• 文献检索
  • 文档翻译
  • 深度研究
  • 学术资讯
  • Suppr Zotero 插件Zotero 插件
  • 邀请有礼
  • 套餐&价格
  • 历史记录
应用&插件
Suppr Zotero 插件Zotero 插件浏览器插件Mac 客户端Windows 客户端微信小程序
定价
高级版会员购买积分包购买API积分包
服务
文献检索文档翻译深度研究API 文档MCP 服务
关于我们
关于 Suppr公司介绍联系我们用户协议隐私条款
关注我们

Suppr 超能文献

核心技术专利:CN118964589B侵权必究
粤ICP备2023148730 号-1Suppr @ 2026

文献检索

告别复杂PubMed语法,用中文像聊天一样搜索,搜遍4000万医学文献。AI智能推荐,让科研检索更轻松。

立即免费搜索

文件翻译

保留排版,准确专业,支持PDF/Word/PPT等文件格式,支持 12+语言互译。

免费翻译文档

深度研究

AI帮你快速写综述,25分钟生成高质量综述,智能提取关键信息,辅助科研写作。

立即免费体验

通过电沉积法制备镍、钴氧化物及镍/钴二元氧化物,并将其用作超级电容器中的无粘结剂电极。

Engineering of nickel, cobalt oxides and nickel/cobalt binary oxides by electrodeposition and application as binder free electrodes in supercapacitors.

作者信息

Abbas Qaisar, Khurshid Hafsa, Yoosuf Rahana, Lawrence Jonathan, Issa Bashar A, Abdelkareem Mohammad Ali, Olabi Abdul Ghani

机构信息

School of Computing, Engineering and Physical Sciences, Institute of Thin Films, Sensors and Imaging, (ITFSI), University of the West of Scotland, Glasgow, PA1 2BE, UK.

Department of Applied Physics and Astronomy, University of Sharjah, Sharjah, 27272, UAE.

出版信息

Sci Rep. 2023 Sep 20;13(1):15654. doi: 10.1038/s41598-023-42647-4.

DOI:10.1038/s41598-023-42647-4
PMID:37730862
原文链接:https://pmc.ncbi.nlm.nih.gov/articles/PMC10511720/
Abstract

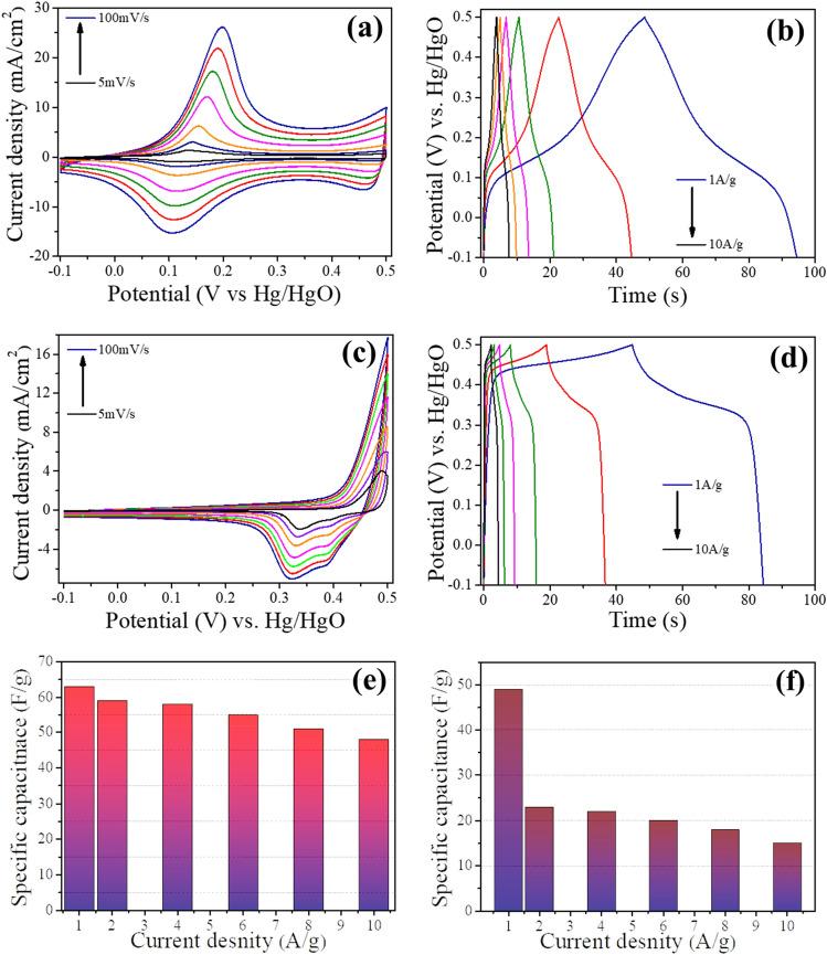
Cobalt oxide, nickel oxide and cobalt/nickel binary oxides were synthesised by electrodeposition. To fine tune composition of CoNi alloys, growth parameters including voltage, electrolyte pH/concentration and deposition time were varied. These produced nanomaterials were used as binder free electrodes in supercapacitor cells and tested using three electrode setup in 2 MKOH aqueous electrolyte. Cyclic voltammetry and galvanostatic charge/discharge were used at different scan rates (5-100 mV/s) and current densities (1-10 A/g) respectively to investigate the capacitive behaviour and measure the capacitance of active material. Electrochemical impedance spectroscopy was used to analyse the resistive/conductive behaviours of these electrodes in frequency range of 100 kHz to 0.01 Hz at applied voltage of 10 mV. Binary oxide electrode displayed superior electrochemical performance with the specific capacitance of 176 F/g at current density of 1 A/g. This hybrid electrode also displayed capacitance retention of over 83% after 5000 charge/discharge cycles. Cell displayed low solution resistance of 0.35 Ω along with good conductivity. The proposed facile approach to synthesise binder free blended metal electrodes can result in enhanced redox activity of pseudocapacitive materials. Consequently, fine tuning of these materials by controlling the cobalt and nickel contents can assist in broadening their applications in electrochemical energy storage in general and in supercapacitors in particular.

