• 文献检索
  • 文档翻译
  • 深度研究
  • 学术资讯
  • Suppr Zotero 插件Zotero 插件
  • 邀请有礼
  • 套餐&价格
  • 历史记录
应用&插件
Suppr Zotero 插件Zotero 插件浏览器插件Mac 客户端Windows 客户端微信小程序
定价
高级版会员购买积分包购买API积分包
服务
文献检索文档翻译深度研究API 文档MCP 服务
关于我们
关于 Suppr公司介绍联系我们用户协议隐私条款
关注我们

Suppr 超能文献

核心技术专利:CN118964589B侵权必究
粤ICP备2023148730 号-1Suppr @ 2026

文献检索

告别复杂PubMed语法,用中文像聊天一样搜索,搜遍4000万医学文献。AI智能推荐,让科研检索更轻松。

立即免费搜索

文件翻译

保留排版,准确专业,支持PDF/Word/PPT等文件格式,支持 12+语言互译。

免费翻译文档

深度研究

AI帮你快速写综述,25分钟生成高质量综述,智能提取关键信息,辅助科研写作。

立即免费体验

16 个国家 65 岁及以上人群的业余爱好参与和心理健康状况。

Hobby engagement and mental wellbeing among people aged 65 years and older in 16 countries.

机构信息

Department of Behavioural Science and Health, Institute of Epidemiology & Health Care, University College London, London, UK.

Department of Social Science, Center for Gerontology and Social Science, Research Institute, National Center for Geriatrics and Gerontology, Obu, Japan.

出版信息

Nat Med. 2023 Sep;29(9):2233-2240. doi: 10.1038/s41591-023-02506-1. Epub 2023 Sep 11.

DOI:10.1038/s41591-023-02506-1
PMID:37696932
原文链接:https://pmc.ncbi.nlm.nih.gov/articles/PMC10504079/
Abstract

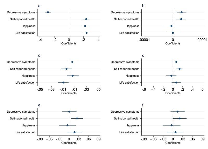
Growing aging populations pose a threat to global health because of the social and psychological challenges they experience. To mitigate this, many countries promote hobby engagement to support and improve mental health. Yet, it remains unclear whether there is consistency in benefits across different national settings. We harmonized measures of hobby engagement and multiple aspects of mental wellbeing across 16 nations represented in five longitudinal studies (N = 93,263). Prevalence of hobby engagement varied substantially across countries, from 51.0% of Spanish respondents to 96.0% of Danish respondents. Fixed effects models and multinational meta-analyses were applied to compare the longitudinal associations between hobbies and mental wellbeing. Independent of confounders, having a hobby was associated with fewer depressive symptoms (pooled coefficient = -0.10; 95% confidence intervals (CI) = -0.13, -0.07), and higher levels of self-reported health (pooled coefficient = 0.06; 95% CI = 0.03, 0.08), happiness (pooled coefficient = 0.09; 95% CI = 0.06, 0.13) and life satisfaction (pooled coefficient = 0.10; 95% CI = 0.08, 0.12). Further analyses suggested a temporal relationship. The strength of these associations, and prevalence of hobby engagement, were correlated with macrolevel factors such as life expectancy and national happiness levels but overall, little variance in findings was explained by country-level factors (<9%). Given the relative universality of findings, ensuring equality in hobby engagement within and between countries should be a priority for promoting healthy aging.

