• 文献检索
  • 文档翻译
  • 深度研究
  • 学术资讯
  • Suppr Zotero 插件Zotero 插件
  • 邀请有礼
  • 套餐&价格
  • 历史记录
应用&插件
Suppr Zotero 插件Zotero 插件浏览器插件Mac 客户端Windows 客户端微信小程序
定价
高级版会员购买积分包购买API积分包
服务
文献检索文档翻译深度研究API 文档MCP 服务
关于我们
关于 Suppr公司介绍联系我们用户协议隐私条款
关注我们

Suppr 超能文献

核心技术专利:CN118964589B侵权必究
粤ICP备2023148730 号-1Suppr @ 2026

文献检索

告别复杂PubMed语法,用中文像聊天一样搜索,搜遍4000万医学文献。AI智能推荐,让科研检索更轻松。

立即免费搜索

文件翻译

保留排版,准确专业,支持PDF/Word/PPT等文件格式,支持 12+语言互译。

免费翻译文档

深度研究

AI帮你快速写综述,25分钟生成高质量综述,智能提取关键信息,辅助科研写作。

立即免费体验

使用基于机器学习的逻辑回归预测贝尔麻痹或拉姆齐·亨特综合征引起的联动症。

Predicting synkinesis caused by Bell's palsy or Ramsay Hunt syndrome using machine learning-based logistic regression.

作者信息

Kishimoto-Urata Megumi, Urata Shinji, Nishijima Hironobu, Baba Shintaro, Fujimaki Yoko, Kondo Kenji, Yamasoba Tatsuya

机构信息

Department of Otolaryngology, Graduate School of Medicine The University of Tokyo Tokyo Japan.

出版信息

Laryngoscope Investig Otolaryngol. 2023 Aug 25;8(5):1189-1195. doi: 10.1002/lio2.1145. eCollection 2023 Oct.

DOI:10.1002/lio2.1145
PMID:37899861
原文链接:https://pmc.ncbi.nlm.nih.gov/articles/PMC10601547/
Abstract

OBJECTIVE

To investigate whether machine learning (ML)-based algorithms, namely logistic regression (LR), random forest (RF), k-nearest neighbor (k-NN), and gradient-boosting decision tree (GBDT), utilizing early post-onset parameters can predict facial synkinesis resulting from Bell's palsy or Ramsay Hunt syndrome more accurately than the conventional statistics-based LR.

METHODS

This retrospective study included 362 patients who presented to a facial palsy outpatient clinic. Median follow-up of synkinesis-positive and -negative patients was 388 (range, 177-1922) and 198 (range, 190-3021) days, respectively. Electrophysiological examinations were performed, and the rate of synkinesis in Bell's palsy and Ramsay Hunt syndrome was evaluated. Sensitivity and specificity were assessed using statistics-based LR; and electroneurography (ENoG) value, the difference in the nerve excitability test (NET), and scores of the subjective Yanagihara scaling system were evaluated using early post-onset parameters with ML-based LR, RF, -NN, and GBDT.

RESULTS

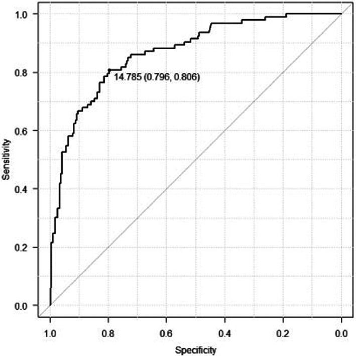
Synkinesis rate in Bell's palsy and Ramsay Hunt syndrome was 20.2% (53/262) and 40.0% (40/100), respectively. Sensitivity and specificity obtained with statistics-based LR were 0.796 and 0.806, respectively, and the area under the receiver operating characteristic curve (AUC) was 0.87. AUCs measured using ML-based LR of "ENoG," "difference in NET," "Yanagihara," and all three components ("all") were 0.910, 0.834, 0.711, and 0.901, respectively.

CONCLUSION

ML-based LR model shows potential in predicting facial synkinesis probability resulting from Bell's palsy or Ramsay Hunt syndrome and has comparable reliability to the conventional statistics-based LR.

LEVEL OF EVIDENCE

摘要

目的

研究基于机器学习(ML)的算法,即逻辑回归(LR)、随机森林(RF)、k近邻(k-NN)和梯度提升决策树(GBDT),利用发病初期参数预测贝尔麻痹或拉姆齐·亨特综合征所致面部联动是否比传统基于统计的LR更准确。

方法

这项回顾性研究纳入了362例到面瘫门诊就诊的患者。面部联动阳性和阴性患者的中位随访时间分别为388天(范围177 - 1922天)和198天(范围190 - 3021天)。进行了电生理检查,并评估了贝尔麻痹和拉姆齐·亨特综合征中面部联动的发生率。使用基于统计的LR评估敏感性和特异性;使用基于ML的LR、RF、k-NN和GBDT的发病初期参数评估神经电图(ENoG)值、神经兴奋性测试(NET)的差异以及主观柳原评分系统的得分。

