Suppr超能文献

基于小波变换和经验模态分解的感应电机转子轻微匝间短路高效故障检测

Efficient Fault Detection of Rotor Minor Inter-Turn Short Circuit in Induction Machines Using Wavelet Transform and Empirical Mode Decomposition.

作者信息

Rehman Attiq Ur, Jiao Weidong, Sun Jianfeng, Sohaib Muhammad, Jiang Yonghua, Shahzadi Mahnoor, Khan Muhammad Ijaz

机构信息

School of Computer Science and Technology, Zhejiang Normal University, Jinhua 321004, China.

Zhejiang Institute of Photoelectronics & Zhejiang Institute for Advanced Light Source, Zhejiang Normal University, Jinhua 321004, China.

出版信息

Sensors (Basel). 2023 Aug 11;23(16):7109. doi: 10.3390/s23167109.

Abstract

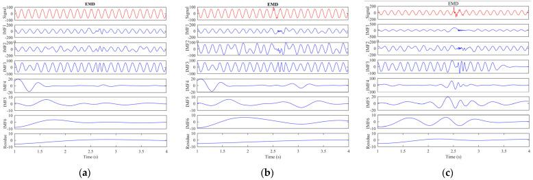
This paper introduces a novel approach for detecting inter-turn short-circuit faults in rotor windings using wavelet transformation and empirical mode decomposition. A MATLAB/Simulink model is developed based on electrical parameters to simulate the inter-turn short circuit by adding a resistor parallel to phase "a" of the rotor. The resulting high current in the new phase indicates the presence of the short circuit. By measuring the rotor and stator three-phase currents, the fault can be detected as the currents exhibit asymmetric behavior. Fluctuations in the electromagnetic torque also occur during the fault. The wavelet transform is applied to the rotor current, revealing an effective analysis of sideband frequency components. Specifically, changes in amplitude and frequency, particularly in d7 and a7, indicate the presence of harmonics generated by the inter-turn short circuit. The simulation results demonstrate the effectiveness of wavelet transformation in analyzing these frequency components. Additionally, this study explores the use of empirical mode decomposition to detect faults in their early stages, observing substantial changes in the instantaneous amplitudes of the first three intrinsic mode functions during fault onset. The proposed technique is straightforward and reliable, making it suitable for application in wind turbines with simple electrical inputs.

摘要

本文介绍了一种利用小波变换和经验模态分解来检测转子绕组匝间短路故障的新方法。基于电气参数开发了一个MATLAB/Simulink模型,通过在转子“a”相并联一个电阻来模拟匝间短路。新相中产生的大电流表明存在短路。通过测量转子和定子三相电流,由于电流表现出不对称行为,所以可以检测到故障。故障期间电磁转矩也会出现波动。将小波变换应用于转子电流,揭示了对边带频率分量的有效分析。具体而言,幅度和频率的变化,特别是在d7和a7中的变化,表明存在由匝间短路产生的谐波。仿真结果证明了小波变换在分析这些频率分量方面的有效性。此外,本研究探索了使用经验模态分解来在故障早期阶段检测故障,观察到在故障发生时前三个固有模态函数的瞬时幅度有显著变化。所提出的技术简单可靠,适用于具有简单电气输入的风力涡轮机。

https://cdn.ncbi.nlm.nih.gov/pmc/blobs/5e39/10458626/f350a6ee68a6/sensors-23-07109-g001.jpg

文献检索

告别复杂PubMed语法,用中文像聊天一样搜索,搜遍4000万医学文献。AI智能推荐,让科研检索更轻松。

立即免费搜索

文件翻译

保留排版,准确专业,支持PDF/Word/PPT等文件格式,支持 12+语言互译。

免费翻译文档

深度研究

AI帮你快速写综述,25分钟生成高质量综述,智能提取关键信息,辅助科研写作。

立即免费体验