摘要

人口老龄化对全球健康构成威胁,因为他们面临社会和心理挑战。为了减轻这种威胁,许多国家提倡参与业余爱好,以支持和改善心理健康。然而,不同国家的业余爱好对健康的益处是否一致尚不清楚。我们在五项纵向研究中(N=93263),协调了业余爱好参与度和心理健康多个方面的衡量标准,这些研究代表了 16 个国家。业余爱好的参与率在各国之间差异很大,西班牙的受访者中有 51.0%,丹麦的受访者中有 96.0%。我们应用固定效应模型和跨国元分析来比较业余爱好与心理健康之间的纵向关联。在排除混杂因素后,有业余爱好与较少的抑郁症状相关(汇总系数=-0.10;95%置信区间(CI)=-0.13,-0.07),以及更高水平的自我报告健康(汇总系数=0.06;95%CI=0.03,0.08)、幸福感(汇总系数=0.09;95%CI=0.06,0.13)和生活满意度(汇总系数=0.10;95%CI=0.08,0.12)。进一步的分析表明存在时间关系。这些关联的强度和业余爱好的参与率与预期寿命和国家幸福水平等宏观因素相关,但总体而言,国家层面的因素仅能解释很小一部分(<9%)发现的差异。鉴于研究结果的相对普遍性,确保各国和各国之间在业余爱好参与方面的平等应该是促进健康老龄化的优先事项。

https://cdn.ncbi.nlm.nih.gov/pmc/blobs/f6af/10504079/2cba1b7a1dd5/41591_2023_2506_Fig13_ESM.jpg
https://cdn.ncbi.nlm.nih.gov/pmc/blobs/f6af/10504079/4eaf139c6d2b/41591_2023_2506_Fig1_HTML.jpg
https://cdn.ncbi.nlm.nih.gov/pmc/blobs/f6af/10504079/dbd275517651/41591_2023_2506_Fig2_HTML.jpg
https://cdn.ncbi.nlm.nih.gov/pmc/blobs/f6af/10504079/3e07e600fa77/41591_2023_2506_Fig3_HTML.jpg
https://cdn.ncbi.nlm.nih.gov/pmc/blobs/f6af/10504079/a0e187ce222b/41591_2023_2506_Fig4_ESM.jpg
https://cdn.ncbi.nlm.nih.gov/pmc/blobs/f6af/10504079/f5fdc4e044d1/41591_2023_2506_Fig5_ESM.jpg
https://cdn.ncbi.nlm.nih.gov/pmc/blobs/f6af/10504079/78622496a9e2/41591_2023_2506_Fig6_ESM.jpg
https://cdn.ncbi.nlm.nih.gov/pmc/blobs/f6af/10504079/fdf54aad13c3/41591_2023_2506_Fig7_ESM.jpg
https://cdn.ncbi.nlm.nih.gov/pmc/blobs/f6af/10504079/8e022f6d4861/41591_2023_2506_Fig8_ESM.jpg
https://cdn.ncbi.nlm.nih.gov/pmc/blobs/f6af/10504079/9efeae48aba5/41591_2023_2506_Fig9_ESM.jpg
https://cdn.ncbi.nlm.nih.gov/pmc/blobs/f6af/10504079/3b0807ae17ab/41591_2023_2506_Fig10_ESM.jpg
https://cdn.ncbi.nlm.nih.gov/pmc/blobs/f6af/10504079/7d07d3b0c991/41591_2023_2506_Fig11_ESM.jpg
https://cdn.ncbi.nlm.nih.gov/pmc/blobs/f6af/10504079/27167ba5ae83/41591_2023_2506_Fig12_ESM.jpg
https://cdn.ncbi.nlm.nih.gov/pmc/blobs/f6af/10504079/2cba1b7a1dd5/41591_2023_2506_Fig13_ESM.jpg
https://cdn.ncbi.nlm.nih.gov/pmc/blobs/f6af/10504079/4eaf139c6d2b/41591_2023_2506_Fig1_HTML.jpg
https://cdn.ncbi.nlm.nih.gov/pmc/blobs/f6af/10504079/dbd275517651/41591_2023_2506_Fig2_HTML.jpg
https://cdn.ncbi.nlm.nih.gov/pmc/blobs/f6af/10504079/3e07e600fa77/41591_2023_2506_Fig3_HTML.jpg
https://cdn.ncbi.nlm.nih.gov/pmc/blobs/f6af/10504079/a0e187ce222b/41591_2023_2506_Fig4_ESM.jpg
https://cdn.ncbi.nlm.nih.gov/pmc/blobs/f6af/10504079/f5fdc4e044d1/41591_2023_2506_Fig5_ESM.jpg
https://cdn.ncbi.nlm.nih.gov/pmc/blobs/f6af/10504079/78622496a9e2/41591_2023_2506_Fig6_ESM.jpg
https://cdn.ncbi.nlm.nih.gov/pmc/blobs/f6af/10504079/fdf54aad13c3/41591_2023_2506_Fig7_ESM.jpg
https://cdn.ncbi.nlm.nih.gov/pmc/blobs/f6af/10504079/8e022f6d4861/41591_2023_2506_Fig8_ESM.jpg
https://cdn.ncbi.nlm.nih.gov/pmc/blobs/f6af/10504079/9efeae48aba5/41591_2023_2506_Fig9_ESM.jpg
https://cdn.ncbi.nlm.nih.gov/pmc/blobs/f6af/10504079/3b0807ae17ab/41591_2023_2506_Fig10_ESM.jpg
https://cdn.ncbi.nlm.nih.gov/pmc/blobs/f6af/10504079/7d07d3b0c991/41591_2023_2506_Fig11_ESM.jpg
https://cdn.ncbi.nlm.nih.gov/pmc/blobs/f6af/10504079/27167ba5ae83/41591_2023_2506_Fig12_ESM.jpg
https://cdn.ncbi.nlm.nih.gov/pmc/blobs/f6af/10504079/2cba1b7a1dd5/41591_2023_2506_Fig13_ESM.jpg

