Suppr超能文献

中国甘油三酯-葡萄糖指数与心血管代谢多重疾病的关系:一项全国性调查的证据

Relationship of triglyceride-glucose index with cardiometabolic multi-morbidity in China: evidence from a national survey.

作者信息

Zhang Zenglei, Zhao Lin, Lu Yiting, Meng Xu, Zhou Xianliang

机构信息

Department of Cardiology, Fuwai Hospital, National Center for Cardiovascular Diseases, Chinese Academy of Medical Sciences and Peking Union Medical College, No.167, Beilishi Road, Xicheng District, Beijing, China.

出版信息

Diabetol Metab Syndr. 2023 Nov 6;15(1):226. doi: 10.1186/s13098-023-01205-8.

Abstract

BACKGROUND

Cardiometabolic multi-morbidity (CMM) is emerging as a global healthcare challenge and a pressing public health concern worldwide. Previous studies have principally focused on identifying risk factors for individual cardiometabolic diseases, but reliable predictors of CMM have not been identified. In the present study, we aimed to characterize the relationship of triglyceride-glucose (TyG) index with the incidence of CMM.

METHODS

We enrolled 7,970 participants from the China Health and Retirement Longitudinal Study (CHARLS) and placed them into groups according to quartile of TyG index. The endpoint of interest was CMM, defined as the presence of at least two of the following: stroke, heart disease, and diabetes mellitus. Cox regression models and multivariable-adjusted restricted cubic spline (RCS) curves were used to evaluate the relationship between TyG index and CMM.

RESULTS

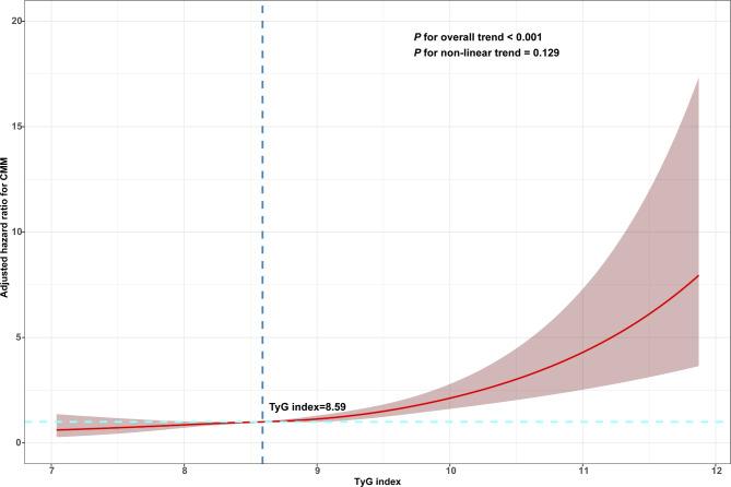
In total, 638 (8.01%) incident cases of CMM were recorded among the participants who did not have CMM at baseline (2011) during a median follow-up of 84 months (interquartile range, 20‒87 months). The incidences of CMM for the participants in quartiles (Q) 1-4 of TyG index were 4.22%, 6.12%, 8.78%, and 12.60%, respectively. A fully adjusted Cox model showed that TyG index was closely associated with the incidence of CMM: the hazard ratio (HR) [95% confidence interval (CI)] for each 1.0-unit increment in TyG index for CMM was 1.54 (1.29-1.84); and the HRs (95% CIs) for Q3 and Q4 (Q1 as reference) of the TyG index for CMM were 1.41 (1.05-1.90) and 1.61 (1.18-2.20), respectively. The association of TyG index with the incidence of CMM was present in almost all the subgroups, and persisted in the sensitivity analyses and additional analyses. Multivariable-adjusted RCS analysis revealed a significant dose-response relationship of TyG index with the risk of CMM (overall P < 0.001; non-linear P = 0.129).

CONCLUSIONS

We found that a high TyG index is associated with a higher risk of incident CMM. This finding may have significance for clinical practice and facilitate the creation of a personalized prevention strategy that involves monitoring the TyG index.

摘要

背景

心脏代谢多重疾病(CMM)正成为一项全球性的医疗挑战,也是全球紧迫的公共卫生问题。以往的研究主要集中于确定个体心脏代谢疾病的危险因素,但尚未确定CMM的可靠预测指标。在本研究中,我们旨在描述甘油三酯-葡萄糖(TyG)指数与CMM发病率之间的关系。

方法

我们从中国健康与养老追踪调查(CHARLS)中纳入了7970名参与者,并根据TyG指数四分位数将他们分组。感兴趣的终点是CMM,定义为存在以下至少两种疾病:中风、心脏病和糖尿病。采用Cox回归模型和多变量调整的限制性立方样条(RCS)曲线来评估TyG指数与CMM之间的关系。

结果

在基线(2011年)时无CMM的参与者中,在中位随访84个月(四分位间距,20 - 87个月)期间,共记录到638例(8.01%)CMM发病病例。TyG指数四分位数(Q)1 - 4的参与者中CMM的发病率分别为4.22%、6.12%、8.78%和12.60%。一个完全调整的Cox模型显示,TyG指数与CMM发病率密切相关:CMM的TyG指数每增加1.0个单位,风险比(HR)[95%置信区间(CI)]为1.54(1.29 - 1.84);TyG指数的Q3和Q4(以Q1为参照)对于CMM的HRs(95% CIs)分别为1.41(1.05 - 1.90)和1.61(1.18 - 2.20)。TyG指数与CMM发病率的关联几乎在所有亚组中都存在,并在敏感性分析和额外分析中持续存在。多变量调整的RCS分析显示TyG指数与CMM风险存在显著的剂量反应关系(总体P < 0.001;非线性P = 0.129)。

结论

我们发现高TyG指数与CMM发病风险较高相关。这一发现可能对临床实践具有重要意义,并有助于制定涉及监测TyG指数的个性化预防策略。

https://cdn.ncbi.nlm.nih.gov/pmc/blobs/5584/10626797/82ca2baf4140/13098_2023_1205_Fig1_HTML.jpg

文献AI研究员

20分钟写一篇综述,助力文献阅读效率提升50倍。

立即体验

用中文搜PubMed

大模型驱动的PubMed中文搜索引擎

马上搜索

文档翻译

学术文献翻译模型,支持多种主流文档格式。

立即体验