Suppr超能文献

启动子甲基化可能是林奇综合征癌变过程中的第二次打击。

Promoter Methylation Could Be the Second Hit in Lynch Syndrome Carcinogenesis.

机构信息

UO Anatomia Patologica Ospedale di Circolo ASST-Settelaghi, 21100 Varese, Italy.

Centro di Ricerca per lo Studio dei Tumori Eredo-Famigliari, Università dell'Insubria, 21100 Varese, Italy.

出版信息

Genes (Basel). 2023 Nov 9;14(11):2060. doi: 10.3390/genes14112060.

Abstract

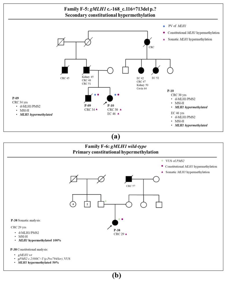
(1) Background: hypermethylation is an epigenetic alteration in the tumorigenesis of colorectal cancer (CRC) and endometrial cancer (EC), causing gene silencing, and, as a consequence, microsatellite instability. Commonly, hypermethylation is considered a somatic and sporadic event in cancer, and its detection is recognized as a useful tool to distinguish sporadic from inherited conditions (such as, Lynch syndrome (LS)). However, hypermethylation has been described in rare cases of CRC and EC in LS patients. (2) Methods: A total of 61 cancers (31 CRCs, 27 ECs, 2 ovarian cancers, and 1 stomach cancer) from 56 patients referred to cancer genetic counselling were selected for loss of protein expression and microsatellite instability. All cases were investigated for promoter methylation and germline variants. (3) Results: Somatic promoter hypermethylation was identified in 16.7% of CRC and in 40% of EC carriers of germline pathogenic variants. In two families, primary and secondary epimutations were demonstrated. (4) Conclusions: hypermethylation should not be exclusively considered as a sporadic cancer mechanism, as a non-negligible number of LS-related cancers are hypermethylated. Current flow charts for universal LS screening, which include methylation, should be applied, paying attention to a patient's family and personal history.

摘要

(1)背景:超甲基化是结直肠癌(CRC)和子宫内膜癌(EC)发生肿瘤的一种表观遗传改变,导致基因沉默,进而导致微卫星不稳定。通常情况下,超甲基化被认为是癌症中的一种体细胞和散发性事件,其检测被认为是区分散发性和遗传性疾病(如林奇综合征(LS))的有用工具。然而,在 LS 患者的罕见 CRC 和 EC 病例中也描述了超甲基化。(2)方法:从 56 名接受癌症遗传咨询的患者中选择了总共 61 例癌症(31 例 CRC、27 例 EC、2 例卵巢癌和 1 例胃癌),用于检测蛋白表达缺失和微卫星不稳定性。所有病例均进行了启动子甲基化和种系变异的研究。(3)结果:在携带种系致病性变异的 CRC 和 EC 患者中,分别有 16.7%和 40%存在体细胞启动子超甲基化。在两个家族中,均证实了原发性和继发性的表观遗传突变。(4)结论:超甲基化不应被单纯视为散发性癌症的机制,因为相当数量的 LS 相关癌症存在超甲基化。应应用当前包括甲基化在内的用于普遍 LS 筛查的流程图,同时注意患者的家族和个人病史。

https://cdn.ncbi.nlm.nih.gov/pmc/blobs/a510/10670941/76ffd0c34ddf/genes-14-02060-g001.jpg

文献检索

告别复杂PubMed语法,用中文像聊天一样搜索,搜遍4000万医学文献。AI智能推荐,让科研检索更轻松。

立即免费搜索

文件翻译

保留排版,准确专业,支持PDF/Word/PPT等文件格式,支持 12+语言互译。

免费翻译文档

深度研究

AI帮你快速写综述,25分钟生成高质量综述,智能提取关键信息,辅助科研写作。

立即免费体验