Suppr超能文献

靶向卵巢癌中的细胞色素P450酶:肿瘤选择性干预的新方法。

Targeting Cytochrome P450 Enzymes in Ovarian Cancers: New Approaches to Tumor-Selective Intervention.

作者信息

Al-Saraireh Yousef M, Alshammari Fatemah O F O, Abu-Azzam Omar H, Al-Dalain Sa'ed M, Al-Sarayra Yahya M, Haddad Mansour, Makeen Hafiz, Al-Qtaitat Aiman, Almermesh Mohammad, Al-Sarayreh Sameeh A

机构信息

Department of Pharmacology, Faculty of Medicine, Mutah University, P.O. Box 7, Al-Karak 61710, Jordan.

Department of Medical Lab Technology, Faculty of Health Sciences, The Public Authority for Applied Education and Training, Shuwaikh 15432, Kuwait.

出版信息

Biomedicines. 2023 Oct 26;11(11):2898. doi: 10.3390/biomedicines11112898.

Abstract

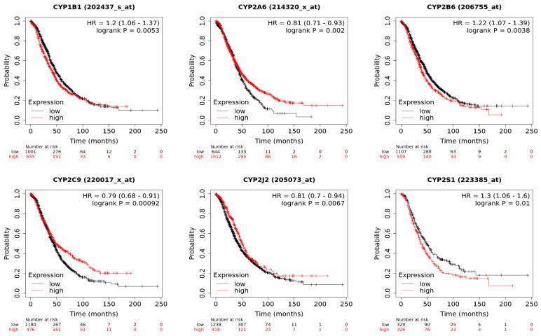
Over the past decade, there have been significant developments in treatment for ovarian cancer, yet the lack of targeted therapy with few side effects still represents a major issue. The cytochrome P450 (CYP) enzyme family plays a vital role in the tumorigenesis process and metabolism of drugs and has a negative impact on therapy outcomes. Gaining more insight into CYP expression is crucial to understanding the pathophysiology of ovarian cancer since many isoforms are essential to the metabolism of xenobiotics and steroid hormones, which drive the disease's development. To the best of our knowledge, no review articles have documented the intratumoral expression of CYPs and their implications in ovarian cancer. Therefore, the purpose of this review is to provide a clear understanding of differential CYP expression in ovarian cancer and its implications for the prognosis of ovarian cancer patients, together with the effects of CYP polymorphisms on chemotherapy metabolism. Finally, we discuss opportunities to exploit metabolic CYP expression for the development of novel therapeutic methods to treat ovarian cancer.

摘要

在过去十年中,卵巢癌的治疗取得了重大进展,但缺乏副作用小的靶向治疗仍然是一个主要问题。细胞色素P450(CYP)酶家族在肿瘤发生过程和药物代谢中起着至关重要的作用,并对治疗结果产生负面影响。深入了解CYP表达对于理解卵巢癌的病理生理学至关重要,因为许多同工酶对于驱动疾病发展的外源性物质和甾体激素的代谢至关重要。据我们所知,尚无综述文章记录CYP在肿瘤内的表达及其在卵巢癌中的意义。因此,本综述的目的是明确了解卵巢癌中CYP的差异表达及其对卵巢癌患者预后的影响,以及CYP多态性对化疗代谢的影响。最后,我们讨论了利用CYP代谢表达开发治疗卵巢癌新治疗方法的机会。

https://cdn.ncbi.nlm.nih.gov/pmc/blobs/5f0e/10669316/a663ce1e2fb8/biomedicines-11-02898-g001.jpg

文献AI研究员

20分钟写一篇综述,助力文献阅读效率提升50倍。

立即体验

用中文搜PubMed

大模型驱动的PubMed中文搜索引擎

马上搜索

文档翻译

学术文献翻译模型,支持多种主流文档格式。

立即体验