摘要

通过电沉积合成了氧化钴、氧化镍和钴/镍二元氧化物。为了微调钴镍合金的成分,改变了包括电压、电解质pH值/浓度和沉积时间在内的生长参数。这些制备的纳米材料被用作超级电容器电池中的无粘结剂电极,并在2M KOH水性电解质中使用三电极装置进行测试。分别在不同扫描速率(5 - 100 mV/s)和电流密度(1 - 10 A/g)下使用循环伏安法和恒电流充/放电来研究电容行为并测量活性材料的电容。在施加电压为10 mV时,使用电化学阻抗谱在100 kHz至0.01 Hz的频率范围内分析这些电极的电阻/导电行为。二元氧化物电极表现出优异的电化学性能,在电流密度为1 A/g时比电容为176 F/g。该混合电极在5000次充/放电循环后还表现出超过83%的电容保持率。电池显示出低至0.35 Ω的溶液电阻以及良好的导电性。所提出的合成无粘结剂混合金属电极的简便方法可提高赝电容材料的氧化还原活性。因此,通过控制钴和镍的含量对这些材料进行微调有助于拓宽它们在一般电化学储能领域,特别是超级电容器中的应用。

https://cdn.ncbi.nlm.nih.gov/pmc/blobs/6a25/10511720/35445a7bce8f/41598_2023_42647_Fig9_HTML.jpg
https://cdn.ncbi.nlm.nih.gov/pmc/blobs/6a25/10511720/9f3927980a66/41598_2023_42647_Fig1_HTML.jpg
https://cdn.ncbi.nlm.nih.gov/pmc/blobs/6a25/10511720/0298e5889fe3/41598_2023_42647_Fig2_HTML.jpg
https://cdn.ncbi.nlm.nih.gov/pmc/blobs/6a25/10511720/9ddf250e1fe6/41598_2023_42647_Fig3_HTML.jpg
https://cdn.ncbi.nlm.nih.gov/pmc/blobs/6a25/10511720/f28441f1704a/41598_2023_42647_Fig4_HTML.jpg
https://cdn.ncbi.nlm.nih.gov/pmc/blobs/6a25/10511720/db3078af1a77/41598_2023_42647_Fig5_HTML.jpg
https://cdn.ncbi.nlm.nih.gov/pmc/blobs/6a25/10511720/9033e72ddfcb/41598_2023_42647_Fig6_HTML.jpg
https://cdn.ncbi.nlm.nih.gov/pmc/blobs/6a25/10511720/ddc8d9fd86ef/41598_2023_42647_Fig7_HTML.jpg
https://cdn.ncbi.nlm.nih.gov/pmc/blobs/6a25/10511720/ef78c7b13e05/41598_2023_42647_Fig8_HTML.jpg
https://cdn.ncbi.nlm.nih.gov/pmc/blobs/6a25/10511720/35445a7bce8f/41598_2023_42647_Fig9_HTML.jpg
https://cdn.ncbi.nlm.nih.gov/pmc/blobs/6a25/10511720/9f3927980a66/41598_2023_42647_Fig1_HTML.jpg
https://cdn.ncbi.nlm.nih.gov/pmc/blobs/6a25/10511720/0298e5889fe3/41598_2023_42647_Fig2_HTML.jpg
https://cdn.ncbi.nlm.nih.gov/pmc/blobs/6a25/10511720/9ddf250e1fe6/41598_2023_42647_Fig3_HTML.jpg
https://cdn.ncbi.nlm.nih.gov/pmc/blobs/6a25/10511720/f28441f1704a/41598_2023_42647_Fig4_HTML.jpg
https://cdn.ncbi.nlm.nih.gov/pmc/blobs/6a25/10511720/db3078af1a77/41598_2023_42647_Fig5_HTML.jpg
https://cdn.ncbi.nlm.nih.gov/pmc/blobs/6a25/10511720/9033e72ddfcb/41598_2023_42647_Fig6_HTML.jpg
https://cdn.ncbi.nlm.nih.gov/pmc/blobs/6a25/10511720/ddc8d9fd86ef/41598_2023_42647_Fig7_HTML.jpg
https://cdn.ncbi.nlm.nih.gov/pmc/blobs/6a25/10511720/ef78c7b13e05/41598_2023_42647_Fig8_HTML.jpg
https://cdn.ncbi.nlm.nih.gov/pmc/blobs/6a25/10511720/35445a7bce8f/41598_2023_42647_Fig9_HTML.jpg