相似文献

1
Hobby engagement and mental wellbeing among people aged 65 years and older in 16 countries.16 个国家 65 岁及以上人群的业余爱好参与和心理健康状况。
Nat Med. 2023 Sep;29(9):2233-2240. doi: 10.1038/s41591-023-02506-1. Epub 2023 Sep 11.
2
Moderating effect of country-level health determinants on the association between hobby engagement and mental health: cross-cohort multi-level models, meta-analyses, and meta-regressions.国家层面健康决定因素对业余爱好参与和心理健康之间关联的调节作用:跨队列多层次模型、荟萃分析和荟萃回归。
Lancet. 2023 Nov;402 Suppl 1:S41. doi: 10.1016/S0140-6736(23)02091-3.
3
The association between hobby engagement and depressive symptoms among Chinese middle-aged and older adults: evidence from the China health and retirement longitudinal study.中国中老年人群体中业余爱好参与与抑郁症状之间的关联:来自中国健康与养老追踪调查的证据。
Front Public Health. 2024 Sep 27;12:1450358. doi: 10.3389/fpubh.2024.1450358. eCollection 2024.
4
Hobby Engagement and Risk of Disabling Dementia.业余爱好参与度与失能性痴呆风险。
J Epidemiol. 2023 Sep 5;33(9):456-463. doi: 10.2188/jea.JE20210489. Epub 2022 Aug 10.
5
Hobby engagement boosts mental health in aging populations.参与爱好活动有助于改善老年人群的心理健康。
Nat Aging. 2023 Nov;3(11):1316. doi: 10.1038/s43587-023-00530-x.
6
The art of aging well: a study of the relationship between recreational arts engagement, general health and mental wellbeing in cohort of Australian older adults.《优雅 ageing 艺术:澳大利亚老年人群体中休闲艺术参与、总体健康和心理健康之间关系研究》。
Front Public Health. 2023 Nov 30;11:1288760. doi: 10.3389/fpubh.2023.1288760. eCollection 2023.
7
Emotional responses and psychological health among young people amid climate change, Fukushima's radioactive water release, and wars in Ukraine and the Middle East, and the mediating roles of media exposure and nature connectedness: a cross-national analysis.气候变化、福岛核污水排放、俄乌战争和中东战争背景下年轻人的情绪反应和心理健康,以及媒体接触和与自然联系的中介作用:一项跨国分析。
Lancet Planet Health. 2024 Jun;8(6):e365-e377. doi: 10.1016/S2542-5196(24)00097-4.
8
The 2023 Latin America report of the Countdown on health and climate change: the imperative for health-centred climate-resilient development.《2023年健康与气候变化倒计时拉丁美洲报告:以健康为中心的气候适应型发展的必要性》
Lancet Reg Health Am. 2024 Apr 23;33:100746. doi: 10.1016/j.lana.2024.100746. eCollection 2024 May.
9
Folic acid supplementation and malaria susceptibility and severity among people taking antifolate antimalarial drugs in endemic areas.在流行地区,服用抗叶酸抗疟药物的人群中,叶酸补充剂与疟疾易感性和严重程度的关系。
Cochrane Database Syst Rev. 2022 Feb 1;2(2022):CD014217. doi: 10.1002/14651858.CD014217.
10
Having hobbies and the risk of cardiovascular disease incidence: A Japan public health center-based study.有爱好与心血管疾病发病风险:一项基于日本公共卫生中心的研究。
Atherosclerosis. 2021 Oct;335:1-7. doi: 10.1016/j.atherosclerosis.2021.09.002. Epub 2021 Sep 3.

