谱(GC-MS)进行分析。确定了空气干燥和生长季节对 VOCs 的影响。使用两种不同的提取方法(超声辅助提取(UAE)和微波辅助提取(MAE))从. 中获得乙醇提取物。此外,还测定了提取物的季节性抗氧化能力,并从最有效的抗氧化提取物中鉴定出非挥发性化合物。通过 HS-SPME/GC-MS 主要发现了脂族化合物(例如十五烷)。在干燥样品中,碳氢化合物的含量是新鲜样品的两倍多(5 月除外)。脂肪醇(例如己-1-醇,辛-1-醇和辛-1-烯-3-醇)的含量较高,且在新鲜样品中含量较高。还发现了己醛,庚醛,壬醛和十三醛。在新鲜样品中,脂肪酮(辛-3-酮,6-甲基庚-5-烯-2-酮和(,)-辛-3,5-二烯-2-酮)更为丰富。苯衍生物(例如苯甲醇和苯甲醛)在 5 月和 8 月的新鲜样品中占主导地位。()-马鞭草醇和 -倍半水芹-8-醇在 5 月的干燥样品中含量最多。HD 揭示了脂族化合物(例如十七烷,十五烷醛,()-十七-8-烯,()-十七-3-烯),倍半萜(大根香叶烯 D,表双环倍半水芹烯,金合欢醇),二萜(叶绿醇, pachydictyol A,()-香叶基香叶醇,cembra-4,7,11,15-四烯-3-醇)和其他萜类化合物。其中,萜类化合物的含量最高(7 月除外)。通过不同的测定方法评估了乙醇提取物的抗氧化活性的季节性变化。MAE 提取物的过氧自由基抑制活性从 55.1 至 74.2 µM TE(Trolox 当量)。5 月样品的还原活性最高(293.8 µM TE)。因此,使用高效液相色谱法与高分辨率质谱和电喷雾电离(UHPLC-ESI-HRMS)对 5 月 MAE 提取物进行了分析。总共发现了 17 种脂肪酸衍生物,9 种色素和衍生物以及 2 种甾体衍生物。叶绿素 bide 和岩藻黄质的含量最高,以及其他色素衍生物的存在可能与观察到的抗氧化活性有关。

https://cdn.ncbi.nlm.nih.gov/pmc/blobs/b92a/10381622/6829f70f70c5/marinedrugs-21-00415-g001.jpg

文献AI研究员

20分钟写一篇综述,助力文献阅读效率提升50倍。

立即体验

用中文搜PubMed

大模型驱动的PubMed中文搜索引擎

马上搜索

文档翻译

学术文献翻译模型,支持多种主流文档格式。

立即体验