Mallem Siva Pratap Reddy, Puneetha Peddathimula, Choi Yeojin, Baek Seung Mun, Lee Dong-Yeon, Im Ki-Sik, An Sung Jin
Advanced Material Research Center, Kumoh National Institute of Technology, Gumi 39177, Republic of Korea.
Department of Robotics and Intelligent Machine Engineering, College of Mechanical and IT Engineering, Yeungnam University, Gyeongsan 38541, Republic of Korea.
Nanomaterials (Basel). 2023 Dec 17;13(24):3159. doi: 10.3390/nano13243159.
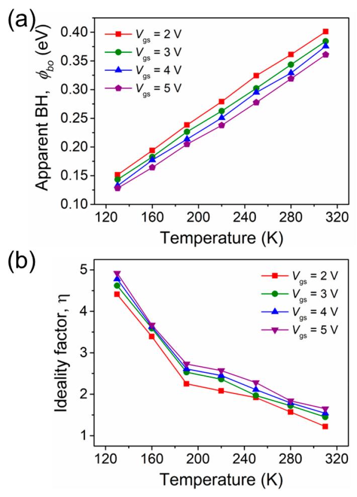
It is essential to understand the barrier height, ideality factor, and role of inhomogeneities at the metal/semiconductor interfaces in nanowires for the development of next generation nanoscale devices. Here, we investigate the drain current ()-gate voltage () characteristics of GaN nanowire wrap-gate transistors (WGTs) for various gate potentials in the wide temperature range of 130-310 K. An anomalous reduction in the experimental barrier height and rise in the ideality factor with reducing the temperature have been perceived. It is noteworthy that the variations in barrier height and ideality factor are attributed to the spatial barrier inhomogeneities at the AlGaN/GaN interface in the GaN nanowire WGTs by assuming a double Gaussian distribution of barrier heights at 310-190 K (distribution 1) and 190-130 K (distribution 2). The standard deviation for distribution 2 is lower than that of distribution 1, which suggests that distribution 2 reflects more homogeneity at the AlGaN/GaN interface in the transistor's source/drain regions than distribution 1.
对于下一代纳米级器件的发展而言,了解纳米线中金属/半导体界面处的势垒高度、理想因子以及不均匀性的作用至关重要。在此,我们研究了氮化镓纳米线环绕栅晶体管(WGT)在130 - 310 K宽温度范围内不同栅极电位下的漏极电流()-栅极电压()特性。已观察到随着温度降低,实验势垒高度出现异常降低,理想因子升高。值得注意的是,通过假设在310 - 190 K(分布1)和190 - 130 K(分布2)时势垒高度呈双高斯分布,势垒高度和理想因子的变化归因于氮化镓纳米线WGT中AlGaN/GaN界面处的空间势垒不均匀性。分布2的标准差低于分布1,这表明分布2比分布1在晶体管源极/漏极区域的AlGaN/GaN界面处反映出更高的均匀性。