引用本文的文献

1
Prevalence and associated factors of mental health among older adults in Guangxi, China: insights from depression, anxiety and cognitive function assessments.中国广西老年人心理健康的患病率及相关因素:来自抑郁、焦虑和认知功能评估的见解
Gen Psychiatr. 2025 Sep 14;38(5):e102220. doi: 10.1136/gpsych-2025-102220. eCollection 2025.
2
Association between neuroticism, genetic susceptibility, and peripheral artery disease risk: a prospective study in UK Biobank.神经质、遗传易感性与外周动脉疾病风险之间的关联:英国生物银行的一项前瞻性研究。
Eur Arch Psychiatry Clin Neurosci. 2025 Sep 16. doi: 10.1007/s00406-025-02111-y.
3
Psychometric analysis of the social connectedness instrument.

本文引用的文献

1
The effect of dance on physical health and cognition in community dwelling older adults: A systematic review and meta-analysis.舞蹈对社区居住老年人身体健康和认知的影响:一项系统评价与荟萃分析。
Arts Health. 2023 Jun;15(2):200-228. doi: 10.1080/17533015.2022.2093929. Epub 2022 Aug 15.
2
What are the active ingredients of 'arts in health' activities? Development of the INgredients iN ArTs in hEalth (INNATE) Framework.“艺术促进健康”活动的有效成分有哪些?“健康领域艺术中的成分”(INNATE)框架的制定。
Wellcome Open Res. 2022 Apr 29;7:10. doi: 10.12688/wellcomeopenres.17414.2. eCollection 2022.
3
Associations between participation in community arts groups and aspects of wellbeing in older adults in the United States: a propensity score matching analysis.
社交联结量表的心理测量分析
Front Psychol. 2025 Jul 11;16:1565267. doi: 10.3389/fpsyg.2025.1565267. eCollection 2025.
4
Hobby engagement and all-cause and cause-specific mortality risk among people aged 50 years and older in 19 countries.19个国家50岁及以上人群的业余爱好参与情况与全因死亡率和特定原因死亡率风险
J Glob Health. 2025 Jul 1;15:04181. doi: 10.7189/jogh.15.04181.
5
Quality of life in older adults is enhanced by piano practice: Results from a randomized controlled trial.钢琴练习可提高老年人的生活质量:一项随机对照试验的结果
Ann N Y Acad Sci. 2025 Aug;1550(1):239-254. doi: 10.1111/nyas.15397. Epub 2025 Jun 26.
6
Multihealth Promotion Programs on Physical Health and Quality of Life in Older Adults: Quasi-Experimental Study.针对老年人身体健康和生活质量的多重健康促进项目:准实验研究
Interact J Med Res. 2025 May 1;14:e65213. doi: 10.2196/65213.
7
Association between physical activity and quality of life in Japanese adults aged 85 to 89 years: a cross-sectional study.85至89岁日本成年人身体活动与生活质量的关联:一项横断面研究。
BMC Geriatr. 2025 Apr 2;25(1):216. doi: 10.1186/s12877-025-05864-2.
8
Longitudinal association between creative arts participation with cognitive function in late life.晚年参与创意艺术活动与认知功能之间的纵向关联。
