Suppr超能文献

肾脏和血液疾病患儿患者报告结局与体验的综合收集:一项试点研究。

Integrated Collection of Patient-Reported Outcomes and Experiences in Children with Kidney and Hematological Diseases: A Pilot Study.

作者信息

Ažukaitis Karolis, Puronaitė Roma, Vaitkevičienė Goda Elizabeta, Trinkūnas Justas, Jankauskienė Augustina, Jankauskienė Danguolė

机构信息

Clinic of Pediatrics, Faculty of Medicine, Vilnius University, 03101 Vilnius, Lithuania.

Vilnius University Hospital Santaros Klinikos, 08406 Vilnius, Lithuania.

出版信息

Children (Basel). 2023 Jul 19;10(7):1245. doi: 10.3390/children10071245.

Abstract

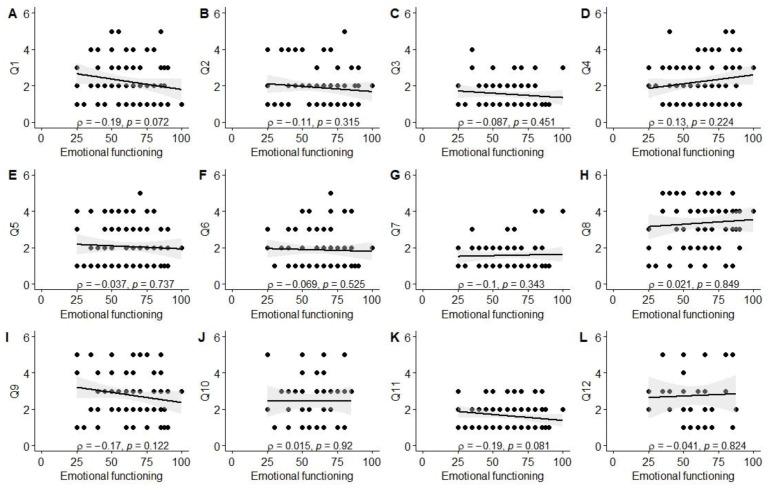
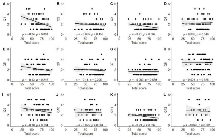
We aimed to explore the feasibility and potential relevance of integrated electronic collection of patient-reported outcome and experience measures (PROM and PREM) in children with special healthcare needs (CSHCN) by using the example of children with kidney and hematological diseases. We performed a cross-sectional, single-center study of children <18 years of age. Children (≥10 years) and their parents received Generic PedsQL Core Scale 4.0 and custom PREM surveys to their email addresses via the REDCap platform, and the results were integrated into the hospital's electronic health records system. A total of 192 patients (98 with kidney diseases and 94 with hematological diseases) were enrolled. The overall response rate was 51%, and the median time for completion of each proxy questionnaire was approximately three minutes. The lowest PROM scores were observed in the emotional and school functioning dimensions. More favorable experiences in the diagnosis establishment process were associated with higher scores in physical, social, school functioning, and total PROM scores. A better evaluation of the hospital's environment was associated with higher social functioning, while better information provision correlated with higher physical functioning and total PROM scores. Our data indicates that integrated electronic collection of PROMs and PREMs in the population of CSHCN is feasible, but efforts to increase the response rate are needed. The associations between PROMs and PREMs suggest that future studies exploring targeted interventions at the healthcare service level to improve subjective patient outcomes are needed.

摘要

我们旨在以患有肾脏疾病和血液疾病的儿童为例,探讨针对有特殊医疗需求的儿童(CSHCN)整合电子收集患者报告结局和体验指标(PROM和PREM)的可行性及潜在相关性。我们对18岁以下儿童进行了一项横断面单中心研究。10岁及以上的儿童及其父母通过REDCap平台接收了通用儿童生活质量核心量表4.0和定制的PREM调查问卷至其电子邮箱地址,结果被整合到医院的电子健康记录系统中。共纳入192例患者(98例患有肾脏疾病,94例患有血液疾病)。总体回复率为51%,每份代理问卷的完成时间中位数约为3分钟。在情感和学校功能维度观察到最低的PROM分数。在确诊过程中更有利的体验与身体、社交、学校功能及PROM总分的较高分数相关。对医院环境更好的评价与更高的社交功能相关,而更好的信息提供与更高的身体功能及PROM总分相关。我们的数据表明,在CSHCN人群中整合电子收集PROM和PREM是可行的,但需要努力提高回复率。PROM和PREM之间的关联表明,未来需要开展研究探索在医疗服务层面进行有针对性的干预措施,以改善患者主观结局。

https://cdn.ncbi.nlm.nih.gov/pmc/blobs/af25/10377830/45fb8628be32/children-10-01245-g0A1.jpg

文献AI研究员

20分钟写一篇综述,助力文献阅读效率提升50倍。

立即体验

用中文搜PubMed

大模型驱动的PubMed中文搜索引擎

马上搜索

文档翻译

学术文献翻译模型,支持多种主流文档格式。

立即体验