Suppr超能文献

在美国,女性成年人看皮肤科医生的主要原因中痤疮几乎占比是男性成年人的 2.5 倍:对 2002-2016 年国家门诊医疗调查的研究。

Acne accounts for an almost 2.5-fold higher proportion of dermatology visits among adult females compared to adult males in the United States: A study of the national ambulatory medical care survey from 2002-2016.

机构信息

Department of Dermatology, Yale School of Medicine, New Haven, Connecticut, United States of America.

Program in Translational Biomedicine, Yale School of Medicine, New Haven, Connecticut, United States of America.

出版信息

PLoS One. 2023 Sep 21;18(9):e0290763. doi: 10.1371/journal.pone.0290763. eCollection 2023.

Abstract

BACKGROUND

Acne vulgaris affects a significant number of females into adulthood. Juvenile acne and adult acne have different presentations and potentially distinctive pathogeneses. However, patterns in treatments specifically related to the adult female population have previously not been studied.

METHODS

Retrospective database analysis of healthcare utilization and medications prescribed for acne using the National Ambulatory Medical Care Survey (NAMCS) data from 2002-2016 was performed.

RESULTS

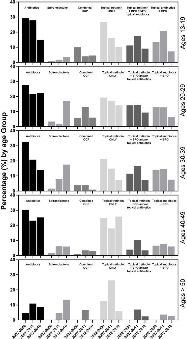
After age 20, acne accounted for an almost 2.5-fold higher proportion of dermatology visits among females compared to males (10.1% vs. 4.1%, P < 0.001). Tetracycline-class antibiotics were the most prescribed therapy within all age groups of females between 2002-2016. However, there was also a substantial rise in prescriptions of spironolactone beginning in 2012.

CONCLUSION

A significantly greater proportion of dermatology visits by adult females are for acne in comparison to adult males. Tetracycline-class antibiotics remain the most prescribed therapy in adult age groups despite a potentially different pathogenesis of adult acne. Therefore, there is a need for further studies comparing the effectiveness of therapies specifically for adult female acne.

摘要

背景

寻常痤疮影响着大量成年女性。青少年痤疮和成人痤疮的表现不同,潜在的发病机制也可能不同。然而,之前尚未研究过专门针对成年女性人群的治疗模式。

方法

使用 2002-2016 年全国门诊医疗调查(NAMCS)数据,对痤疮的医疗保健利用和处方药物进行回顾性数据库分析。

结果

20 岁以后,与男性相比,女性皮肤科就诊中痤疮的比例几乎高出 2.5 倍(10.1%对 4.1%,P<0.001)。在 2002-2016 年期间,所有年龄段的女性中,四环素类抗生素都是最常用的治疗药物。然而,自 2012 年以来,螺内酯的处方量也大幅增加。

结论

与成年男性相比,成年女性皮肤科就诊中痤疮的比例明显更高。尽管成人痤疮的发病机制可能不同,但四环素类抗生素仍然是成年人群中最常用的治疗药物。因此,需要进一步研究专门针对成年女性痤疮的治疗方法的有效性。

https://cdn.ncbi.nlm.nih.gov/pmc/blobs/a3e3/10513303/f6bbfbc91a89/pone.0290763.g001.jpg

文献检索

告别复杂PubMed语法,用中文像聊天一样搜索,搜遍4000万医学文献。AI智能推荐,让科研检索更轻松。

立即免费搜索

文件翻译

保留排版,准确专业,支持PDF/Word/PPT等文件格式,支持 12+语言互译。

免费翻译文档

深度研究

AI帮你快速写综述,25分钟生成高质量综述,智能提取关键信息,辅助科研写作。

立即免费体验