• 文献检索
  • 文档翻译
  • 深度研究
  • 学术资讯
  • Suppr Zotero 插件Zotero 插件
  • 邀请有礼
  • 套餐&价格
  • 历史记录
应用&插件
Suppr Zotero 插件Zotero 插件浏览器插件Mac 客户端Windows 客户端微信小程序
定价
高级版会员购买积分包购买API积分包
服务
文献检索文档翻译深度研究API 文档MCP 服务
关于我们
关于 Suppr公司介绍联系我们用户协议隐私条款
关注我们

Suppr 超能文献

核心技术专利:CN118964589B侵权必究
粤ICP备2023148730 号-1Suppr @ 2026

文献检索

告别复杂PubMed语法,用中文像聊天一样搜索,搜遍4000万医学文献。AI智能推荐,让科研检索更轻松。

立即免费搜索

文件翻译

保留排版,准确专业,支持PDF/Word/PPT等文件格式,支持 12+语言互译。

免费翻译文档

深度研究

AI帮你快速写综述,25分钟生成高质量综述,智能提取关键信息,辅助科研写作。

立即免费体验

橡木初始处理对提高室外透明涂层系统耐久性的影响

The Influence of the Initial Treatment of Oak Wood on Increasing the Durability of Exterior Transparent Coating Systems.

作者信息

Dvořák Ondřej, Kvietková Monika Sarvašová, Šimůnková Kristýna, Machanec Ondřej, Pánek Miloš, Pastierovič Filip, Lin Chia-Feng, Jones Dennis

机构信息

Department of Wood Processing and Biomaterials, Faculty of Forestry and Wood Sciences, Czech University of Life Sciences, Kamýcká 1176, 165 00 Prague, Czech Republic.

Department of Engineering Sciences and Mathematics, Wood Science and Engineering, Lulea University of Technology, Forskargatan 1, SE-931 87 Skellefteå, Sweden.

出版信息

Polymers (Basel). 2023 Jul 30;15(15):3251. doi: 10.3390/polym15153251.

DOI:10.3390/polym15153251
PMID:37571145
原文链接:https://pmc.ncbi.nlm.nih.gov/articles/PMC10422248/
Abstract

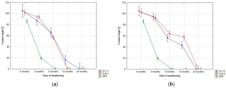
This study determined the impact of undertaking an initial treatment of oak wood by sealing its surface pores with epoxy resin, focusing on the durability of transparent coating systems when exposed outdoors. Throughout the exposure period, various parameters including color, gloss, surface wettability, and both macroscopic and microscopic surface evaluation were continuously monitored. The study involved two sets of samples: one set underwent the pretreatment, while the other did not. Subsequently, four coating systems were applied to the samples, comprising two solvent-based and two water-based coatings. The experiment was conducted over a period of two years, utilizing natural weathering methods within the premises of the Czech University of Life Sciences in Prague. The pretreatment with epoxy resin exhibited enhanced durability for all paint systems. The analysis showed a significant difference in gloss and color after 12 months of weathering exposure without any significant effect on surface wettability and sealing. However, after 24 months of the weathering exposure, no significant differences between the sealed and unsealed surface were observed. The most significant change in properties was noted for the water-based coatings used in coating systems number 3 and 4, and these coatings were rated as the best.

摘要

本研究通过用环氧树脂密封橡木表面孔隙来确定对橡木进行初始处理的影响,重点关注透明涂层系统在户外暴露时的耐久性。在整个暴露期间,持续监测各种参数,包括颜色、光泽度、表面润湿性以及宏观和微观表面评估。该研究涉及两组样品:一组进行预处理,另一组未进行预处理。随后,将四种涂层系统应用于样品,包括两种溶剂型和两种水性涂料。实验在两年时间内进行,利用布拉格捷克生命科学大学内的自然风化方法。用环氧树脂进行的预处理对所有涂料系统均显示出更高的耐久性。分析表明,风化暴露12个月后,光泽度和颜色存在显著差异,但对表面润湿性和密封性没有任何显著影响。然而,在风化暴露24个月后,未观察到密封表面和未密封表面之间存在显著差异。涂层系统3和4中使用的水性涂料的性能变化最为显著,这些涂料被评为最佳。

https://cdn.ncbi.nlm.nih.gov/pmc/blobs/4220/10422248/1189ba2eb23a/polymers-15-03251-g006a.jpg
https://cdn.ncbi.nlm.nih.gov/pmc/blobs/4220/10422248/ee92e0b46424/polymers-15-03251-g001.jpg
https://cdn.ncbi.nlm.nih.gov/pmc/blobs/4220/10422248/e791f03d7f52/polymers-15-03251-g002.jpg
https://cdn.ncbi.nlm.nih.gov/pmc/blobs/4220/10422248/ab36ec8b4fcd/polymers-15-03251-g003.jpg
https://cdn.ncbi.nlm.nih.gov/pmc/blobs/4220/10422248/efe039e4bf68/polymers-15-03251-g004.jpg
https://cdn.ncbi.nlm.nih.gov/pmc/blobs/4220/10422248/3b1c235521e2/polymers-15-03251-g005.jpg
https://cdn.ncbi.nlm.nih.gov/pmc/blobs/4220/10422248/1189ba2eb23a/polymers-15-03251-g006a.jpg
https://cdn.ncbi.nlm.nih.gov/pmc/blobs/4220/10422248/ee92e0b46424/polymers-15-03251-g001.jpg
https://cdn.ncbi.nlm.nih.gov/pmc/blobs/4220/10422248/e791f03d7f52/polymers-15-03251-g002.jpg
https://cdn.ncbi.nlm.nih.gov/pmc/blobs/4220/10422248/ab36ec8b4fcd/polymers-15-03251-g003.jpg
https://cdn.ncbi.nlm.nih.gov/pmc/blobs/4220/10422248/efe039e4bf68/polymers-15-03251-g004.jpg
https://cdn.ncbi.nlm.nih.gov/pmc/blobs/4220/10422248/3b1c235521e2/polymers-15-03251-g005.jpg
https://cdn.ncbi.nlm.nih.gov/pmc/blobs/4220/10422248/1189ba2eb23a/polymers-15-03251-g006a.jpg

