Suppr超能文献

通过机器学习和关联规则挖掘方法揭示 PTBP1 与严重哮喘之间的联系。

Unraveling the link between PTBP1 and severe asthma through machine learning and association rule mining method.

机构信息

Clinical Research Development Unit of Tabriz Valiasr Hospital, Tabriz University of Medical Sciences, Tabriz, Iran.

Kidney Research Center, Tabriz University of Medical Sciences, Tabriz, Iran.

出版信息

Sci Rep. 2023 Sep 16;13(1):15399. doi: 10.1038/s41598-023-42581-5.

Abstract

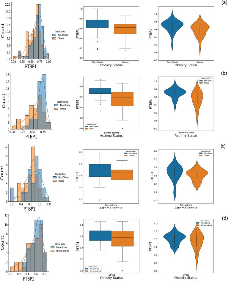
Severe asthma is a chronic inflammatory airway disease with great therapeutic challenges. Understanding the genetic and molecular mechanisms of severe asthma may help identify therapeutic strategies for this complex condition. RNA expression data were analyzed using a combination of artificial intelligence methods to identify novel genes related to severe asthma. Through the ANOVA feature selection approach, 100 candidate genes were selected among 54,715 mRNAs in blood samples of patients with severe asthmatic and healthy groups. A deep learning model was used to validate the significance of the candidate genes. The accuracy, F1-score, AUC-ROC, and precision of the 100 genes were 83%, 0.86, 0.89, and 0.9, respectively. To discover hidden associations among selected genes, association rule mining was applied. The top 20 genes including the PTBP1, RAB11FIP3, APH1A, and MYD88 were recognized as the most frequent items among severe asthma association rules. The PTBP1 was found to be the most frequent gene associated with severe asthma among those 20 genes. PTBP1 was the gene most frequently associated with severe asthma among candidate genes. Identification of master genes involved in the initiation and development of asthma can offer novel targets for its diagnosis, prognosis, and targeted-signaling therapy.

摘要

严重哮喘是一种慢性炎症性气道疾病,具有很大的治疗挑战。了解严重哮喘的遗传和分子机制可能有助于为这种复杂疾病确定治疗策略。使用人工智能方法组合分析 RNA 表达数据,以鉴定与严重哮喘相关的新基因。通过方差分析特征选择方法,从严重哮喘患者和健康组的血液样本中的 54715 个 mRNAs 中选择了 100 个候选基因。使用深度学习模型验证候选基因的重要性。这 100 个基因的准确性、F1 分数、AUC-ROC 和精度分别为 83%、0.86、0.89 和 0.9。为了发现选定基因之间隐藏的关联,应用了关联规则挖掘。包括 PTBP1、RAB11FIP3、APH1A 和 MYD88 在内的前 20 个基因被认为是严重哮喘关联规则中最常见的项目。在这 20 个基因中,PTBP1 被发现是与严重哮喘最相关的基因。PTBP1 是候选基因中与严重哮喘最相关的基因。鉴定参与哮喘发生和发展的主基因可为其诊断、预后和靶向信号治疗提供新的靶点。

https://cdn.ncbi.nlm.nih.gov/pmc/blobs/97e2/10505163/117a41b002c0/41598_2023_42581_Fig1_HTML.jpg

文献AI研究员

20分钟写一篇综述,助力文献阅读效率提升50倍。

立即体验

用中文搜PubMed

大模型驱动的PubMed中文搜索引擎

马上搜索

文档翻译

学术文献翻译模型,支持多种主流文档格式。

立即体验