Suppr超能文献

用于人体运动和上肢生物力学分析的Azure Kinect性能评估

Azure Kinect performance evaluation for human motion and upper limb biomechanical analysis.

作者信息

Brambilla Cristina, Marani Roberto, Romeo Laura, Lavit Nicora Matteo, Storm Fabio A, Reni Gianluigi, Malosio Matteo, D'Orazio Tiziana, Scano Alessandro

机构信息

Institute of Intelligent Industrial Systems and Technologies for Advanced Manufacturing (STIIMA), Italian Council of National Research (CNR), Italy.

Department of Electrical and Information Engineering (DEI), Polytechnic of Bari, Bari, Italy.

出版信息

Heliyon. 2023 Nov 4;9(11):e21606. doi: 10.1016/j.heliyon.2023.e21606. eCollection 2023 Nov.

Abstract

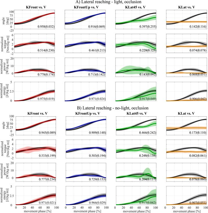
Human motion tracking is a valuable task for many medical applications. Marker-based optoelectronic systems are considered the gold standard in human motion tracking. However, their use is not always feasible in clinics and industrial environments. On the other hand, marker-less sensors became valuable tools, as they are inexpensive, noninvasive and easy to use. However, their accuracy can depend on many factors including sensor positioning, light conditions and body occlusions. In this study, following previous works on the feasibility of marker-less systems for human motion monitoring, we investigate the performance of the Microsoft Azure Kinect sensor in computing kinematic and dynamic measurements of static postures and dynamic movements. According to our knowledge, it is the first time that this sensor is compared with a Vicon marker-based system to assess the best camera positioning while observing the upper body part movements of people performing several tasks. Twenty-five healthy volunteers were monitored to evaluate the effects of the several testing conditions, including the Azure Kinect positions, the light conditions, and lower limbs occlusions, on the tracking accuracy of kinematic, dynamic, and motor control parameters. From the statistical analysis of the performed measurements, the camera in the frontal position was the most reliable, the lighting conditions had almost no effects on the tracking accuracy, while the lower limbs occlusion worsened the accuracy of the upper limbs. The assessment of human static postures and dynamic movements based on experimental data proves the feasibility of applying the Azure Kinect to the biomechanical monitoring of human motion in several fields.

摘要

人体运动跟踪对于许多医学应用来说是一项有价值的任务。基于标记的光电系统被认为是人体运动跟踪的黄金标准。然而,在临床和工业环境中,它们并不总是可行的。另一方面,无标记传感器成为了有价值的工具,因为它们价格低廉、无创且易于使用。然而,其准确性可能取决于许多因素,包括传感器定位、光照条件和身体遮挡。在本研究中,继先前关于无标记系统用于人体运动监测可行性的工作之后,我们研究了Microsoft Azure Kinect传感器在计算静态姿势和动态运动的运动学和动力学测量方面的性能。据我们所知,这是该传感器首次与基于Vicon标记的系统进行比较,以评估最佳相机定位,同时观察执行多项任务的人员上半身的运动。对25名健康志愿者进行了监测,以评估包括Azure Kinect位置、光照条件和下肢遮挡在内的几种测试条件对运动学、动力学和运动控制参数跟踪准确性的影响。从所执行测量的统计分析来看,正面位置的相机最为可靠,光照条件对跟踪准确性几乎没有影响,而下肢遮挡会降低上肢的准确性。基于实验数据对人体静态姿势和动态运动的评估证明了在多个领域将Azure Kinect应用于人体运动生物力学监测的可行性。

https://cdn.ncbi.nlm.nih.gov/pmc/blobs/b6cb/10663858/3166064e22d2/gr1.jpg

文献AI研究员

20分钟写一篇综述,助力文献阅读效率提升50倍。

立即体验

用中文搜PubMed

大模型驱动的PubMed中文搜索引擎

马上搜索

文档翻译

学术文献翻译模型,支持多种主流文档格式。

立即体验