相似文献

1
The Influence of the Initial Treatment of Oak Wood on Increasing the Durability of Exterior Transparent Coating Systems.橡木初始处理对提高室外透明涂层系统耐久性的影响
Polymers (Basel). 2023 Jul 30;15(15):3251. doi: 10.3390/polym15153251.
2
Durability of the Exterior Transparent Coatings on Nano-Photostabilized English Oak Wood and Possibility of Its Prediction before Artificial Accelerated Weathering.纳米光稳定英国橡木木材表面透明涂层的耐久性及其在人工加速老化前的预测可能性
Nanomaterials (Basel). 2019 Nov 5;9(11):1568. doi: 10.3390/nano9111568.
3
Surface Characteristics and Artificial Weathering Resistance of Oil-Based Coatings on the Chemically and Thermally Modified Short-Rotation Teak Wood.化学和热改性短轮伐期柚木上油基涂料的表面特性及耐人工老化性能
Materials (Basel). 2024 Aug 5;17(15):3881. doi: 10.3390/ma17153881.
4
Tung Oil Wood Finishes with Improved Weathering, Durability, and Scratch Performance by Addition of Cellulose Nanocrystals.添加纤维素纳米晶体提高桐油木家具的耐候性、耐久性和抗划伤性能。
ACS Appl Mater Interfaces. 2017 Jul 26;9(29):24936-24946. doi: 10.1021/acsami.7b04931. Epub 2017 Jul 17.
5
Preparation, Surface Characterization, and Water Resistance of Silicate and Sol-Silicate Inorganic-Organic Hybrid Dispersion Coatings for Wood.用于木材的硅酸盐和溶胶-硅酸盐无机-有机杂化分散体涂层的制备、表面表征及耐水性
Materials (Basel). 2021 Jun 25;14(13):3559. doi: 10.3390/ma14133559.
6
Evaluating performance, degradation, and release behavior of a nanoform pigmented coating after natural and accelerated weathering.评估纳米颜料涂层在自然和加速老化后的性能、降解及释放行为。
NanoImpact. 2020;17. doi: https://doi.org/10.1016/j.impact.2019.100199.
7
Preparation of a Fast Water-Based UV Cured Polyurethane-Acrylate Wood Coating and the Effect of Coating Amount on the Surface Properties of Oak ( L.).一种快速水基紫外光固化聚氨酯丙烯酸酯木材涂料的制备及其涂布量对橡木(L.)表面性能的影响
Polymers (Basel). 2019 Aug 28;11(9):1414. doi: 10.3390/polym11091414.
8
Enhancing Weathering Resistance of Wood-A Review.提高木材耐候性——综述
Polymers (Basel). 2021 Jun 17;13(12):1980. doi: 10.3390/polym13121980.
9
Cellulose Nano Crystals (CNC) as Additive for a Bio-Based Waterborne Acrylic Wood Coating: Decay, Artificial Weathering, Physical and Chemical Tests.纤维素纳米晶体(CNC)作为一种生物基水性丙烯酸木器涂料的添加剂:腐朽、人工老化、物理和化学测试
Nanomaterials (Basel). 2023 Jan 21;13(3):442. doi: 10.3390/nano13030442.
10
The Effect of Polyacrylate Emulsion Coating with Unmodified and Modified Nano-TiO on Weathering Resistance of Untreated and Heat-Treated Wood.未改性和改性纳米TiO的聚丙烯酸酯乳液涂层对未处理和热处理木材耐候性的影响
Polymers (Basel). 2024 Feb 14;16(4):511. doi: 10.3390/polym16040511.

本文引用的文献

1
Wood Surface Finishing with Transparent Lacquers Intended for Indoor Use, and the Colour Resistance of These Surfaces during Accelerated Aging.用于室内的透明漆对木材表面的涂饰以及这些表面在加速老化过程中的耐色牢度。
Polymers (Basel). 2023 Feb 1;15(3):747. doi: 10.3390/polym15030747.
2
Lavender oil as eco-friendly alternative to protect wood against termites without negative effect on wood properties.薰衣草油作为环保替代品,可防止木材受到白蚁侵害,而不会对木材性能产生负面影响。
Sci Rep. 2022 Feb 3;12(1):1909. doi: 10.1038/s41598-022-05959-5.
3
Comparison on the Aging of Woods Exposed to Natural Sunlight and Artificial Xenon Light.
暴露于自然阳光和人工氙灯下木材老化的比较
Polymers (Basel). 2019 Apr 18;11(4):709. doi: 10.3390/polym11040709.
4
Colour Stabilization of Oak, Spruce, Larch and Douglas Fir Heartwood Treated with Mixtures of Nanoparticle Dispersions and UV-Stabilizers after Exposure to UV and VIS-Radiation.纳米颗粒分散体与紫外线稳定剂混合物处理后的橡木、云杉、落叶松和花旗松心材在暴露于紫外线和可见光辐射后的颜色稳定性
Materials (Basel). 2018 Sep 7;11(9):1653. doi: 10.3390/ma11091653.