相似文献

1
Engineering of nickel, cobalt oxides and nickel/cobalt binary oxides by electrodeposition and application as binder free electrodes in supercapacitors.通过电沉积法制备镍、钴氧化物及镍/钴二元氧化物,并将其用作超级电容器中的无粘结剂电极。
Sci Rep. 2023 Sep 20;13(1):15654. doi: 10.1038/s41598-023-42647-4.
2
Fabrication of a High-Energy Flexible All-Solid-State Supercapacitor Using Pseudocapacitive 2D-TiCT-MXene and Battery-Type Reduced Graphene Oxide/Nickel-Cobalt Bimetal Oxide Electrode Materials.使用赝电容二维TiCT-MXene和电池型还原氧化石墨烯/镍钴双金属氧化物电极材料制备高能量柔性全固态超级电容器
ACS Appl Mater Interfaces. 2020 Nov 25;12(47):52749-52762. doi: 10.1021/acsami.0c16221. Epub 2020 Nov 13.
3
Hybrid cobalt-manganese oxides prepared by ordered steps with a ternary nanosheet structure and its high performance as a binder-free electrode for energy storage.通过有序步骤制备的具有三元纳米片结构的混合钴锰氧化物及其作为无粘结剂储能电极的高性能。
Nanoscale. 2021 Jan 28;13(4):2573-2584. doi: 10.1039/d0nr08624j. Epub 2021 Jan 22.
4
Ultra-long cycle life and binder-free manganese-cobalt oxide supercapacitor electrodes through photonic nanostructuring.通过光子纳米结构化实现超长循环寿命和无粘结剂的锰钴氧化物超级电容器电极
RSC Adv. 2020 Nov 4;10(66):40234-40243. doi: 10.1039/d0ra08510c. eCollection 2020 Nov 2.
5
High-performance binder-free supercapacitor electrode by direct growth of cobalt-manganese composite oxide nansostructures on nickel foam.通过在泡沫镍上直接生长钴锰复合氧化物纳米结构制备高性能无粘结剂超级电容器电极
Nanoscale Res Lett. 2014 Sep 13;9(1):492. doi: 10.1186/1556-276X-9-492. eCollection 2014.
6
Polyindole Embedded Nickel/Zinc Oxide Nanocomposites for High-Performance Energy Storage Applications.用于高性能储能应用的聚吲哚嵌入镍/氧化锌纳米复合材料
Nanomaterials (Basel). 2023 Feb 3;13(3):618. doi: 10.3390/nano13030618.
7
Layer by Layer Ex-Situ Deposited Cobalt-Manganese Oxide as Composite Electrode Material for Electrochemical Capacitor.逐层异位沉积的钴锰氧化物作为电化学电容器的复合电极材料
PLoS One. 2015 Jul 9;10(7):e0129780. doi: 10.1371/journal.pone.0129780. eCollection 2015.
8
Facile synthesis of NF/ZnOx and NF/CoOx nanostructures for high performance supercapacitor electrode materials.用于高性能超级电容器电极材料的NF/ZnOx和NF/CoOx纳米结构的简便合成
RSC Adv. 2019 Jul 9;9(37):21225-21232. doi: 10.1039/c9ra01809c. eCollection 2019 Jul 5.
9
Green and facile synthesis of nickel oxide-porous carbon composite as improved electrochemical electrodes for supercapacitor application from banana peel waste.从香蕉皮废料中绿色简便合成氧化镍-多孔碳复合材料,作为超级电容器应用的改进电化学电极。
Environ Sci Pollut Res Int. 2021 Dec;28(47):66888-66900. doi: 10.1007/s11356-021-15276-5. Epub 2021 Jul 8.
10
Facile preparation of nickel/carbonized wood nanocomposite for environmentally friendly supercapacitor electrodes.用于环保超级电容器电极的镍/碳化木材纳米复合材料的简易制备。
Sci Rep. 2016 Sep 21;6:33659. doi: 10.1038/srep33659.