Int Psychogeriatr. 2025 Feb 21:100048. doi: 10.1016/j.inpsyc.2025.100048.
9
VR Cognitive-based Intervention for Enhancing Cognitive Functions and Well-being in Older Adults with Mild Cognitive Impairment: Behavioral and EEG Evidence.基于虚拟现实认知的干预对改善轻度认知障碍老年人的认知功能和幸福感的影响:行为学和脑电图证据
Psychosoc Interv. 2025 Jan 2;34(1):37-51. doi: 10.5093/pi2025a4. eCollection 2025 Jan.
10
Warm glow feelings can promote green behavior.温暖的愉悦感能促进环保行为。
PNAS Nexus. 2024 Nov 13;3(12):pgae509. doi: 10.1093/pnasnexus/pgae509. eCollection 2024 Dec.
美国参与社区艺术团体与老年人福祉各方面的关联:倾向评分匹配分析。
Aging Ment Health. 2023 Jun;27(6):1163-1172. doi: 10.1080/13607863.2022.2068129. Epub 2022 Apr 26.
4
Association of Music Interventions With Health-Related Quality of Life: A Systematic Review and Meta-analysis.音乐干预与健康相关生活质量的关联:系统评价和荟萃分析。
JAMA Netw Open. 2022 Mar 1;5(3):e223236. doi: 10.1001/jamanetworkopen.2022.3236.
5
Engagement in leisure activities and depression in older adults in the United States: Longitudinal evidence from the Health and Retirement Study.美国老年人的休闲活动参与度与抑郁:来自健康与退休研究的纵向证据。
Soc Sci Med. 2022 Feb;294:114703. doi: 10.1016/j.socscimed.2022.114703. Epub 2022 Jan 7.
6
Difference in predictors and barriers to arts and cultural engagement with age in the United States: A cross-sectional analysis using the Health and Retirement Study.美国不同年龄段参与艺术文化活动的预测因素和障碍的差异:基于健康与退休研究的横断面分析。
PLoS One. 2021 Dec 20;16(12):e0261532. doi: 10.1371/journal.pone.0261532. eCollection 2021.
7
Impact of Different Type and Frequency of Social Participation on Depressive Symptoms Among Older Chinese Adults: Is There a Gender Difference?不同类型和频率的社会参与对中国老年成年人抑郁症状的影响:存在性别差异吗?
Front Psychiatry. 2021 Sep 30;12:758105. doi: 10.3389/fpsyt.2021.758105. eCollection 2021.
8
Volunteer Impact on Health-Related Outcomes for Seniors: a Systematic Review And Meta-Analysis.志愿者对老年人健康相关结局的影响:一项系统评价与荟萃分析
Can Geriatr J. 2021 Mar 2;24(1):44-72. doi: 10.5770/cgj.24.434. eCollection 2021 Mar.
9
How leisure activities affect health: a narrative review and multi-level theoretical framework of mechanisms of action.休闲活动如何影响健康:作用机制的叙事综述和多层次理论框架。
Lancet Psychiatry. 2021 Apr;8(4):329-339. doi: 10.1016/S2215-0366(20)30384-9. Epub 2021 Feb 11.
10
Fixed-Effects Analyses of Time-Varying Associations between Hobbies and Depression in a Longitudinal Cohort Study: Support for Social Prescribing?一项纵向队列研究中爱好与抑郁症之间时变关联的固定效应分析:对社会处方的支持?
Psychother Psychosom. 2020;89(2):111-113. doi: 10.1159/000503571. Epub 2019 Oct 28.