Hastie Elizabeth, Amogan Harold, Looney David, Mehta Sanjay R
Division of Infectious Diseases and Global Public Health, University of California, San Diego, 9500 Gilman Drive, CA, 92093, USA.
Veterans Medical Research Foundation, 3350 La Jolla Village Drive, San Diego, CA, 92163, USA.
Heliyon. 2023 Oct 6;9(10):e20739. doi: 10.1016/j.heliyon.2023.e20739. eCollection 2023 Oct.
The relationship between the viral kinetics of SARS-CoV-2 and clinical outcomes remains unclear.
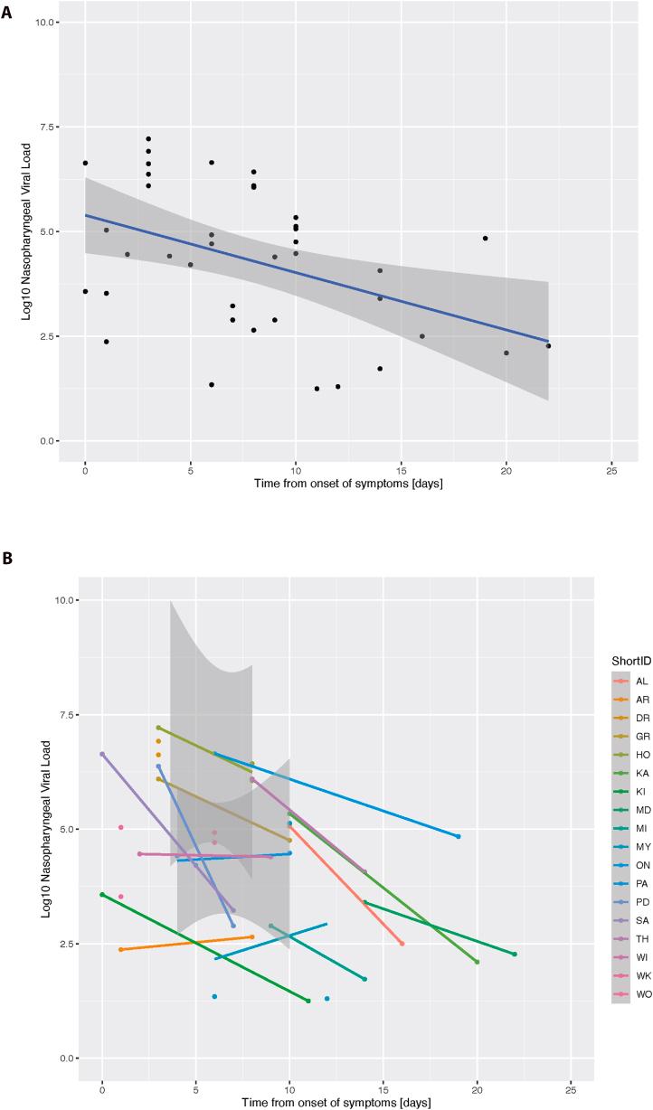
A convenience sample of 955 remnant nasopharyngeal swabs collected during routine care between 11/18/20 and 9/26/21 were analyzed using digital PCR and associated clinical data extracted from the medical record. 18 individuals had >1 sample within 30 days of onset of symptoms.
Paired samples were an average of 6 [range: 0-13] days apart. Four individuals sampled twice on the same day had a median 0.52 log viral load difference between samples. Of the remaining, 12 individuals had a decrease in viral load over time, with an average decay of -0.23 log/day.
Our study found a similar rate of viral decay to others, but did not find associations between viral kinetics and clinical outcomes. Larger studies would be useful to support the use of this measurement as a surrogate endpoint for therapeutic studies.
严重急性呼吸综合征冠状病毒2(SARS-CoV-2)的病毒动力学与临床结局之间的关系仍不清楚。
对2020年11月18日至2021年9月26日常规护理期间收集的955份剩余鼻咽拭子进行便利抽样,采用数字PCR进行分析,并从病历中提取相关临床数据。18名个体在症状出现后30天内有超过1份样本。
配对样本平均间隔6天[范围:0 - 13天]。4名在同一天采样两次的个体样本之间的病毒载量中位数差异为0.52对数。其余12名个体的病毒载量随时间下降,平均衰减率为-0.23对数/天。
我们的研究发现病毒衰减率与其他研究相似,但未发现病毒动力学与临床结局之间的关联。更大规模的研究将有助于支持将该测量用作治疗研究的替代终点。