Suppr超能文献

近十年金属有机近红外铱(III)配合物用于检测和治疗的研究进展

Recent Advances in Organometallic NIR Iridium(III) Complexes for Detection and Therapy.

机构信息

Xi'an Key Laboratory of Stem Cell and Regenerative Medicine, Institute of Medical Research, Northwestern Polytechnical University, 127 West Youyi Road, Xi'an 710072, China.

Research & Development Institute of Northwestern Polytechnical University in Shenzhen, 45 South Gaoxin Road, Shenzhen 518057, China.

出版信息

Molecules. 2024 Jan 3;29(1):256. doi: 10.3390/molecules29010256.

Abstract

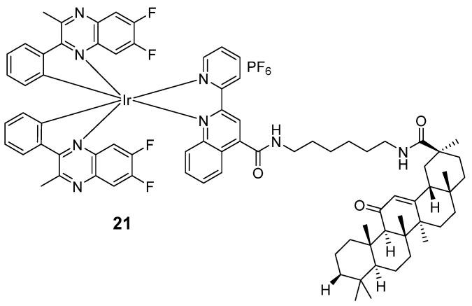
Iridium(III) complexes are emerging as a promising tool in the area of detection and therapy due to their prominent photophysical properties, including higher photostability, tunable phosphorescence emission, long-lasting phosphorescence, and high quantum yields. In recent years, much effort has been devoted to develop novel near-infrared (NIR) iridium(III) complexes to improve signal-to-noise ratio and enhance tissue penetration. In this review, we summarize different classes of organometallic NIR iridium(III) complexes for detection and therapy, including cyclometalated ligand-enabled NIR iridium(III) complexes and NIR-dye-conjugated iridium(III) complexes. Moreover, the prospects and challenges for organometallic NIR iridium(III) complexes for targeted detection and therapy are discussed.

摘要

金属铱(III)配合物由于其突出的光物理性质,如更高的光稳定性、可调磷光发射、长磷光寿命和高量子产率,在检测和治疗领域作为一种很有前途的工具而出现。近年来,人们致力于开发新型近红外(NIR)金属铱(III)配合物,以提高信噪比并增强组织穿透性。在这篇综述中,我们总结了用于检测和治疗的不同类型的有机金属近红外铱(III)配合物,包括环金属化配体增强的近红外铱(III)配合物和近红外染料偶联的铱(III)配合物。此外,还讨论了有机金属近红外铱(III)配合物在靶向检测和治疗方面的前景和挑战。

https://cdn.ncbi.nlm.nih.gov/pmc/blobs/a5e3/10780525/62407496c501/molecules-29-00256-g001.jpg

文献AI研究员

20分钟写一篇综述,助力文献阅读效率提升50倍。

立即体验

用中文搜PubMed

大模型驱动的PubMed中文搜索引擎

马上搜索

文档翻译

学术文献翻译模型,支持多种主流文档格式。

立即体验