Suppr超能文献

使用对比增强动脉自旋标记测量血脑屏障水交换。

Blood-brain barrier water exchange measurements using contrast-enhanced ASL.

机构信息

Centre for Medical Image Computing, Department of Medical Physics and Biomedical Engineering, University College London, London, UK.

Division of Informatics, Imaging and Data Sciences, School of Health Sciences, Faculty of Biology, Medicine and Health, University of Manchester, Manchester, UK.

出版信息

NMR Biomed. 2023 Nov;36(11):e5009. doi: 10.1002/nbm.5009. Epub 2023 Sep 4.

Abstract

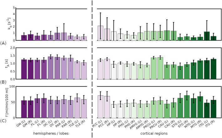
A technique for quantifying regional blood-brain barrier (BBB) water exchange rates using contrast-enhanced arterial spin labelling (CE-ASL) is presented and evaluated in simulations and in vivo. The two-compartment ASL model describes the water exchange rate from blood to tissue, , but to estimate in practice it is necessary to separate the intra- and extravascular signals. This is challenging in standard ASL data owing to the small difference in values. Here, a gadolinium-based contrast agent is used to increase this difference and enable the signal components to be disentangled. The optimal post-contrast blood ( ) at 3 T was determined in a sensitivity analysis, and the accuracy and precision of the method quantified using Monte Carlo simulations. Proof-of-concept data were acquired in six healthy volunteers (five female, age range 24-46 years). The sensitivity analysis identified the optimal at 3 T as 0.8 s. Simulations showed that could be estimated in individual cortical regions with a relative error % and coefficient of variation %; however, a high dependence on blood was also observed. In volunteer data, mean parameter values in grey matter were: arterial transit time  s, cerebral blood flow  mL blood/min/100 mL tissue and water exchange rate s . CE-ASL can provide regional BBB water exchange rate estimates; however, the clinical utility of the technique is dependent on the achievable accuracy of measured values.

摘要

介绍了一种使用对比增强动脉自旋标记(CE-ASL)量化局部血脑屏障(BBB)水交换率的技术,并在模拟和体内进行了评估。双室 ASL 模型描述了水从血液到组织的交换率,但为了在实践中估计 ,有必要分离血管内和血管外信号。由于 值的微小差异,在标准 ASL 数据中,这是具有挑战性的。在这里,使用钆基造影剂来增加这个 差异,从而能够分离信号分量。在灵敏度分析中确定了 3T 时的最佳对比后血液 ( ),并使用蒙特卡罗模拟量化了该方法的准确性和精密度。在六名健康志愿者(五名女性,年龄 24-46 岁)中获得了概念验证数据。灵敏度分析确定了 3T 时的最佳 为 0.8s。模拟表明,可以在个体皮质区域以相对误差 %和变异系数 %估计 ;然而,也观察到对血液的高度依赖性。在志愿者数据中,灰质的平均参数值为:动脉渡越时间 s,脑血流 mL 血液/min/100 mL 组织和水交换率 s。CE-ASL 可以提供局部 BBB 水交换率估计值;然而,该技术的临床实用性取决于可测量 值的准确性。

https://cdn.ncbi.nlm.nih.gov/pmc/blobs/16bb/10909569/d8c7b375a068/NBM-36-e5009-g008.jpg

文献AI研究员

20分钟写一篇综述,助力文献阅读效率提升50倍。

立即体验

用中文搜PubMed

大模型驱动的PubMed中文搜索引擎

马上搜索

文档翻译

学术文献翻译模型,支持多种主流文档格式。

立即体验