Suppr超能文献

使用机器学习预测贝尔麻痹的早期治疗效果:聚焦于皮质类固醇和抗病毒药物

Predicting Early Treatment Effectiveness in Bell's Palsy Using Machine Learning: A Focus on Corticosteroids and Antivirals.

作者信息

Luo Jheng-Ting, Hung Yung-Chun, Chen Gina Jinna, Lin Yu-Shiang

机构信息

In-Service Master Program in Artificial Intelligence in Medicine, College of Medicine, Taipei Medical University, Taipei, Taiwan.

School of Health Care Administration, College of Management, Taipei Medical University, Taipei, Taiwan.

出版信息

Int J Gen Med. 2024 Nov 9;17:5163-5174. doi: 10.2147/IJGM.S488418. eCollection 2024.

Abstract

PURPOSE

Facial nerve paralysis, particularly Bell's palsy, manifests as a rapid onset of unilateral facial weakness or paralysis. Despite most patients recovering within three to six months, a significant proportion experience poor recovery. This study utilized six machine learning models to investigate the effectiveness of early treatment in Bell's palsy.

PATIENTS AND METHODS

We applied data from 17 hospitals in Scotland to predict treatment outcomes. Patients were randomized into four groups: Prednisolone (corticosteroids), Acyclovir (antivirals), both, and placebo. Outcomes, defined as full resolution of symptoms, were assessed using the House-Brackmann scale at 3 and 9 months post-treatment. We employed six different machine learning models to predict recovery outcomes and evaluated model performance using AUC, precision, recall, and F1-score.

RESULTS

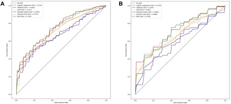
Among 493 patients, 72.6% recovered after three months and 89.5% after nine months. Logistic regression demonstrated the highest predictive performance for both 3-month ( = 0.751) and 9-month recovery ( = 0.720). Additionally, several models achieved Precision levels exceeding 0.9. We further employed the best-performing logistic regression for feature ranking, indicating that the patient's age and prednisolone administration are the most significant predictors of recovery.

CONCLUSION

The results highlight the potential of machine learning models in predicting the effectiveness of early treatment. This study conducted a comprehensive comparison of six different machine learning models, with the logistic regression showing the highest predictive performance for both 3-month and 9-month recovery. Additionally, feature ranking using logistic regression supported the importance of Prednisolone in treatment. Notably, our findings revealed the significance of age in prognosis evaluation for the first time. This suggests that future research should further develop age-specific prognostic models, enabling clinicians to tailor individualized treatment strategies more effectively. This previously unrecognized discovery provides a foundation for prognostic analysis in Bell's palsy patients.

摘要

目的

面神经麻痹,尤其是贝尔麻痹,表现为单侧面部无力或麻痹的快速发作。尽管大多数患者在三到六个月内康复,但仍有相当一部分患者恢复不佳。本研究利用六种机器学习模型来研究贝尔麻痹早期治疗的有效性。

患者与方法

我们应用了苏格兰17家医院的数据来预测治疗结果。患者被随机分为四组:泼尼松龙(皮质类固醇)、阿昔洛韦(抗病毒药物)、两者联用以及安慰剂。治疗结果定义为症状完全缓解,在治疗后3个月和9个月使用House-Brackmann量表进行评估。我们使用六种不同的机器学习模型来预测恢复结果,并使用AUC、精确率、召回率和F1分数评估模型性能。

结果

在493例患者中,72.6%在三个月后康复,89.5%在九个月后康复。逻辑回归在3个月( = 0.751)和9个月康复( = 0.720)方面均表现出最高的预测性能。此外,几个模型的精确率水平超过了0.9。我们进一步使用表现最佳的逻辑回归进行特征排序,表明患者年龄和泼尼松龙给药是恢复的最重要预测因素。

结论

结果突出了机器学习模型在预测早期治疗有效性方面的潜力。本研究对六种不同的机器学习模型进行了全面比较,逻辑回归在3个月和9个月康复方面均表现出最高的预测性能。此外,使用逻辑回归进行特征排序支持了泼尼松龙在治疗中的重要性。值得注意的是,我们的研究结果首次揭示了年龄在预后评估中的重要性。这表明未来的研究应进一步开发针对特定年龄的预后模型,使临床医生能够更有效地制定个性化治疗策略。这一先前未被认识到的发现为贝尔麻痹患者的预后分析奠定了基础。

https://cdn.ncbi.nlm.nih.gov/pmc/blobs/74dd/11559179/4d332b9e5395/IJGM-17-5163-g0001.jpg

文献AI研究员

20分钟写一篇综述,助力文献阅读效率提升50倍。

立即体验

用中文搜PubMed

大模型驱动的PubMed中文搜索引擎

马上搜索

文档翻译

学术文献翻译模型,支持多种主流文档格式。

立即体验