Suppr超能文献

新冠疫情期间被部署到长期护理机构的军事人员的道德困扰、心理健康以及风险和复原力因素:研究方案与参与指标

Moral Distress, Mental Health, and Risk and Resilience Factors Among Military Personnel Deployed to Long-Term Care Facilities During the COVID-19 Pandemic: Research Protocol and Participation Metrics.

作者信息

Nazarov Anthony, Fikretoglu Deniz, Liu Aihua, Born Jennifer, Michaud Kathy, Hendriks Tonya, Bélanger Stéphanie Ah, Do Minh T, Lam Quan, Brooks Brenda, King Kristen, Sudom Kerry, Jetly Rakesh, Garber Bryan, Thompson Megan

机构信息

MacDonald Franklin Operational Stress Injury Research Centre, Lawson Health Research Institute, London, ON, Canada.

Department of Psychiatry, Western University, London, ON, Canada.

出版信息

JMIR Res Protoc. 2023 Nov 6;12:e44299. doi: 10.2196/44299.

Abstract

BACKGROUND

The earliest days of the COVID-19 pandemic in Canada were marked by a significant surge in COVID-19 cases and COVID-19-related deaths among residents of long-term care facilities (LTCFs). As part of Canada's response to the COVID-19 pandemic, Canadian Armed Forces (CAF) personnel were mobilized for an initial emergency domestic deployment to the hardest-hit LTCFs (Operation LASER LTCF) to support the remaining civilian staff in ensuring the continued delivery of care to residents. Akin to what was observed following past CAF international humanitarian missions, there was an expected increased risk of exposure to multiple stressors that may be psychologically traumatic and potentially morally injurious in nature (ie, related to core values, eg, witnessing human suffering). Emerging data from health care workers exposed to the unprecedented medical challenges and dilemmas of the early pandemic stages also indicated that such experiences were associated with increased risk of adverse mental health outcomes.

OBJECTIVE

This study aims to identify and quantify the individual-, group-, and organizational-level risk and resilience factors associated with moral distress, moral injury, and traditional mental health and well-being outcomes of Operation LASER LTCF CAF personnel. This paper aimed to document the methodology, implementation procedures, and participation metrics.

METHODS

A multimethod research initiative was conducted consisting of 2 primary data collection studies (a quantitative survey and qualitative interviews). The quantitative arm was a complete enumeration survey with web-based, self-report questionnaires administered at 3 time points (3, 6, and 12 mo after deployment). The qualitative arm consisted of individual, web-based interviews with a focus on understanding the nuanced lived experiences of individuals participating in the Operation LASER LTCF deployment.

RESULTS

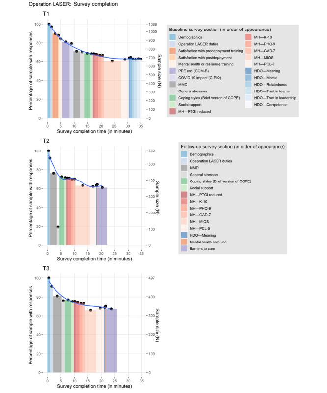
CAF personnel deployed to Operation LASER LTCF (N=2595) were invited to participate in the study. Data collection is now complete. Overall, of the 2595 deployed personnel, 1088 (41.93%), 582 (22.43%), and 497 (19.15%) responded to the survey at time point 1 (3 mo), time point 2 (6 mo), and time point 3 (12 mo) after deployment, respectively. The target sample size for the qualitative interviews was set at approximately 50 considering resourcing and data saturation. Interest in participating in qualitative interviews surpassed expectations, with >200 individuals expressing interest; this allowed for purposive sampling across key characteristics, including gender, rank, Operation LASER LTCF role, and province. In total, 53 interviews were conducted.

CONCLUSIONS

The data generated through this research have the potential to inform and promote better understanding of the well-being and mental health of Operation LASER LTCF personnel over time; identify general and Operation LASER LTCF-specific risk and protective factors; provide necessary support to the military personnel who served in this mission; and inform preparation and interventions for future missions, especially those more domestic and humanitarian in nature.

INTERNATIONAL REGISTERED REPORT IDENTIFIER (IRRID): DERR1-10.2196/44299.

摘要

背景

加拿大新冠疫情初期,长期护理机构(LTCF)的居民中新冠病例和新冠相关死亡人数大幅激增。作为加拿大应对新冠疫情的一部分,加拿大武装部队(CAF)人员被动员起来,首次在国内紧急部署到受灾最严重的长期护理机构(“激光行动 - 长期护理机构”行动),以支持其余文职人员确保继续为居民提供护理。与加拿大武装部队过去的国际人道主义任务后所观察到的情况类似,预计接触多种应激源的风险会增加,这些应激源在心理上可能具有创伤性,在性质上可能具有道德伤害性(即与核心价值观相关,例如目睹人类苦难)。来自医护人员的新数据表明,在疫情早期阶段面临前所未有的医疗挑战和困境的此类经历也与心理健康不良后果风险增加有关。

目的

本研究旨在识别和量化与“激光行动 - 长期护理机构”行动加拿大武装部队人员的道德困扰、道德伤害以及传统心理健康和幸福感结果相关的个人、群体和组织层面的风险及复原力因素。本文旨在记录研究方法、实施程序和参与指标。

方法

开展了一项多方法研究计划,包括两项主要数据收集研究(一项定量调查和定性访谈)。定量部分是一项全面普查,通过基于网络的自我报告问卷在三个时间点(部署后3个月、6个月和12个月)进行。定性部分包括基于网络的个人访谈,重点是了解参与“激光行动 - 长期护理机构”行动的个人的细微生活经历。

结果

被部署到“激光行动 - 长期护理机构”的加拿大武装部队人员(N = 2595)受邀参与研究。数据收集现已完成。总体而言,在2595名被部署人员中,分别有1088人(41.93%)、582人(22.43%)和497人(19.15%)在部署后的时间点1(3个月)、时间点2(6个月)和时间点3(12个月)对调查做出了回应。考虑到资源和数据饱和度,定性访谈的目标样本量设定为约50人。参与定性访谈的兴趣超过预期,有200多人表示感兴趣;这使得能够根据关键特征进行目的抽样,包括性别、军衔、“激光行动 - 长期护理机构”角色和省份。总共进行了53次访谈。

结论

通过这项研究产生的数据有可能随着时间的推移为更好地了解“激光行动 - 长期护理机构”人员的幸福感和心理健康提供信息并促进理解;识别一般和“激光行动 - 长期护理机构”特有的风险和保护因素;为参与这项任务的军事人员提供必要支持;并为未来任务的准备和干预提供信息,特别是那些更具国内性质和人道主义性质的任务。

国际注册报告识别号(IRRID):DERR1 - 10.2196/44299。

https://cdn.ncbi.nlm.nih.gov/pmc/blobs/28c2/10629501/f7a02070cb50/resprot_v12i1e44299_fig1.jpg

文献AI研究员

20分钟写一篇综述,助力文献阅读效率提升50倍。

立即体验

用中文搜PubMed

大模型驱动的PubMed中文搜索引擎

马上搜索

文档翻译

学术文献翻译模型,支持多种主流文档格式。

立即体验