引用本文的文献

1
Unraveling the Electrochemical Insights of Cobalt Oxide/Conducting Polymer Hybrid Materials for Supercapacitor, Battery, and Supercapattery Applications.揭示用于超级电容器、电池和超级电池应用的氧化钴/导电聚合物混合材料的电化学见解。
Polymers (Basel). 2024 Oct 15;16(20):2907. doi: 10.3390/polym16202907.
2
Nickel-copper-cobalt mixed oxide electrode material for high performance asymmetric supercapacitor.用于高性能不对称超级电容器的镍-铜-钴混合氧化物电极材料
Sci Rep. 2024 May 11;14(1):10821. doi: 10.1038/s41598-024-61625-y.
3
Microwave-Assisted Synthesis of Flower-like MnMoO Nanostructures and Their Photocatalytic Performance.

本文引用的文献

1
Controllable formation of amorphous structure to improve the oxygen evolution reaction performance of a CoNi LDH.通过可控形成非晶结构提高CoNi层状双氢氧化物的析氧反应性能
RSC Adv. 2023 Jan 16;13(4):2467-2475. doi: 10.1039/d2ra06447b. eCollection 2023 Jan 11.
2
Recent Advanced Supercapacitor: A Review of Storage Mechanisms, Electrode Materials, Modification, and Perspectives.近期先进超级电容器:存储机制、电极材料、改性及展望综述
Nanomaterials (Basel). 2022 Oct 21;12(20):3708. doi: 10.3390/nano12203708.
3
A review on biomass and wind as renewable energy for sustainable environment.
微波辅助合成花状锰钼氧化物纳米结构及其光催化性能
Materials (Basel). 2024 Mar 22;17(7):1451. doi: 10.3390/ma17071451.
生物质能和风能作为可再生能源对可持续环境的综述。
Chemosphere. 2022 Apr;293:133579. doi: 10.1016/j.chemosphere.2022.133579. Epub 2022 Jan 10.
4
Tuning Easy Magnetization Direction and Magnetostatic Interactions in High Aspect Ratio Nanowires.在高纵横比纳米线中调控易磁化方向和静磁相互作用
Nanomaterials (Basel). 2021 Nov 12;11(11):3042. doi: 10.3390/nano11113042.
5
Treatment of NiMoO4/nanographite nanocomposite electrodes using flexible graphite substrate for aqueous hybrid supercapacitors.采用柔性石墨基底处理 NiMoO4/纳米石墨复合电极,用于水系混合超级电容器。
PLoS One. 2021 Jul 2;16(7):e0254023. doi: 10.1371/journal.pone.0254023. eCollection 2021.
6
Preparation of Cobalt Oxide-Reduced Graphitic Oxide Supercapacitor Electrode by Photothermal Processing.通过光热处理制备氧化钴-还原氧化石墨烯超级电容器电极
Nanomaterials (Basel). 2021 Mar 12;11(3):717. doi: 10.3390/nano11030717.
7
Self-Assembled 3D Foam-Like NiCo2O4 as Efficient Catalyst for Lithium Oxygen Batteries.自组装 3D 泡沫状 NiCo2O4 作为高效催化剂用于锂氧电池。
Small. 2016 Feb 3;12(5):602-11. doi: 10.1002/smll.201502924. Epub 2015 Dec 15.
8
Binary Nickel-Cobalt Oxides Electrode Materials for High-Performance Supercapacitors: Influence of its Composition and Porous Nature.用于高性能超级电容器的二元镍钴氧化物电极材料:其组成和多孔性质的影响
ACS Appl Mater Interfaces. 2015 Aug 19;7(32):17630-40. doi: 10.1021/acsami.5b04463. Epub 2015 Aug 6.
9
Seaurchin-like hierarchical NiCo2O4@NiMoO4 core-shell nanomaterials for high performance supercapacitors.用于高性能超级电容器的海胆状分级结构NiCo2O4@NiMoO4核壳纳米材料。
Phys Chem Chem Phys. 2014 Nov 14;16(42):23451-60. doi: 10.1039/c4cp02928c.
10
Selective synthesis of hierarchical mesoporous spinel NiCo₂O₄ for high-performance supercapacitors.用于高性能超级电容器的分级介孔尖晶石NiCo₂O₄的选择性合成。
Nanoscale. 2014 Apr 21;6(8):4303-8. doi: 10.1039/c3nr06564b.