结果

贝尔麻痹和拉姆齐·亨特综合征中面部联动发生率分别为20.2%(53/262)和40.0%(40/100)。基于统计的LR获得的敏感性和特异性分别为0.796和0.806,受试者操作特征曲线(AUC)下面积为0.87。使用基于ML的LR对“ENoG”、“NET差异”、“柳原”以及所有三个成分(“全部”)测量的AUC分别为0.910、0.834、0.711和0.901。

结论

基于ML的LR模型在预测贝尔麻痹或拉姆齐·亨特综合征所致面部联动概率方面显示出潜力,并且与传统基于统计的LR具有相当的可靠性。

证据水平

3级。

https://cdn.ncbi.nlm.nih.gov/pmc/blobs/530a/10601547/0ed6b77342c3/LIO2-8-1189-g003.jpg
https://cdn.ncbi.nlm.nih.gov/pmc/blobs/530a/10601547/342d4eddd6c1/LIO2-8-1189-g001.jpg
https://cdn.ncbi.nlm.nih.gov/pmc/blobs/530a/10601547/070ae83080f1/LIO2-8-1189-g005.jpg
https://cdn.ncbi.nlm.nih.gov/pmc/blobs/530a/10601547/eacc26b42243/LIO2-8-1189-g004.jpg
https://cdn.ncbi.nlm.nih.gov/pmc/blobs/530a/10601547/0ed6b77342c3/LIO2-8-1189-g003.jpg
https://cdn.ncbi.nlm.nih.gov/pmc/blobs/530a/10601547/342d4eddd6c1/LIO2-8-1189-g001.jpg
https://cdn.ncbi.nlm.nih.gov/pmc/blobs/530a/10601547/070ae83080f1/LIO2-8-1189-g005.jpg
https://cdn.ncbi.nlm.nih.gov/pmc/blobs/530a/10601547/eacc26b42243/LIO2-8-1189-g004.jpg
https://cdn.ncbi.nlm.nih.gov/pmc/blobs/530a/10601547/0ed6b77342c3/LIO2-8-1189-g003.jpg

相似文献

1
Predicting synkinesis caused by Bell's palsy or Ramsay Hunt syndrome using machine learning-based logistic regression.使用基于机器学习的逻辑回归预测贝尔麻痹或拉姆齐·亨特综合征引起的联动症。
Laryngoscope Investig Otolaryngol. 2023 Aug 25;8(5):1189-1195. doi: 10.1002/lio2.1145. eCollection 2023 Oct.
2
Prognostic factors of synkinesis after Bell's palsy and Ramsay Hunt syndrome.贝尔面瘫和拉姆齐·亨特综合征后联动症的预后因素。
Auris Nasus Larynx. 2013 Oct;40(5):431-4. doi: 10.1016/j.anl.2013.01.001. Epub 2013 Feb 15.
3
Electroneurography value as an indicator of high risk for the development of moderate-to-severe synkinesis after Bell's palsy and Ramsay Hunt syndrome.作为贝尔面瘫和拉姆齐·亨特综合征后中重度联动症发生高风险指标的神经电图值。
Acta Otolaryngol. 2019 Sep;139(9):823-827. doi: 10.1080/00016489.2019.1633474. Epub 2019 Jul 3.
4
Value of electroneurography as a prognostic indicator for recovery in acute severe inflammatory facial paralysis: a prospective study of Bell's palsy and Ramsay Hunt syndrome.电神经图作为急性重度炎症性面瘫恢复的预后指标的价值:贝尔麻痹和 Ramsay Hunt 综合征的前瞻性研究。
Laryngoscope. 2013 Oct;123(10):2526-32. doi: 10.1002/lary.23988. Epub 2013 Aug 5.
5
Comparative prognosis in patients with Ramsay-Hunt syndrome and Bell's palsy.拉姆齐-亨特综合征与贝尔麻痹患者的预后比较
Eur Arch Otorhinolaryngol. 2019 Apr;276(4):1011-1016. doi: 10.1007/s00405-019-05300-3. Epub 2019 Feb 1.
6
Prognostic value of electroneurography using the midline method for predicting the development of synkinesis after peripheral facial palsy.中线法神经电图对预测周围性面瘫后联带运动发生的预后价值。
Auris Nasus Larynx. 2024 Jun;51(3):599-604. doi: 10.1016/j.anl.2024.02.005. Epub 2024 Mar 29.
7
Comparison of Transcranial Magnetic Stimulation and Electroneuronography Between Bell's Palsy and Ramsay Hunt Syndrome in Their Acute Stages.贝尔麻痹与拉姆齐·亨特综合征急性期经颅磁刺激与神经电图的比较
Ann Rehabil Med. 2013 Feb;37(1):103-9. doi: 10.5535/arm.2013.37.1.103. Epub 2013 Feb 28.
8
Electroneurography cannot predict when facial synkinesis develops in patients with facial palsy.神经电图不能预测面瘫患者何时会出现面肌联动。
J Med Invest. 2020;67(1.2):87-89. doi: 10.2152/jmi.67.87.
9
Ramsay Hunt syndrome.拉姆齐·亨特综合征
J Neurol Neurosurg Psychiatry. 2001 Aug;71(2):149-54. doi: 10.1136/jnnp.71.2.149.
10
Relationship between serum gonadal hormone levels and synkinesis in postmenopausal women and man with idiopathic facial paralysis.绝经后女性和特发性面瘫男性血清性腺激素水平与联带运动的关系。
Auris Nasus Larynx. 2022 Oct;49(5):782-789. doi: 10.1016/j.anl.2022.02.005. Epub 2022 Feb 26.

引用本文的文献

1
Surface Electromyographic Features for Severity Classification in Facial Palsy: Insights from a German Cohort and Implications for Future Biofeedback Use.面瘫痊严重程度分类的表面肌电图特征:来自德国队列的见解及其对未来生物反馈应用的启示
Sensors (Basel). 2025 May 7;25(9):2949. doi: 10.3390/s25092949.
2
Predicting Early Treatment Effectiveness in Bell's Palsy Using Machine Learning: A Focus on Corticosteroids and Antivirals.使用机器学习预测贝尔麻痹的早期治疗效果:聚焦于皮质类固醇和抗病毒药物
Int J Gen Med. 2024 Nov 9;17:5163-5174. doi: 10.2147/IJGM.S488418. eCollection 2024.

本文引用的文献

1
Gradient boosting decision tree becomes more reliable than logistic regression in predicting probability for diabetes with big data.梯度提升决策树在预测大数据下糖尿病概率方面比逻辑回归更可靠。
Sci Rep. 2022 Oct 11;12(1):15889. doi: 10.1038/s41598-022-20149-z.
2
Physical therapy for facial nerve paralysis (Bell's palsy): An updated and extended systematic review of the evidence for facial exercise therapy.物理疗法治疗面神经麻痹(贝尔麻痹):面部运动疗法证据的更新和扩展系统评价。
Clin Rehabil. 2022 Nov;36(11):1424-1449. doi: 10.1177/02692155221110727. Epub 2022 Jul 5.
3
Efficacy of Mirror Biofeedback Rehabilitation on Synkinesis in Acute Stage Facial Palsy in Children.
镜像生物反馈康复对儿童急性面瘫联动的疗效。
Otol Neurotol. 2021 Aug 1;42(7):e936-e941. doi: 10.1097/MAO.0000000000003144.
4
Artificial intelligence in the diagnosis and management of hepatocellular carcinoma.人工智能在肝细胞癌的诊断和管理中的应用。
J Gastroenterol Hepatol. 2021 Mar;36(3):551-560. doi: 10.1111/jgh.15413.
5
An artificial intelligence-enabled ECG algorithm for the identification of patients with atrial fibrillation during sinus rhythm: a retrospective analysis of outcome prediction.一种基于人工智能的心电图算法,用于在窦性心律期间识别房颤患者:对结局预测的回顾性分析。
Lancet. 2019 Sep 7;394(10201):861-867. doi: 10.1016/S0140-6736(19)31721-0. Epub 2019 Aug 1.
6
Recurrent facial palsy: The prognostic value of electrophysiological tests according to recurrence interval.复发性面神经麻痹:根据复发间隔时间电生理检查的预后价值。
Auris Nasus Larynx. 2020 Feb;47(1):105-110. doi: 10.1016/j.anl.2019.04.010. Epub 2019 May 8.
7
A systematic review shows no performance benefit of machine learning over logistic regression for clinical prediction models.系统评价显示,机器学习在临床预测模型中并未优于逻辑回归。
J Clin Epidemiol. 2019 Jun;110:12-22. doi: 10.1016/j.jclinepi.2019.02.004. Epub 2019 Feb 11.
8
Heart rate variability based machine learning models for risk prediction of suspected sepsis patients in the emergency department.基于心率变异性的机器学习模型用于急诊科疑似脓毒症患者的风险预测
Medicine (Baltimore). 2019 Feb;98(6):e14197. doi: 10.1097/MD.0000000000014197.
9
Cochlear Implantation in Postlingually Deaf Adults is Time-sensitive Towards Positive Outcome: Prediction using Advanced Machine Learning Techniques.后天聋人植入人工耳蜗与积极结果具有时间敏感性:使用先进机器学习技术进行预测。
Sci Rep. 2018 Dec 20;8(1):18004. doi: 10.1038/s41598-018-36404-1.
10
Facial Rehabilitation: Evaluation and Treatment Strategies for the Patient with Facial Palsy.面部康复:面瘫患者的评估与治疗策略
Otolaryngol Clin North Am. 2018 Dec;51(6):1151-1167. doi: 10.1016/j.otc.2018.07.011. Epub 2018 Sep 24.